Showing 119 of 119on this page. Filters & sort apply to loaded results; URL updates for sharing.119 of 119 on this page
SOLUTION: Differentiation formulas examples 1 - Studypool
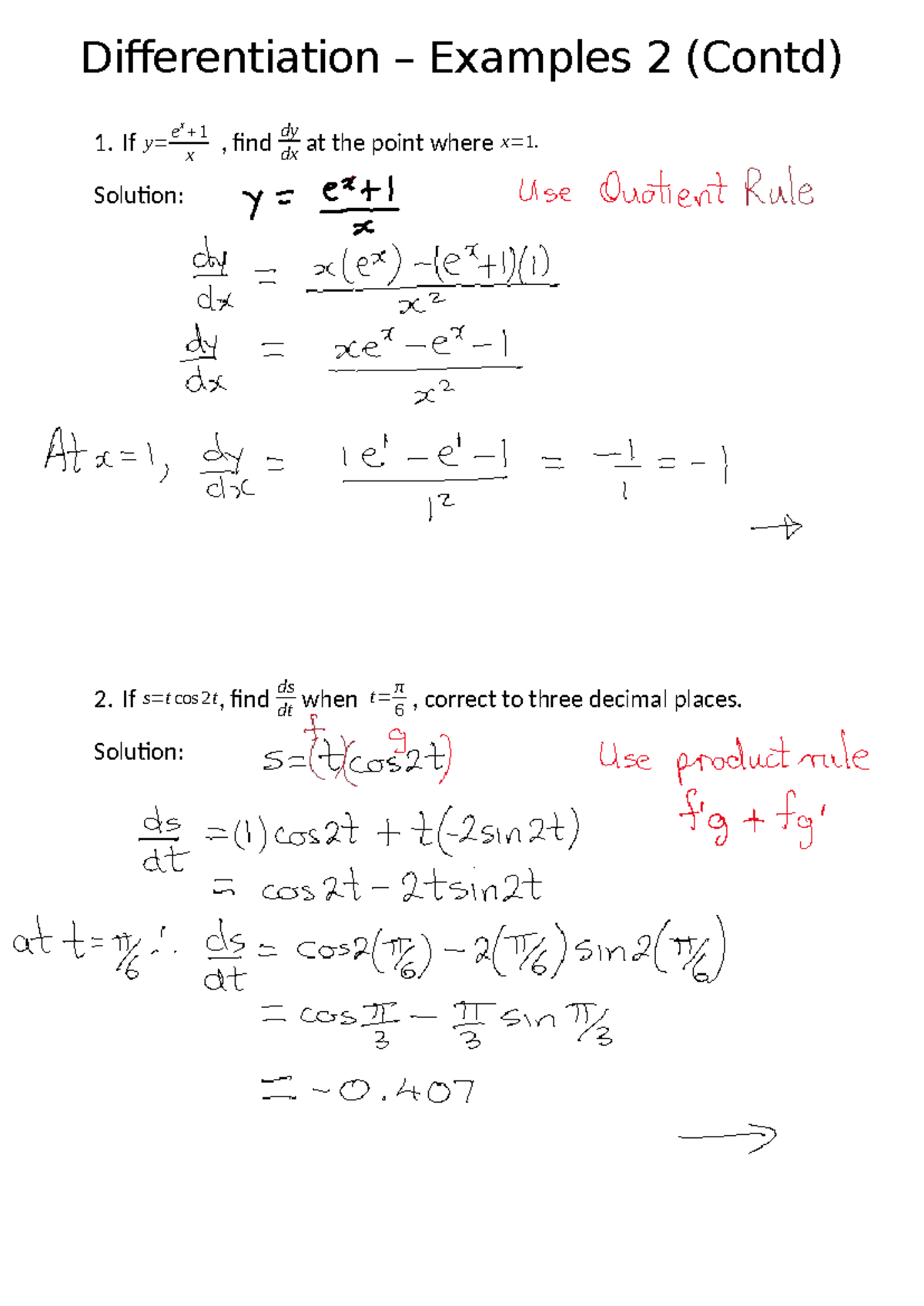
Differentiation Examples 2(Contd) - Differentiation – Examples 2 (Contd ...
Product Differentiation Examples Across Industries
Examples of Differentiation in Math Explained
SOLUTION: Numerical Differentiation With Examples Notes - Studypool
SOLUTION: Differentiation Part 01- Basic Formulas with Examples - Studypool
Differential Analysis Examples at Nancy Milne blog
SOLUTION: Numerical differentiation with examples - Studypool
SOLUTION: Differentiation with solved examples - Studypool
SOLUTION: Differentiation solved examples with formulas part 1 - Studypool
What is a product differentiation strategy? Guide with examples ...
SOLUTION: Differentiation all examples - Studypool
Differentiation Strategy Examples Ppt Powerpoint Presentation Show ...
SOLUTION: Differentiation formulas examples - Studypool
SOLUTION: Differentiation revision basic examples - Studypool
GCSE Differentiation - Notes and Worked Examples - Andy Lutwyche
Curriculum Differentiation Examples at Dorathy Quinones blog
What is Focus Differentiation Strategy? How to Implement It, Examples ...
Top 10 Value Chain Analysis Templates with Examples and Samples
SOLUTION: Differentiation solved examples - Studypool
SOLUTION: Differentiation solved examples with formulas part 3 - Studypool
SOLUTION: Differentiation summary all rules and examples - Studypool
Differentiation advantage strategic management value chain analysis ppt ...
10 Product Differentiation Examples From Famous Brands
Differentiation and Dimensional Analysis - YouTube
10 B2B Differentiation Strategy Examples to Win Your Market in 2025 ...
Six Techniques Used for Strategic and Differentiation Analysis | PPS ...
Differentiation Practice Examples - YouTube
SOLUTION: Differentiation with solved examples and formulae - Studypool
Product Differentiation Examples at Edna Rice blog
Differentiation Calculus Examples
Product differentiation - Definition, Types, Importance & Examples
Classroom Differentiation Examples at Ricardo Watkins blog
What is a differentiation strategy? Guide with examples - LogRocket Blog
SOLUTION: The differentiation rules and examples involving - Studypool
Differentiation - With examples - 141023 - Differentiation Introduction ...
SOLUTION: Differentiation basic formulas with examples - Studypool
Examples of Differentiation in Math
Product differentiation examples and importance | DeepSea
Differentiation Analysis 2 Flashcards | Quizlet
Differentiation Strategy: What, Why, and Examples — CXL
Examples of Product Differentiation That Drive Market Success ...
Sales And Price Analysis Chart Of Competitor Price Differentiation ...
Differentiation 1 | PDF | Mathematical Analysis | Calculus
Differentiation Formulas Differentiate A Function With Step By Step
Differentiation
PPT - Differentiation PowerPoint Presentation, free download - ID:5833254
Differentiation, Explained (annotated) - Differentiation : Year 1 ...
Analyzing Different Types Of Product Differentiation Diversification ...
PPT - NUMERICAL DIFFERENTIATION PowerPoint Presentation, free download ...
Differentiation | PPT
Differentiation techniques - Formula, Solved Example Problems, Exercise ...
1. Numerical Differentiation example | Numerical Differentiation in ...
Differentiation Strategies 12 Powerful Differentiation Strategy
Introducing Differentiation
Competitive Differentiation PowerPoint Presentation Slides - PPT Template
A Complete Guide To Situational Analysis (With Examples) - Zippia
PPT - Chapter 3 – Differentiation Rules PowerPoint Presentation, free ...
-Distinction of differential analysis methods. a-c) Example cases to ...
Differentiation Strategy Example In Powerpoint And Google Slides Cpb ...
SOLUTION: Differentiation Part 02-Successive differentiation & detailed ...
Differential method of analysis of data | PPTX
Differentiation Formulas | GeeksforGeeks
Differentiation Strategy Mastering Differentiation Strategy For
Differentiation Strategy
Differentiation Strategy - Definition, Types, Examples, Pros & Cons
PPT - APPLICATIONS OF DIFFERENTIATION PowerPoint Presentation, free ...
A-Level Mathematics: Differentiating Functions with Examples and ...
Differentiation Strategy: Meaning, Types and Importance
Basic Analysis: Differentiation (1) | Mathematics and Such
PPT - Differentiation in the Classroom PowerPoint Presentation, free ...
Differentiation - graphs notes and example | Teaching Resources
Differential Analysis | PDF
MAT183 VIDEO PRESENTATION | APPLICATION OF DIFFERENTIATION (ANALYSIS OF ...
PPT - Techniques of Differentiation PowerPoint Presentation, free ...
PPT - Differential Analysis PowerPoint Presentation, free download - ID ...
Differentiation Strategy Focused Differentiation Ppt Powerpoint ...
Focused Differentiation Strategy Vs Broad Differentiation Strategy
Differentiation Strategy: The Definitive Guide (Best Brand Examples)
20 Breakthrough Differentiation Strategies to Help Your Students Thrive ...
SOLUTION: Techniques of differentiation with example - Studypool
Product Differentiation in SaaS: How to Make a Difference as a PM
Chapter 1 The Derivative - ppt download
To Differentiate Example at Eloise Rameriz blog
PPT - Calculus PowerPoint Presentation, free download - ID:2935346
PPT - Chapter 7 PowerPoint Presentation, free download - ID:1274226
PPT - Chapter 3 Exhibits PowerPoint Presentation, free download - ID ...
PPT - Introduction to Differential Calculus: Exploring Rates of Change ...
Definition--Calculus Topics--Differentiation | Media4Math
Differential Formulas
PPT - Differentiating in Math PowerPoint Presentation, free download ...
Differential Example Questions at Rita Ware blog
Differentiate Meaning
PPT - Differential Equations PowerPoint Presentation, free download ...
PPT - Chapter 2. Analytic Functions PowerPoint Presentation, free ...
What Is Product Differentiation? - Ultimate Marketing Dictionary