Showing 120 of 120on this page. Filters & sort apply to loaded results; URL updates for sharing.120 of 120 on this page
probability - Confusion about the delta method - Cross Validated
probability theory - What exactly do delta method estimates of moments ...
Delta method | PDF
Solved Delta method 2.0 points possible (graded, results | Chegg.com
Solved 4. In a previous homework, you used the delta method | Chegg.com
Solved Problem 2: Delta method (2 points)Let us model the | Chegg.com
Stat Stories: Delta Method in Statistics | Towards Data Science
Delta method
19-4 Delta Method (First Course in Probability) - YouTube
(PDF) Delta Method Confidence Intervals for Linear Regression Processes ...
The Delta Method - A Rambling On
the delta method 是干什么的? - 知乎
Delta method | Theoretical Statistics Class Notes | Fiveable
Solved D. Application of the Delta method We have a data set | Chegg.com
The Delta Method - YouTube
Solved How do I apply the delta method in this case? | Chegg.com
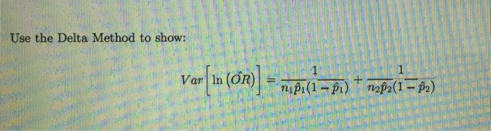
Solved Use the Delta Method to show: Var In (OR) = mipi(1 - | Chegg.com
Comparison of simulation with the Delta method (a) Simulation and Delta ...
Delta method – Erik Drysdale – bioeconometRician
How to use Delta Method to calculate variance of Spectrum Bias in ...
Delta Method in Practice
mathematical statistics - Delta method for Poisson ratio - Cross Validated
Solved DELTA METHOD Use the delta method to find the | Chegg.com
Solved PLEASE ANSWER AND SHOW ALL STEPS OF THE DELTA METHOD | Chegg.com
Solved Question 5 In class we used the delta method to | Chegg.com
The Delta Method for finding Derivatives - YouTube
Delta Method | PDF | Covariance | Normal Distribution
Mastering the Delta Method
Solved 3. Application of Delta Method on Gamma Variables | Chegg.com
Solved D. Delta method Suppose Vn(Ăn – u) 4 N(0, 62), set B | Chegg.com
Applying The Delta Method in Metric Analytics: A Practical Guide With ...
Delta Method Confidence Bands for Gaussian Density | BioStatMatt
The Delta method for quantifying the uncertainty ofˆyofˆ ofˆy = f (x 0 ...
Delta Delta Method Template | PDF
Stat Stories: Delta Method in Statistics | by Rahul Bhadani | Towards ...
optimization - Delta method for estimating a ratio involving variance ...
Estimation of Standard Errors using Delta Method • tidydelta
Delta Method in Statistical Inference | PDF | Estimator | Normal ...
Delta Method Sampling Variance-Covariance Matrix for the Elements of ...
Probability I: Delta as a Probability Metric - YouTube
Illustration of probability distribution functions and their ...
Solved Theorem: Delta MethodSuppose that x1,x2,dots, is a | Chegg.com
Supplementary Info AppendixB DeltaMethod | PDF | Variance | Probability ...
Normal probability plot for the error (delta). | Download Scientific ...
Solved This is "The Delta Method" examples in | Chegg.com
[Mathematical Statistics] 5.2 Bounded in probability | delta-method
This is "The Delta Method" examples in | Chegg.com
Delta Method: Variance Approximation with Taylor Series
Solved 1) Let X∼Binomial(n,p) and p=X/n. Use the delta | Chegg.com
Solved 3) Let X∼Binomial(n,π) and p=X/n. Use the delta | Chegg.com
Options Greeks: The Delta | PPTX
Solved (a) What is the so-called Delta method? Please prove | Chegg.com
8 Values of Delta for Various Predicted Probabilities | Download Table
Schematic diagram to illustrate the Delta method. | Download Scientific ...
[ANSWERED] By using the delta method, show that V[In(Ĥ(t))]=V^1/2 - Kunduz
Solved Prove the theorem (Second-order Delta Method) Let | Chegg.com
Using Delta For Probabilities | Option Alpha
Normal probability plot of ${\mu_{{\Delta_i}}}$ indicates an ...
Probability Formula - GCSE Maths - Steps, Examples & Worksheet
Solved Problem 5. (Poisson Distribution and Delta Method) | Chegg.com
PPT - Discrete Choice Modeling PowerPoint Presentation, free download ...
PPT - Chapter 15 PowerPoint Presentation, free download - ID:421316
PPT - Asymptotic Distribution Theory in Econometrics I: Understanding ...
PPT - Entropy Estimation and Applications to Decision Trees PowerPoint ...
PPT - Statistical Downscaling using the Regional Climate Model ...
PPT - Cotor II Fitting Issues for Severity Distributions PowerPoint ...
PPT - Large Sample Theory PowerPoint Presentation, free download - ID ...
Chap2a VaR methods presentation for students | PPT
PPT - Exploring Empirical Bayes Modeling Applications in Hierarchical ...
PPT - Generalized Linear Model PowerPoint Presentation, free download ...
Solved Exercise 11 (Delta Method) Suppose we want to | Chegg.com
Predicted probabilities ROE model (Delta-method). | Download Scientific ...
PPT - Design of Statistical Investigations PowerPoint Presentation ...
PPT - Chapter 11 – Benefit/Cost Analysis of Public Projects PowerPoint ...
Predicted probabilities ROA model (Delta-method). | Download Scientific ...
Sample size related coverage probabilities for the 95% Delta-method ...
PPT - Efficient Experiment Design for Estimating Willingness to Pay ...
Robust Bayesian credibility of the delta-method interval based on the ...
Predicted cumulative probabilities (with 95% CI obtained after using ...
Inference for contigency tables Chapter 3 LOGO introduction
William Greene Stern School of Business New York University - ppt download
PPT - Model Based Event Detection in Sensor Networks PowerPoint ...
PPT - Likelihood, Bayesian & Decision Theory Overview PowerPoint ...