Showing 120 of 120on this page. Filters & sort apply to loaded results; URL updates for sharing.120 of 120 on this page
Solved The differentiation operators gradient, divergence, | Chegg.com
(PDF) Spectral Properties of Fractional Differentiation Operators II
P3 DIFFERENTIATION (MULTIPLE OPERATORS EXTENDED PRACTICE) A LEVELS ...
Differentiation Formulas Explained with Examples | Calculus Basics ...
PPT - 3. Differential operators PowerPoint Presentation, free download ...
Linear differential equations & classification of operators (linear or ...
Differential Operators 2 DE | PDF
differential operators | PDF | Equations | Derivative
Linear Differential Operators Overview | PDF | Ordinary Differential ...
Solved Problem 3: Differentiation operator (8 points) The | Chegg.com
Differential Operators | PDF | Computers
Partial Differentiation Formulas Partial Derivative Total
Differential Operators (Lesson 8, Part 4) - YouTube
Key Components Of Differentiation at Eula Seay blog
Differential-Operators - Differential Operators Differential operators ...
Differential operators - YouTube
differentiation Operator and integration Operator (Operator theory ...
Mat 104 practical use of vector differentiation | PPTX
real analysis - Representation of ordinary differential operators in ...
Problem 8. Let D:P3→P3 be the differentiation | Chegg.com
PPT - Properties of Differential Operators for Polynomials PowerPoint ...
Solved Consider the differentiation operator D between U = | Chegg.com
Solved 5. Let D denote the differentiation operator (with | Chegg.com
Differential operators considered for simulation | Download Scientific ...
Definition and Notations for Differentiation [PART 1] | Cambridge AS ...
Solved Differentiation as an Operator and the Power Rule * | Chegg.com
Basic Differentiation Formulas List at Abby Pomeroy blog
Numerical differentiation and integration | PPTX
(PDF) Composition-Differentiation Operators on Derivative Hardy Spaces
Solved Exercise 6. Let D: P3P3 be the differentiation | Chegg.com
Linear Differential Operators in Differential Equations - YouTube
Vector Differentiation at Vectorified.com | Collection of Vector ...
Differentiation Using Difference Operators-Numerical Analysis-Lecture ...
Discrete differential operators | Download Scientific Diagram
(PDF) Composition-differentiation operators on $S^2(\mathbb{D})
Solved 5. The differentiation operator on the space of | Chegg.com
Differentiation and Application of Derivative-2-1 | PDF | Derivative ...
Solved (a) Let D:P3→P3 be the differentiation operator. | Chegg.com
Lecture-5 Partial Differentiation | PDF | Mathematical Relations ...
Basic Differentiation used by an Operator #shorts #operator #constant # ...
PPT - Understanding Higher-Order Differential Equations Theory ...
Differential Operator Notation at Eileen Towner blog
PPT - Lecture 12 PowerPoint Presentation, free download - ID:519846
PPT - Chapter 4: Higher-Order Differential Equations PowerPoint ...
Differential Operator -- from Wolfram MathWorld
Mathematical Differential Operator at Martin Clark blog
PPT - EE 543 Theory and Principles of Remote Sensing PowerPoint ...
🔵24 - D Operator Method for Solving First Order Linear Differential ...
Define Differential Operator at Donna Champion blog
20 The Differential Operator | PDF | Derivative | Function (Mathematics)
PPT - MATHEMATICS-I PowerPoint Presentation, free download - ID:5017982
PPT - Signals and Systems – Chapter 2 PowerPoint Presentation, free ...
Second Order Differential Equation | D-Operator Methods | Roots Complex ...
The D Operator - Differential - Calculus - Maths Reference With Worked ...
Differential Equations | D-OPERATOR METHODS & METHOD OF UNDETERMINED ...
Engineering Analysis I - ppt download
The Differential Operator (with Exercises & Solutions)
Solved The derivative operator: Let D:C[a, b] → C[a, b] be | Chegg.com
D-Notation and Determine a Linear Differential Operator of a Linear ...
Solved == d dx 7. Let D be the operator of differentiation. | Chegg.com
Differential operator definition by Wong. - Mathematics Stack Exchange
Differential Operator: Over 45 Royalty-Free Licensable Stock ...
Solved = d dx = Let D be the operator of differentiation. | Chegg.com
Numerical Analysis Lecture ppt download
Expressions of the embedded differential operators. | Download ...
1 2 Differential Calculus Christopher Crawford PHY 416
(Differential Equations) (Exercise 6A) (Differential Operator Method ...
Matrix-Differentiation-Operators/README.md at master · zaman13/Matrix ...
Differential Equations - MATH100 Revision Exercises - Resources ...
What is differential operator and what is this notation in my book ...
Vector differentiation, the ∇ operator, | PDF
1 2 Differential Calculus Christopher Crawford PHY 311
Differentiation.pdf
PPT - Ch 3.2: Fundamental Solutions of Linear Homogeneous Equations ...
Solved 1. Write the differential operator matrix Δ for the | Chegg.com
PPT - 化工應用數學 PowerPoint Presentation, free download - ID:893615
PPT - 2.2 PowerPoint Presentation, free download - ID:2950407
functional analysis - derivative of a linear operator - Mathematics ...
PPT - EED 2008 : Electromagnetic Theory PowerPoint Presentation, free ...
(PDF) On the Theory of the Continual Integro-Differentiation Operator
0.1 Differential Operator: D DX D DX 2 | PDF | Ordinary Differential ...
Solved Write the system in differential operator notation: | Chegg.com
Derivatives - Formula, Rules, Types, Examples
Differential Equations - Definition, Formula, Types, Examples
Calculus - My notes
Understanding the definition of a differential operator on manifolds ...
real analysis - The derivative operator is bounded - Mathematics Stack ...
SOLVED: The polynomial differential operator A(D) that annihilates the ...
ORDINARY DIFFERENTIAL EQUATION | PPTX
What Is Differential Equation With Example at Harry Fisher blog
Solved We now define the derivative operator on the | Chegg.com
calculus and analysis - Differential operator in simple equation ...
typography - What's the proper way to typeset a differential operator ...
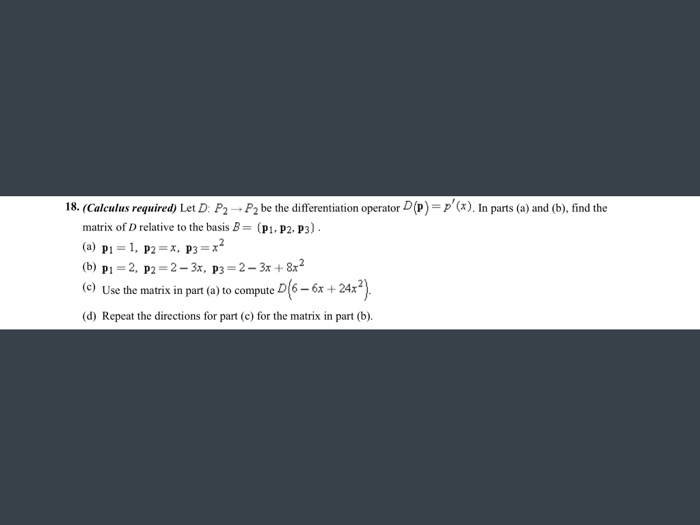
Solved 18. (Calculus required) Let D: P2 right arrow P2 be | Chegg.com
A New Differential Operator Method to Study the Mechanical Vibration
Differentials Rules at Richard Colon blog
Differential Equations Operator Method at James Daulton blog
SOLVED: Consider the following differential equation Y" Y" = 9x2 Write ...
Linear Differential Operators: Annihilators and Undetermined ...
calculus - Differential operator. - Mathematics Stack Exchange