Showing 118 of 118on this page. Filters & sort apply to loaded results; URL updates for sharing.118 of 118 on this page
Basic Differentiation Formulas | Derivative | Calculus
Differentiaton Formulas | PDF
Basic Differentiation Formulas - 1 | PDF | Derivative | Elementary ...
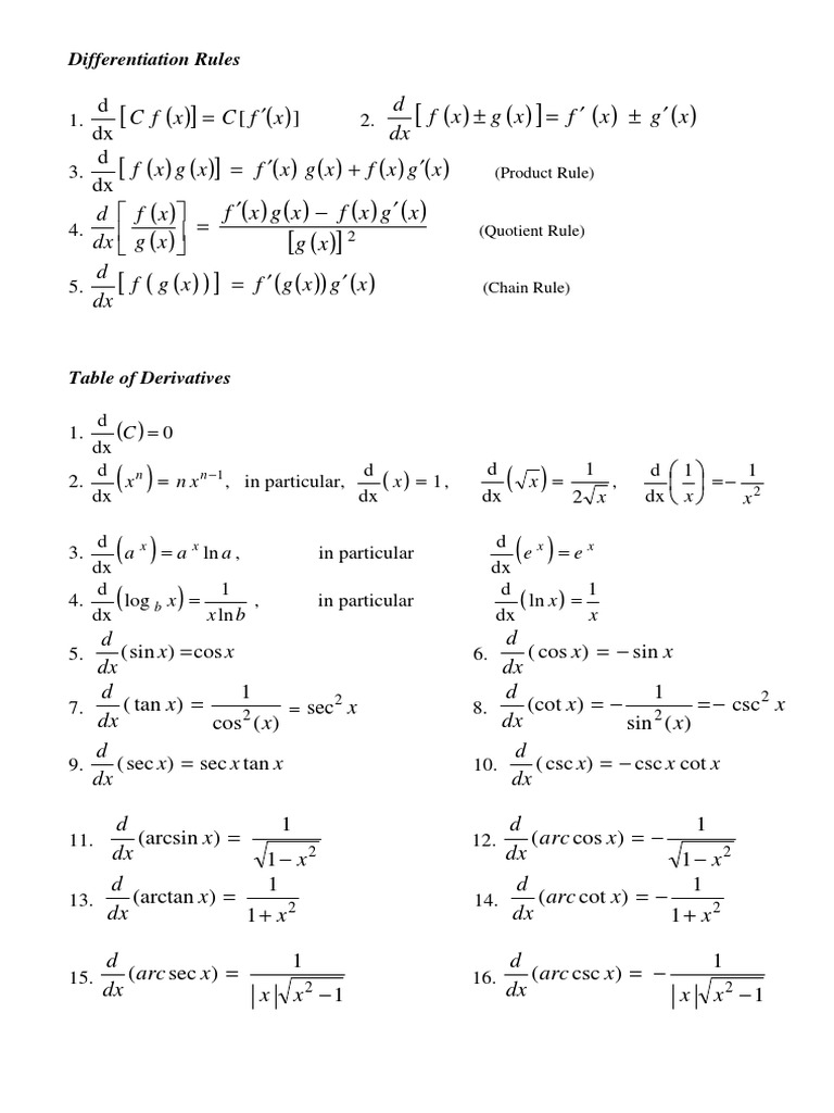
Differentiation Formulas
Differentiation Formula List | Derivative Formulas 🔥#hsc - YouTube
Differentiation Formulas Differentiate A Function With Step By Step
Differential Formulas List
Differentiation Formulas | PDF
Differentiation Formulas Uv
Differentiation Formulas | PDF | Trigonometric Functions | Functions ...
Differentiation and Integration Formulas - Differentiation Formulas ...
Maths Formulas | Chapter :- Calculus Topic:-Integration Formula Sheet ...
SOLUTION: Differentiation formulas - Studypool
Differentiation formulas – Artofit
SOLUTION: Differentiation formulas examples 1 - Studypool
Differentiation Formulas PDF | PDF
Formulas of Differentiation and Integration | PDF | Trigonometric ...
Differentiation Formulas | GeeksforGeeks
Differentiation Formulas | PDF | Function (Mathematics) | Derivative
Differentiation Formulas - Concept, Rules, Important Formula, Examples ...
Differential Formulas
Basic Differentiation Formulas Explained | PDF | Sine | Trigonometric ...
Differentiation Formulas List : Trigonometric & Inverse Trigonometric Rules
Trigonometric Derivative Formulas
Differentiation Formulas Trigonometric Functions Calculus Derivatives
Differential Equation Formulas for Class 12 Maths - Gurukul of Excellence
PPT - 2.7 Differentiation Formulas PowerPoint Presentation, free ...
Differentiation Formulas differentiation formulas - Google Search ...
Basic Differentiation Formulas
Differentiation All Formulas
Differentiation Formulas OR Differentiation Rules 1 - DIFFERENTIATION ...
Differentiation Formulas - This is one of the most important topics in ...
Class 12 Differentiation Formulas | PDF | Combinatorics | Mathematical ...
1 Formulas of Differentation and Integration - Formulas of ...
Differentiation formulas for class 12 PDF - Class 12 easy
Differentiation All Formulas Pdf
Differentiation - Basic Formulas | PDF | Derivative | Function ...
Differentiation Formulas | PDF | Teaching Methods & Materials | Computers
Differentiation Formulas Handout - Differentiation Formulas, Rules, and ...
Differentiation Formulas & Rules - Basic,Trig - Full list - Teachoo
Basic Calculus Formulas Pdf at Imogen Parry-okeden blog
Differentiation and Integration Formulas | PDF | Trigonometric ...
Differentiation Formulas Overview | PDF | Trigonometric Functions | Slope
Differentiation Formulas or Differentiation Rules | PDF | Derivative ...
SOLUTION: Mathematics method of differentiation formulas - Studypool
Differentiation Formula - List of differentiation formulas
Area formulas video lessons examples solutions – Artofit
Differentiation Formulas Applied Maths at Priscilla Roberts blog
SOLUTION: All important differentiation mathematics formulas - Studypool
Differentiation & Integration formulas - Differentiation Formulas The ...
SOLUTION: Differentiation formulas 2nd year math formulas fsc part ii ...
Differentiation formulas | PDF
Differentiation Formulas Ln
Differentiation Formulas | Derivative Formulas List
Differentiation Formulas Differentiation Formulas Math Formulas
Derivative Formula Sheet
Differentiation - Formula, Calculus | Differentiation Meaning
Differentiation Formulas, Definition, Chart, PDF, Solved Examples
Differentiation all formula – Artofit
Differentiation Formula Method at Margaret Burgin blog
Calculus Differentiation - Mathletics Formulae and Laws Factsheet ...
Differentiation Formula Sheet
Differentiation Formula Basic at Christopher Elias blog
differentiation formula | PDF
Differentiation Formula Sheet Calculus Calculus
Differentiation Formula 3 | PDF
§4.9 Antiderivatives There are two branches in calculus: - ppt download
Differentiation Techniques in Mathematics | PDF
SOLUTION: Differentiation formula sheet class 12 - Studypool
Differentiation Formula | PDF
PPT - Chapter 2. Analytic Functions PowerPoint Presentation, free ...
Differential Equations Formula For 12th Class » Formula In Maths