Showing 120 of 120on this page. Filters & sort apply to loaded results; URL updates for sharing.120 of 120 on this page
(PDF) Measurement of Chlorine Dioxide in Water by DPD Colorimetric Method
Solved SPECTROPHOTOMETRY The DPD colorimetric method is used | Chegg.com
Answered: SPECTROPHOTOME TRY The DPD colorimetric method is used to ...
Solved Why is the colorimetric method by the DPD technique | Chegg.com
Online Digital Non-Portable Dpd Colorimetric Method Total Chlorine ...
Solved In the DPD colorimetric method for the free chlorine | Chegg.com
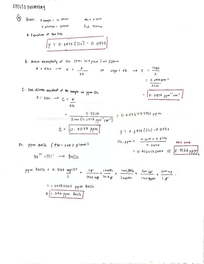
Solved 8. In the DPD colorimetric method for the free | Chegg.com
Jual Implements the DPD colorimetric method to determine free or total ...
Jual Hanna HI3830-060 Bromine DPD colorimetric method - PT.Ribora ...
Online Automatic DPD Colorimetric Method Free Chlorine Analyzer for ...
COLORIMETRIC METHOD | PPTX
Multi-Task Water Quality Colorimetric Detection Method Based on Deep ...
Estimation Of Lead By Colorimetric Method at Jayden Nobbs blog
Colorimetric Method Bacteria at Kathleen Flores blog
Colorimetric Method For Chlorine at Margaret Ratliff blog
Schematic diagram of the colorimetric method for DEX detection based on ...
Colorimetric process analyzer (DPD-method) - Norleq
YSI 3017M Chlorine Analyzer - DPD COLORIMETRIC ANALYZER - 3017M ...
Colorimetric Assay Method at Iva Blackburn blog
Framework of the alternating iterative DPD method | Download Scientific ...
Chlorine Testing DPD Method / chlorine-testing-dpd-method.pdf / PDF4PRO
Chlorine, free, DPD colorimetric method, Reagent Kit
(PDF) DPD method for disinfection electrolysis?
Figure 1 from An Indirect Colorimetric Method for Potassium ...
DPD colorimetric analyzer - All industrial manufacturers
A facile method for colorimetric determination of the enantiomeric ...
A colorimetric method for rapid and selective quantification of ...
Colorimetric Method Detection at Leroy Gonzales blog
Colorimetric Method For Ph Determination at Brain Ervin blog
HI-38020-200 CHLORINE, FREE AND TOTAL, LR / MR / HR, DPD COLORIMETRIC ...
Development of a Paper-Based Analytical Method for the Colorimetric ...
Colorimetric Method Lipid at Charlene Ortega blog
A paper-based colorimetric method for monitoring of lithium therapeutic ...
Chlorine, total, DPD colorimetric method, Reagent Kit
Colorimetric Method For Glucose at Jordan Old blog
Colorimetric Modified Method at Seth Obrien blog
DPD as a Reference Measurement – Kuntze Instruments GmbH
Measuring Chlorine using DPD - Water Industry Journal
water treatment : Determination of chlorine by DPD methods
DPD As a Reference Measurement
Colorimetric Quantification Methods for Peracetic Acid together with ...
Colorimetric Chlorine Detection Methods | PDF | Water | Chlorine
A Digital Image-Based Colorimetric Technique Use for Quantification of ...
2: Categories of colorimetric methods used for evaluating masticatory ...
Dissolved oxygen and its method of determination | PPTX
DPDSense - Online Colorimetric Chlorine Analyser | Pi
Pool water monitoring - DPD explained - Hanna Instruments Africa
DPD Colorimeter Chlorine Test : 5 Steps - Instructables
3 Methods for development of portable colorimetric sensors. | Download ...
8 - Colorimetric Methods of Analysis | PDF | Color | Spectrophotometry
Flow diagram of colorimetric modeling process. | Download Scientific ...
Colorimetric Analysis Equation at Ellie Gillespie blog
Residual Chlorine Test Kit / DPD method/ without reagent - SIBATA ...
How Does A Colorimetric Assay Work at Kathleen Flores blog
(PDF) DPD-based colorimetric quantification of free available chlorine ...
Colorimetric Test for Analytes Determination - Wet Chemistry / BOC Sciences
A Low-Cost Colorimetric Assay for the Analytical Determination of ...
Schematic diagram of colorimetric test (a) conventional (b ...
Schematic illustration of the overall colorimetric strategy based on ...
Recent Advances in Colorimetric Tests for the Detection of Infectious ...
Dual-Mode Plasmonic and Paper-Based Colorimetric Assays for the ...
Progress in the design of portable colorimetric chemical sensing ...
What Is Colorimetric Test at Arlene Johnson blog
The flow chart of colorimetric method. | Download Scientific Diagram
Colorimetric methods of analysis - | Książka w Empik
PPT - Chlorination: Effective Water Disinfection Guide PowerPoint ...
Photolysis and secondary formation of disinfection byproducts by
Comparing Chlorine Measurement Methods
OTO, DPD, And FAS-DPD Chlorine Tests | Test Your Own Pool
Labelled Diagram Of Colorimeter at Jacob Trott blog
Colorimetry, INSTRUMENTAL METHODS OF ANALYSIS | PPTX
PPT - Introduction to Instruments PowerPoint Presentation, free ...
TETHYS
Colorimeter- Definition, Principle, Parts, Uses, Examples
The Accurate and Exclusive Quantification of Somatic Cells in Raw Milk ...
Colorimeter: Definition, Principle, Parts, Uses
Colorimeter Measure The Absorbance Of Light at Donald Barber blog
Ensure Accurate Total Residual Chlorine Measurements [Guide]
Chlorination & measurement | PPTX
Colorimetry: Principle, Procedure and applications | PPTX
LED Module Calibration Strategy to Improve Measurement Accuracy of TRO ...
2 Summary of common mechanism and probe used for the development of ...
Colorimeter and Spectrophotometer.pptx
Total Chlorine Test Kit (DPD Method)
PPT - Isolation and quantification of plant total protein PowerPoint ...
Science behind MicroResp™ | MicroResp™
Biochemistry Class notes: Photometry: Principle, applications and types
Chlorine Analysis Methods: Which is Best? - Modus Engineered Solutions
Schematic view of the differential colorimetry process: (a) static ...
PPT - ANALYSIS OF ASH AND MINERALS PowerPoint Presentation, free ...