Showing 120 of 120on this page. Filters & sort apply to loaded results; URL updates for sharing.120 of 120 on this page
DIFFERENSIAL (Matematika Bisnis) | PPTX
Persamaan Differensial Tingkat Satu Derajat Satu worksheet | Live ...
persamaan differensial | PPT
PPT - Differensial PowerPoint Presentation, free download - ID:521670
PPT - PERSAMAAN DIFFERENSIAL PowerPoint Presentation, free download ...
PPT - DIFFERENSIAL DAN OPTIMASI FUNGSI 1 VARIABEL Pertemuan 06 ...
Fisika matematika bab4 differensial danintegral | PDF
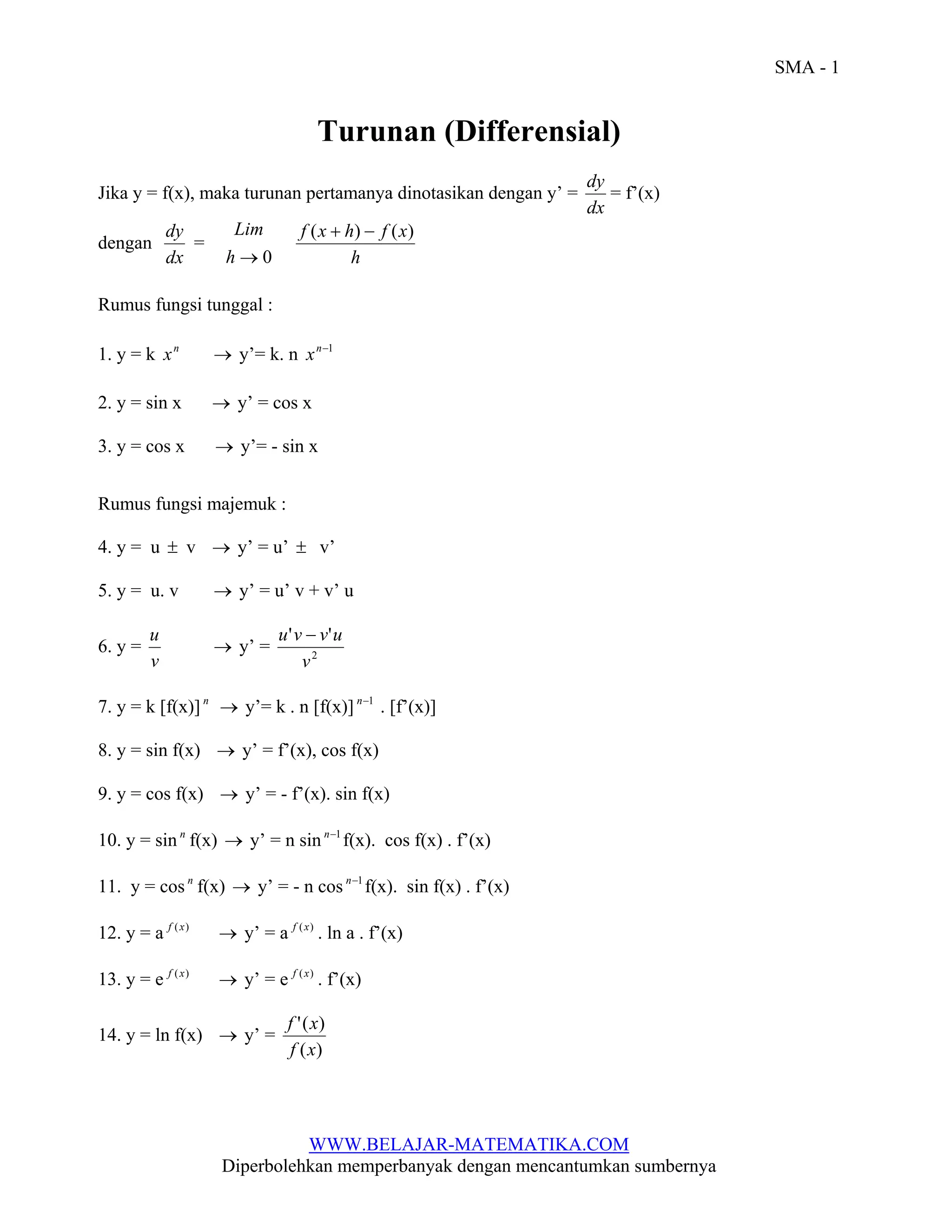
Derivatif dan Differensial
PERSAMAAN DIFFERENSIAL ORDE 2.pptx
Latihan Soal Persamaan Differensial Orde 1 (part 3) | Fisika Matematika ...
Persamaan Differensial Orde 1 - Penyelesaian dengan Menggunakan Faktor ...
PPT - 8. Persamaan Differensial Biasa (PDB) PowerPoint Presentation ...
Differensial (Turunan) - Part 2 - Sifat Turunan (Lanjutan) dan Aturan ...
aplikasi differensial matematika dasar.pptx
Bab 2 differensial sederhana | PPTX
KALKULUS DIFFERENSIAL DAN INTEGRAL DALAM FARMASI
DIFFERENSIAL FUNGSI TRIGONOMETRI | PDF
differensial n integral | PPTX
Latihan Differensial | PDF
DIFFERENSIAL | PDF
Kumpulan Soal Dan Penyelesaian Persamaan Differensial Tingkat Satu ...
Differensial analisis 1 | PDF
Differensial Vektor DIFFERENSIAL VEKTOR Fungsi Vektor Jika untuk
PPT - Persamaan Differensial Biasa #1 PowerPoint Presentation, free ...
Matematika: Makalah Differensial dan laju yang berkaitan
Persamaan differensial part 1 | DOCX
Selesaikan Persamaan Differensial berikut ini menggunakan transformasi la..
Differensial 1 (Modul) | PDF
SOLUTION: Persamaan differensial 1 - Studypool
DEFINISI TURUNAN / DIFFERENSIAL #MatematikaSMA - YouTube
9 Differensial | PDF
Uts Kalkulus Differensial | PDF
SOLUTION: Penerapan differensial fungsi sederhana - Studypool
Andreas Pin - Differensial Trigonometri P2 - iBlooming
Persamaan Differensial Orde 1_Bagian 1: Metode Integrasi Langsung - YouTube
Persamaan Differensial Orde 2 | PDF
SOLUTION: 05 persamaan differensial biasa - Studypool
SOLUTION: Bab 2 differensial turunan fungsi aljabar - Studypool
Differensial Tənliklər (Suallar+Misallar+Mühazirələr) - Physics ...
SOLUTION: Kaidah diferensial - Studypool
DIFERENSIAL_POWER_POINT.pptx
Materi matematika Hitung Differensial.ppt
Turunan (Diferensial) Dasar. Wajib untuk diketahui - YouTube
Mengenal Rumus Kalkulus Diferensial dan Integral | IDN Times
Diferensial fungsi sederhana.pptx
PPT - TURUNAN PARSIAL PowerPoint Presentation, free download - ID:5568637
TRIK JITU Turunan/Diferensial fungsi aljabar. Siap UN MATEMATIKA SMA ...
Kalkulus | Persamaan Diferensial Biasa Orde 1 (Part 1) - Pengantar ...
Persamaan Diferensial.ppt
Persamaan_Differensial_Orde_Satu.pptx
Turunan (Differensial) | DOC
14+ Contoh Soal Sifat Diferensial - Contoh Soal Terbaru
1 - Konsep Dasar Persamaan Diferensial - MatTek I.pptx
Persamaan Diferensial Biasa ( Kalkulus 2 ) | PPS
Fisika Matematika : Contoh soal diferensial/ turunan parsial (3) - YouTube
Kalkulus diferensial dan integral | DOCX
Persamaan diferensial(differential equation | PPT
Pelajaran, Soal & Rumus Turunan / Diferensial | Wardaya College
PPT - MATA KULIAH KALKULUS III (4 sks) DOSEN : Ir.RENILAILI, MT ...
Klassische Differentialgeometrie – Institute of Differential Geometry ...
Rumus Turunan (diferensial) Matematika
Definisi Turunan/differensial secara geometris lengkap dan detail - YouTube
Contoh Soal Persamaan Diferensial Linear Orde Pertama | contoh soal un sma
Kalkulus Differensial: Menggambar Grafik Fungsi - YouTube
PPT - MATEMATIKA EKONOMI PowerPoint Presentation, free download - ID ...
PEMBAHASAN : TURUNAN (DIFFERENSIAL) MUDAH!!! MM kelas 11 SMA ...
Turunan (differensial) (1) | PDF
PPT - ITK-121 KALKULUS I PowerPoint Presentation, free download - ID ...
Fungsi Diferensial atau Fungsi Turunan (Konsep Dasar) - YouTube
Kalkulus diferensial dan integral | PDF
DIFERENSIAL TURUNAN LENGKAP + CONTOH SOAL - YouTube
Persamaan Diferensial Linear Orde 1 | PDF | Metode & Bahan Ajar
Contoh Soal Persamaan Diferensial Linear Orde 2 Tak Homogen
Dasar Turunan/Diferensial | Kupas-Fisika
PPT - PENYELESAIAN PERSAMAAN DIFERENSIAL LINEAR PowerPoint Presentation ...
JAGOAN BELAJAR: contoh soal dan pembahasan turunan(differensial)
Matematika XI (VIII) - Turunan atau Differensial. - World of Equations
3 - Penjelasan bagaimana menyelesaikan persamaan diferential eksak ...
01-Pengantar Persamaan Differensial.pptx
DIFERENSIAL MATEMATIKA KELAS 12 ~ belajarmandirimatematika
DIFERENSIAL FUNGSI ALJABAR – MENENTUKAN INTERVAL GRAFIK NAIK ATAU TURUN ...
2 Contoh Soal Penerapan Persamaan Diferensial - Kuy Belajar