Showing 117 of 117on this page. Filters & sort apply to loaded results; URL updates for sharing.117 of 117 on this page
A demonstration graph ordered with maximum-degree-first order 9, 8, 7 ...
An Efficient Motion Planning Method with a Lazy Demonstration Graph for ...
The demonstration graph of matching principle The demonstration graph ...
Demonstration graph – 2 Layers | Download Scientific Diagram
Demonstration graph of equality and equity goals by race/ethnicity. Bar ...
14. The given graph is a demonstration of axis and on ' b ' axis on 'a'(..
Problem demonstration graph | Download Scientific Diagram
Demonstration of building a query graph based on the example in Figure ...
25 presents a demonstration graph in order to illustrate how to build ...
Graph Query Demonstration II | Download Scientific Diagram
Viral Marketing Demonstration Graph Chart How Stock Illustration ...
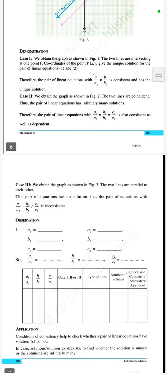
Fig. 3 Demonstration Case I: We obtain the graph as shown in Fig. 1. The..
Demonstration graph of the variation of the spot images at different ...
GeoGebra demonstration of graph from completing the square | Teaching ...
2. Demonstration of Theorem 3.10 on a glasses graph for two choices of ...
Simple pendulum experiment | L-T2 graph demonstration | effective ...
Graphical demonstration of Equation (9). The graph shows various plots ...
Sketching quadratic graphs demonstration | Teaching Resources
A demonstration graph: each vertex in the first row is a viewpoint and ...
An illustrative example of a demonstration | Download Scientific Diagram
Best Time Series Graph Maker Online - Graphy
Graphic demonstration for Example 5. | Download Scientific Diagram
Simple Line Graph
Scientific Discoveries Demonstration Infographic Chart Design Template ...
Scatter Graphs Demonstration This resource provides animated demonstrations
Samples of SDE demonstration (Graphic is adopted from Wikipedia.com ...
Demo - Graph Visualization in Oracle - YouTube
8 How to diagnose while performing a demonstration | Download ...
Online Graph Maker for Free
desmos calculator/ how to use Demos Graph Calculator / how to draw ...
Demo Video - Graph Theory Project - YouTube
Demo Graph Rics | PDF
Line Graph | How to Construct a Line Graph? | Solve Examples | Line ...
Graph Maker - Create online charts & diagrams in minutes | Canva
Vector Graph Chart Alternating Current Waveforms Stock Vector (Royalty ...
Graphic demonstration for Example 2. | Download Scientific Diagram
demo graph visualization in oracle - YouTube
Time to Solve Graphs Demonstration | Download Scientific Diagram
Graphic demonstration for Example 6. | Download Scientific Diagram
How To Graph A Data Table On Desmos at Sandra Slavin blog
Pictograph Graph
Desmos - Plotting data to create a line graph - YouTube
Creating Graph Equation of Bouncing Ball un on Desmos software # ...
Graphic demonstration for Example 4. | Download Scientific Diagram
Demo Graph
Graphic demonstration for Example 3. | Download Scientific Diagram
Description demonstration plot | Download Scientific Diagram
Solved Graph (a) Graph (b) Graph (c) A). The initial effect | Chegg.com
Conversion Graphs Demonstration This resource provides animated ...
A Linear Graph Reading
Demo Graph for Rational Functions | Desmos
(PDF) An Efficient Motion Planning Method with a Lazy Demonstration ...
GSP_DEMO_GRAPH_TV - Reconstruction of missing sample on a graph using TV
Demonstration method | PDF
HOW TO GRAPH FUNCTIONS USING DESMOS GRAPHING CALCULATOR, MATHEMATICS ...
Graphic demonstration for Example 1. | Download Scientific Diagram
Dynamic Graph demo - FrontEndMike
Demonstration of loss and accuracy graphs on training and validation ...
a Theoretical demonstration | Download Scientific Diagram
Logger Pro Creating v vs t graph from x vs t graph - YouTube
Graph Design PowerPoint Presentation PPT : 100% Editable PPTx
Graph comparison PowerPoint templates, Slides and Graphics
Science Bar Graph Examples at Douglas Wilder blog
The 3d Rendered Growing Line Graph Of Digital Income Growth Chart ...
11 Distance Time Graph Worksheet Science Distance Time Graphs
Visualizing Graph Data With Neo4j Bloom | by Cayley Hauser | Neo4j ...
Creating a Knowledge Graph Without LLMs
Simple demonstration table | Download Scientific Diagram
Graphical demonstration of the proposed method based on statistical ...
Interactive demonstration graphic. | Download Scientific Diagram
DEMONSTRATION A TEACHING METHOD | PPTX
Learn Desmos: Graph Settings - YouTube
Evaluation demonstration Fig. 2. Statistics demonstration | Download ...
A demonstration for the construction of graph. | Download Scientific ...
PPT - ShadyStats PowerPoint Presentation, free download - ID:9361693
Premium Vector | Template dashboard with mockup infographic, data ...
All parts of this figure are graphs of the results from the empirical ...
PPT - Shankar Krishnan PowerPoint Presentation, free download - ID:764763
How to use Canva: A beginner's guide | Zapier
How to Build Knowledge Graphs Using AI Agents and Vector Search - Demo ...
A simplest mathematics of turn-taking: Conversational deep structure ...
Demos with Positive Impact
Demo-Behaviour-of-the-Graph-of-a-Quadratic-Function.pptx
Chart Demos - amCharts
Demos, chart, triangle, charts, colorful, cones, data icon - Download ...
What Some Demographers Are Studying Now
BNPgraph package: demo_graph
L5. Identifying-Proportional-Graphs-Demonstration - A theatre group ...
Statistics - Definition, Examples, Mathematical Statistics
Tree Graphs – Demo applications & examples
GitHub - longln181599/Demo-Graph-Neural-Networks
GraphRAG Visualizer
Day Trading Demystified: A Comprehensive Guide to Using Demo Accounts
DataGraph Demo: Graphs & Images - YouTube
Business statistics graph, demographics population chart, people modern ...
Comparing Runtime Functions - ppt download
algorithm - Computing most reliable path in undirected probabilistic ...
Graphing Equations in Algebra - [2-1] - YouTube
XY chart with value-based line graphs - amCharts
Velocity Time Graphs | FREE Teaching Resources