Showing 120 of 120on this page. Filters & sort apply to loaded results; URL updates for sharing.120 of 120 on this page
Definite Integrals Using Integration By Parts
Evaluating Definite Integrals Using Integration by Parts | Calculus ...
Definite Integration Rules
MathCamp321: Calculus - Integration by Substitution (Definite Integrals ...
Changing the Limits of Integration When Evaluating a Definite Integral ...
“Prove” 0 = 1 Using Calculus Integration By Parts – Mind Your Decisions
Calculus Worksheets | Definite Integration Worksheets
All Integration Formulas - Complete List of Integrals - Cuemath
Integration by parts: definite integrals | AP Calculus BC | Khan ...
Integration by Parts with Definite Integrals Practice Problem ...
First Fundamental Theorem of Calculus - Calculus -Definite integration
CalculusSolution.com | Integration III: Definite Integrals As Upper and ...
Integration by Parts: Definite Integrals Exercises
definite integration - Calculus - Approximating the Area under a Curve
definite integration - Calculus - Substitution in Definite Integrals ...
Integration by Parts for Definite Integrals - YouTube
Integration By Parts Definite Integral
Definite Integration Examples
C2 Integration (1) - definite integrals - YouTube
Definite Integral Integration By Parts
Integrating By Parts Integration By Parts For Definite Integrals
Definite Integration | PDF | Mathematical Concepts | Differential Geometry
Definite Integral Formula - Learn Formula to Calculate Definite Integral
Definite integral calculator: simplifies complex math problems ...
Definite Integral Formula » Formula In Maths
3.4b Laws of Definite Integrals - SPM Additional Mathematics
Definite Integrals - CBSE Library
Evaluating Integrals Intermediate Maths Solutions For Definite
Integral Calculus Meaning Differential And Integral Calculus, An
PPT - 4-3 definite integrals PowerPoint Presentation, free download ...
Integral Calculus
CALCULUS 1 | Properties of Definite Integrals (Sum/Difference, Additive ...
Definite Integral Leibniz Integral Rule Wikipedia
Integral
Geometrical Interpretation of Definite Integral as Area under a curve ...
Definite Integral
How to Calculate a Definite Integral Using a Combination of Areas and ...
Calculus cheat sheet integrals - Integrals Definitions ####### Definite ...
SOLVED:For parts (a) and (b) consider the definite integral 2 x2dx ...
How to find definite integral - YouTube
Integral Calculus Formulas And Examples at Adrian Grounds blog
Integral Solver
Definite Integral | Open Middle®
Definite Integral is the part of AP Calculus, IBDP and AS/A level Math
Chapter 7 Integral Calculus The basic concepts of
How to calculate a definite integral – x-engineer.org
The Derivative of an Integral [Calculus] - YouTube
How to Calculate a Definite Integral? | GeeksforGeeks
Definite Integral - GeeksforGeeks
GraphicMaths - Fundamental theorem of calculus
Math 101 Integral Calculus Solved: The Leibniz Rule for Derivatives of ...
Definite Integral - Definition, Formulas, Properties and Solved Examples
Definite Integrals - YouTube
Right Riemann Sum For Definite Integrals
PPT - Properties of the Definite Integral PowerPoint Presentation, free ...
PPT - Section 4.3 – Riemann Sums and Definite Integrals PowerPoint ...
Definite Integrals | Cambridge (CIE) IGCSE Additional Maths Revision ...
Definite integrals
Definite Integral Upper And Lower Limits
Learn – Calculus – Applications of Definite Integrals
Integrating Calculator
PPT - AP CALCULUS AB PowerPoint Presentation, free download - ID:4439718
The Definition of The Definite Integral - YouTube
∫ Integral Calculator Online - with steps
Integration- Definite Integral
Integral Calculus lesson 4 - How to find the area under a curve ...
Definite Integral of 1/x from 1 to 2 - YouTube
Finding The Area Under The Curve Using Definite Integrals - Calculus ...
Definite Integral Formula Formula In Maths - Free Word Template
INDEFINITE INTEGRAL - CIE Math Solutions
Properties of Definite Integrals | College Board AP® Calculus AB Study ...
Properties of Definite Integrals - Wize University Calculus 1 Textbook ...
Calculus Help: Area Between The Curves - Using the Definite Integral
Definite Integral For A Poster
Definite Integral Formulas
The Definite Integral (area under the curve) | Math | ShowMe
CBSE Class 12 Maths Chapter 7 Integrals Formulas List, Important ...
3d Illustration Definite Integral Area Under Stock Illustration ...
Definite Integrals Questions (with Solution)
Image
How to find the integral of a function? - Integral Calculator
Math Exercises & Math Problems: Definite Integral of a Function
Definite Integral: Step-by-Step Explanation - Andrea Minini
Math mathematics calculation chart Cut Out Stock Images & Pictures - Alamy
Calculus I: Definite integral by area under the curve - YouTube
Math Nspired - Calculus - Definite Integrals and Applications by Texas ...
Definite Integral: Definition, Example - Statistics How To
Find the area or volume bounded by curves, Definite Integrals ...
Using Riemann Sums to Define the Definite Integral - YouTube
Changing endpoints for a u sub in a definite integral | Math, Calculus ...
Understanding Fundamentals of First, Second, and Third Integrals and ...
Integral Formula Sheet
SOLVED: Evaluate the definite integrals using properties of the ...
Understanding the Definite Integral
PPT - The Definite Integral PowerPoint Presentation, free download - ID ...
PPT - Integral Calculation and Differentiation Rules | Indefinite ...
Definite Integral Examples to help in IIT JEE Preparation - %%sitename%%
Integral Formulas
Use power series to approximate definite Integral (1/(1+x^5)) dx over ...
Definite Integral - Maths Advanced - Year 12 - NSW
What is A Definite Integral - IB Maths AA Revision Notes
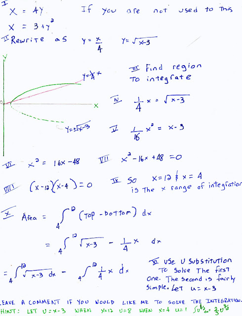
Definite Integral : Area Between Curves
Properties of Definite Integrals - ppt download