Showing 119 of 119on this page. Filters & sort apply to loaded results; URL updates for sharing.119 of 119 on this page
Example : Estimate the density of solid waste | Chegg.com
Example 10 A solid of density σ floats in a liquid of density ρ. What wil..
How to Solve a Word Problem on Density Involving the Volume of a ...
Find the density of a solid - YouTube
Solid And Liquid Of Density at Barbara Ridgley blog
SOLVED: determine the density of the solid
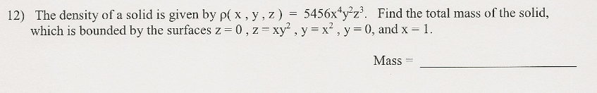
Solved 2) The density of a solid is given by | Chegg.com
EXPERIMENT Density of Solid | Density | Volume
Calculating Density - Worked Example Problem
Density of Solid Figures Math Lib Activity - All Things Algebra®
MEASURING THE DENSITY OF A REGULAR SOLID - science experiments to try ...
Density Lab on solids - Density of an Unknown Solid Category Thinking ...
Solved Find the mass of the solid with density ρ(x,y,z)=3-z | Chegg.com
[Solved] 3. Density of a Solid Object _ Number of solid object Mass of ...
SOLVED: how to determine the density of a solid (denser than water ...
Density Example Problem - YouTube
Density Of Solids In Water
CHAPTER 17 Density The use of an equation. - ppt download
Determining Density of Solids Lab Manual
Part 1: Density of SOLIDS - New York Science Teacher
Solved Finding the density of solids requires a method of | Chegg.com
Density of Solids, Liquids and Gases | Good Science
Density of Solids (Lab Report) - Density of Solids Lab Introduction The ...
DENSITY OF SOLIDS LAB
Density For Solid Liquid And Gas at Jeremy Nickerson blog
Determining the Density of Solids and Liquids | Chegg.com
Density problem examples - IGCSE Physics - YouTube
Lab Density Of Solids at Andres Lowe blog
Solved Experiment 2: The Density of Solids and Liquids 1. | Chegg.com
Examples of Density Problems - YouTube
Module 1 Density of Solids - Module 1; Density of Solids Directions ...
Solved: COMPARE AND CALCULATE THE DENSITY OF DIFFERENT MATERIALS The ...
Comparing and Calculating Density of Solids 25 practice problems 2 ...
Determining Density of Solids: Lab Procedures and Findings | Course Hero
Solved Question 4 Calculate the mass of a solid with mass | Chegg.com
Density of Solids | bartleby
Teach Density with Confidence: Step-by-Step Approach - Its Science
Density different solids, mass, volume. Buoyancy force. in container ...
Density - Presentation Physics
PPT - Properties of Geometric Solids PowerPoint Presentation, free ...
Density Practice Problems Worksheet – Owhentheyanks.com
Density Practice Problems
Density Practice Problems Worksheet
PPT - Density PowerPoint Presentation, free download - ID:2578198
Solved Particle density, ρp = Volume of solids (Vs) Mass of | Chegg.com
PPT - DENSITY PowerPoint Presentation, free download - ID:633595
1 in Your Own Words Describe How to Calculate Density
Density Practice Problems - ppt download
DENSITY FORMULA AND PROBLEMS
Density Word Problems 1.7: Density And Density Problems Chemistry
Understanding and Solving Density Problems with Answers - PDF Guide
2.2b - Density Problems | Chemistry, Density, Science | ShowMe
Lesson 6 - Measuring Density - WillowWood Lessons
Density Problems Worksheet With Answers - Admuscente
How to Calculate Density with Mass and Volume ? - GeeksforGeeks
How to Solve Density Problems Fast & Easily | Step-by-Step Examples ...
The Density, Mass and Volume Magic Triangle: How to Calculate Density ...
5 Density Examples - practice problems - Density Examples: Good ...
Density Part 2: Sample Problems - YouTube
Density Practice Problems - 4 Examples - Easy, Medium, Hard and Density ...
Density and Relative Density
Sample Density Problems: Mastering Calculations and Unit Conversions ...
Solving Basic Density Problems - YouTube
PPT - Lect 3: Density PowerPoint Presentation, free download - ID:6317526
Density Examples Chemistry
Density Worksheet
Density Problems Worksheet With Answers | Worksheets Samples
How to solve density problems | Science, Chemistry, Measurements | ShowMe
PPT - INTRODUCTION TO DENSITY PowerPoint Presentation, free download ...
Answers To Density Problems Density Mass | PDF | Density | Quantity
Density Practice Problems - YouTube
Density Problems
Introduction to Density v Density is the measurement
The mass per unit volume of a substance is called density. Arrange in
Solved II. Density of Regular Solid.Data TableTrial 1Trial | Chegg.com
Density Questions Worksheet
PPT - Density PowerPoint Presentation, free download - ID:5450714
PPT - Density PowerPoint Presentation, free download - ID:2861737
1.7: Density and Density Problems - Chemistry LibreTexts
SOLVED: 3. You are given an irregularly shaped chunk of material and ...
Solved (4 points) A student tries to determine the density | Chegg.com
Density Practice Problems - Part 3 ADVANCED - YouTube
PPT - Density PowerPoint Presentation, free download - ID:2111497
Measuring Density | Cambridge (CIE) IGCSE Physics Revision Notes 2021
How To Calculate Density - With Examples | Pearson+ Channels
PPT - Density PowerPoint Presentation, free download - ID:5846575
SOLUTION: Mechanical properties of Solids MCQ With Solutions - Studypool
Density Problems Worksheet: Calculate Mass, Volume & Density
Density Practice Problems | Channels for Pearson+
Density Problems Worksheet With Answers – Ame.my.id
Density Calculation Questions | PDF
Density Problems #5 | Science | ShowMe
Density Problems Density Multiple Choice | PDF
Density Problems Worksheet: Practice & Solutions
Simple Density Problems Worksheet With Answers
6 - Density Problems | PDF | Density | Volume
density practice problems key
Solved Calculating densities - A sample of aquifer material | Chegg.com
Tom Schoderbek Chemistry: Density Problems
Density(bpp) | PPT
PPT - Understanding Chemistry Basics: Matter, Measurements ...
PPT - Numbers in Science Chapter 2 PowerPoint Presentation, free ...
PPT - CHEMISTRY – Chapter 1 & 2 PowerPoint Presentation, free download ...
Matter Guide - 7TH GRADE SCIENCE