Showing 120 of 120on this page. Filters & sort apply to loaded results; URL updates for sharing.120 of 120 on this page
Finding the Pattern - Differentiation | Teaching Resources
Comparison of Differentiation Pattern and WNT/SHH Signaling in ...
Genetic differentiation pattern (R ST ) among populations... | Download ...
The Notch differentiation pattern obtained for 0 | Download Scientific ...
Differentiation pattern and marker expression | Download Table
Abnormal differentiation pattern and spatial arrangement of sensory ...
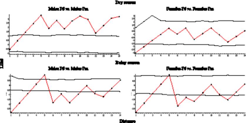
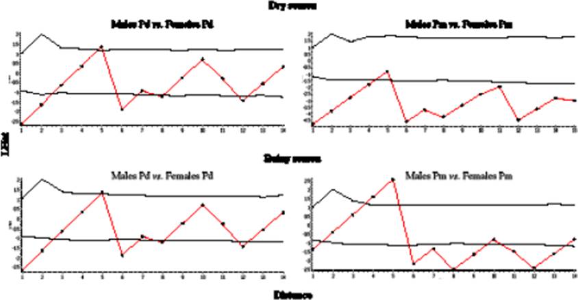
(PDF) Differentiation pattern in the use of space by males and females ...
Understanding Pattern Differentiation in TCM | PDF | Medical ...
Differentiation Modern Visual Pattern 67991365 Vector Art at Vecteezy
Inquiry Elements of Pattern Differentiation | Download Table
T-cell differentiation pattern | Download Table
Differentiation of the pattern extrusion depending on the set of ...
Differentiation pattern of intestinal organoids in decellularized ...
The differentiation pattern at 0 (left panels, sham-irradiated ...
Geochemical differentiation pattern of the components in the ...
(PDF) Genetic differentiation pattern and evidence of an early ...
1. The top series (a) shows the normal pattern of differentiation of ...
2000-2015 Spatial-Temporal differentiation pattern of overall quality ...
Survival of implanted stem cells and differentiation pattern of SPC-01 ...
NPCs culture and differentiation pattern in vitro. (A–C) NPCs were ...
(PDF) Spatiotemporal Differentiation Pattern and Influence Mechanism of ...
Differentiation pattern in the use of space by males and females of two ...
Impact of viability on differentiation pattern analysis. (A ...
Spatial differentiation pattern of IWRGE in the YREB | Download ...
Visualization results of spatial differentiation pattern of regional ...
A novel monocyte differentiation pattern in pristane-induced lupus with ...
Differentiation patterns of genes from 13 distinct groups expressed in ...
PPT - Differentiation PowerPoint Presentation, free download - ID:5833254
PPT - Differentiation PowerPoint Presentation, free download - ID:5315687
Comparison of differentiation patterns between mouse brain visual areas ...
Sketch of the differentiation progression of the cells involved in ...
Differentiation - Biology Simple
Differentiation
Temporal development of differentiation patterns. In (a), the left-hand ...
Cell differentiation patterns. Patterns identified by FunPat across the ...
Solved 4. Use the given differentiation patterns to | Chegg.com
Differentiation patterns of genes from distinct groups. A There are 17 ...
Cell Differentiation - Definition, Process & Examples - Biology Notes ...
4 use the given differentiation patterns to differentiate...
Introducing Differentiation
Buy Differentiation Patterns in Higher Plants Book Online at Low Prices ...
Differentiation with Patterns by Megan Keesee | TPT
Social Differentiation Patterns and Processes 1st Edition Danielle ...
Differentiated Number Pattern Worksheets | Teach Starter
A Differentiation Strategy Works Best When A | Detroit Chinatown
(PDF) Pattern integration and differentiation: Dual process model of ...
Expected patterns of genomic differentiation under different scenarios ...
The process of influencing factors in the spatial differentiation ...
Methods of Differentiation
Differentiation | PPT
Recognition and reconstruction of cell differentiation patterns with ...
DIFFERENTIATION | PPTX
Figure 3 from Recognition and reconstruction of cell differentiation ...
Differentiated pattern elements arising from the O and P lineages in ...
PPT - Chapter 15 Rules of Differentiation PowerPoint Presentation, free ...
Dynamics and Epigenetics of the Epidermal Differentiation Complex
Differentiation Strategy: Meaning, Types and Importance
Food Complete the Pattern Differentiated Worksheets - Twinkl
A Guide To Differentiation In Mathematics – AWBR
Differentiation Formulas Uv
Differentiation patterns of spontaneously differentiated macrophages ...
Compacting Differentiation Strategy at Mary Lundy blog
Differentiation patterns of sustainability of significant LAI variation ...
Differentiation from First Principles Learning Objective to understand
Normal and new differentiation pathways of hemocytes or induced ...
(PDF) Chromosome differentiation patterns during cichlid fish evolution
Differentiation Rules Differentiation: Basic Rules And Techniques
Revision Exercise for Differentiation - CIE Math Solutions
Table 1 from Recognition and reconstruction of cell differentiation ...
20 Breakthrough Differentiation Strategies to Help Your Students Thrive ...
4 Different patterns of morphological differentiation between ...
Differentiation chain rule – JC A Level H2 Math Tuition Singapore
Immunophenotypic differentiation patterns of normal hematopoiesis in ...
Perithecium differentiation patterns on various carbon sources. Only ...
PPT - Differentiation PowerPoint Presentation, free download - ID:257576
The beginnings of stem cell therapy in 1958
Methods and Applications of Differentiation: A Summary Guide
Solved Find dydx in two ways: by using the "Chain" | Chegg.com
PPT - Mastering Differentiation: Rules, Examples, and Applications ...
Recessive Gene - Biology Simple
Differentiation: A Way of Thinking - Powerful Learning
Solved Question 3 (1 point) Which of the following is the | Chegg.com
Differentiated Learning Patterns at Callum Winter-irving blog
PPT - Mastering Differentiation: Parametric and Implicit Functions ...
Black and White Shapes in Patterns or Sequences Differentiated Activity ...
"Differentiation (pattern)" by Yampimon | Redbubble
Figure 6.
Problem Solving with Patterns | PPTX
Differentiated Preschool Shapes and Patterns Activities | TPT