Showing 119 of 119on this page. Filters & sort apply to loaded results; URL updates for sharing.119 of 119 on this page
Synthesis of complex 2. DCC, N,N′‐dicyclohexylcarbodiimide; DMAP ...
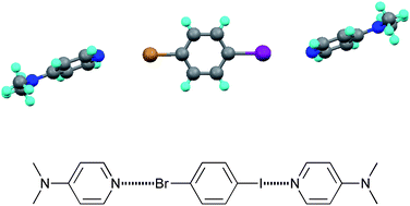
A halogen-bonded complex of DMAP with 4-bromoiodobenzene - CrystEngComm ...
(A) DNA-tethered DMAP accepts thioesters 1 and 2 as substrates, whereas ...
MEP maps of 4-DMAP, DDQ, and the CT complex in the gas phase ...
Unveiling the Role of DMAP for the Se-Catalyzed Oxidative Carbonylation ...
Accelerating Effect of DMAP on CuI Catalyzed Buchwald‐Hartwig C‐N ...
Mechanistic insights into substitution of pyridine with DMAP in DIPy ...
c-Src phosphorylates DMAP1 at Tyr246 and disrupts Bub3/DMAP1 complex ...
Scheme 12. Reactions of the pyrazolato-bridged dichromium complex 35 ...
Selective acylation of O-7 and O-13 of taxanes [47]. DMAP is ...
Construction of the DMAP | Download Scientific Diagram
DMAP 4-(Dimethylamino)pyridine Novabiochem 1122-58-3
Bub3/DMAP1 complex represses anti-apoptotic genes transcription. In a ...
Scheme 6-4. Organic base DMAP plays an important role in the coupling ...
Powder XRD Spectral Data for 4-DMAP, DDQ, and the CT Complex | Download ...
DMAP initiated ring-opening polymerization of rac-lactide initiated by ...
FTIR spectra of (A) 4-DMAP, (B) DHBQ and (C) [4-DMAP-DHBQ] CT complex ...
Chemical shifts of DMAP (guest) and β-CD (host) protons in the free and ...
Cycloaddition of PO to CO 2 in the presence of complex 2/DMAP under ...
Refined models and Fourier DMAPs. (A) Observed DMAP for Δt = 1 ps at a ...
Optimized structures for the adsorption of DMAP on the two-dimer ...
ESR spectral changes of [Co( )(msalpn)]with 4 DMAP, (a)Initial complex ...
schematic diagram of synthesis of TOs-cDDP. Abbreviations: DMaP ...
Migrate Oracle/SQL Databases to PostgreSQL in 12 Weeks with DMAP ...
MMTR/Dmap1 co-localizes with PRC complex proteins at the promoters of ...
Copper and DMAP Relay‐Catalyzed Three‐Component coupling of Terminal ...
Results of Constant pH MD simulations for PaUbiX, PaUbiX-FMN complex ...
4 nn dimethylaminopyridine dmap is frequently used as an acylation ...
The DMAP 190 and DMAP 60 proteins colocalize in embryos. A triple-label ...
Scheme 4. Synthesis of the cross-coupling precursor; DMAP ...
Preparation of hyperbranched NS-loaded DMAP catalysts. | Download ...
New DMAP meso-arylporphyrin Magnesium(II) complex. Spectroscopic ...
Scheme 1. Generation of the copper(II) complex [Cu(bpzCal)] and the ...
Answered: d) Does DMAP act as a Brønsted or Lewis… | bartleby
DMAP 60 is quantitatively retained on the anti-DMAP 190 immunoaffinity ...
Crystal structures of P. aeruginosa UbiXE49Q. a, Detailed view of the ...
Dual protection of amino functions involving Boc - RSC Advances (RSC ...
Results of: A) QM/MM minimization of PaUbiX-FMN-DMAP complex; B) QM/MM ...
常用试剂----DMAP_反应
Cyclodextrins Initiated Ring-Opening Polymerization of Lactide Using 4 ...
Structures of 3a·(DMAP)2 and 4c·(DMAP)2 from single crystal X-ray ...
PPT - Using ontologies for text processing PowerPoint Presentation ...
Optimized geometries in the gas phase of 4-DMAP, DDQ, and the CT ...
Structures of simple dimethylaminopyridine (DMAP) and helically ...
Real‐time, on‐line monitoring of 4‐DMAP‐catalyzed acetylation reaction ...
A novel μ 3 -CO 3 bridged linear polymeric Cu-complex ([Cu 3 (DMAP) 8 ...
DMAP-catalyzed synthesis of 1,4-DHP derivatives | Download Scientific ...
Copolymerization of epoxides with PA under a binary complex-DMAP system ...
Scheme 3 (a) TBSCl, DMAP, Pyr, rt, overnight (41%); (b) BzCl, Pyr, rt ...
SANT domain-containing protein DMAP1 is a stable subunit of the human ...
Schematic representation of the synthesis of a DMAP-based CMP ...
Formal Radical Deoxyfluorination of Oxalate‐Activated Alcohols ...
Plot of k obs versus [DMAP] for the reaction between fac-[Re(CO) 3 ...
(PDF) Cyclodextrins Initiated Ring-Opening Polymerization of Lactide ...
Biochemical characterization of 6-DMAP-treated chromatin . A ...
APExBIO - DMAP|1122-58-3|Other Reagents
Palladium Catalyzed Conversion of Aryl Triflates to Acyl-DMAP Salts: A ...
SOLVED: 4. OPTIONAL BONUS: Consider the DMAP-catalyzed esterification ...
N , N -Dimethylpyridin-4-amine (DMAP) based ionic liquids: evaluation ...
4-Dimethylaminopyridine (DMAP)
Figure 1 from The Preparation and Characterization of 4 ...
Proposed mechanism of catalytic aroyl–DMAP formation | Download ...
Molecular structures of [1-dmap] 3− (a), [1-lut] 3− (b), [1-py] 3− (c ...
Consider the DMAP-catalyzed esterification of a carboxylic acid ...
(a) The molecular structures of several new matrixes DMAP, BBP, DBT ...
Photoinduced Synthesis of Bis‐Sulfonyl γ‐Arylated Ketones via DMAP/DDQ ...
作为氧化剂和缩合剂的DMAPO | 梯希爱(上海)化成工业发展有限公司
1 H NMR spectra of (A) 4-DMAP, (B) DHBQ and (C) [4-DMAP-DHBQ] CT ...
CuI/4,4′-t Bu2bpy/ABNO/DMAP catalyzed selective oxidation of primary ...
Diagram architecture of the DMap-based NDT. | Download Scientific Diagram
Figure 5 from The Preparation and Characterization of 4 ...
Photochemistry of DMAP-caged porphyrin derivatives. a The proposed ...
Structure and properties of DMAPP-specific UbiX enzymes. a UV–Vis ...
Epimerisation in Peptide Synthesis
[Solved] Show the mechanism and what is the purpose of DMAP? | Course Hero
Figure 2 from The Preparation and Characterization of 4 ...
Results of Constant pH MD simulations for PaUbiX-DMAP-FMN complex. A ...
Acid-Amine Coupling using EDCI – Organic Synthesis
Crystal structures of P. aeruginosa UbiX. a, Overview of the ...
(Solved) - OPTIONAL BONUS: Consider the DMAP-catalyzed esterification ...
Frontiers | N5 Is the New C4a: Biochemical Functionalization of Reduced ...
Destination Marketing Accreditation Program (DMAP) Frequently Asked ...
The speciation diagrams of (A) Cu(II)-DMAP and (B) Zn(II)-DMAP systems ...
手性DMAP催化剂的动力学动力学拆分的开发。,The Journal of Organic Chemistry - X-MOL
Synthesis of sulfonylurea with DMAP, Boc2O. | Download Scientific Diagram