Showing 118 of 118on this page. Filters & sort apply to loaded results; URL updates for sharing.118 of 118 on this page
Draw the structure of the enolate of cyclohexanone and the enol of ...
Write down the structure of product: 2 molecules of cyclohexanone ...
Give the products of reaction of cyclohexanone enolate with | Quizlet
Cyclohexanone Structure Rational Design Of A Cyclohexanone
Cyclohexanone Structure
Structure Of Cyclohexanone
Structure Of Cyclohexanone 2,
Cyclohexanone Enolate Chair TS
Cyclohexanone Resonance Structures
SOLVED: Select the structure of the enol tautomer of cyclohexanone: OH ...
Draw a mechanism for the acid-catalyzed conversion of cyclohexanone ...
22.8: Alkylation of Enolate Ions - Chemistry LibreTexts
Assertion: Cyclohexanone exhibits keto-enol tautomerism. Reason: In ...
SOLVED: The enol form for cyclohexanone is: b OH OH
Draw the Tautomer of Cyclohexanone - YouTube
Nucleophilic Reactions Involving Enolate Anions - BDS Notes
Cyclohexanone - IRO Group Inc.
Cyclohexanone Oxidation
Solved cyclohexanone bicarbonate cyclohexanone carbonate | Chegg.com
SOLVED:Draw the product X of the aldol reaction of cyclohexanone ...
Cyclohexanone Reactions
Solved The enol form for cyclohexanone is: C. | Chegg.com
CYCLOHEXANONE (BEI) - ACGIH
Solved Cyclohexanone is at higher concentration at | Chegg.com
Accumulation of cyclohexanol and cyclohexanone (sum) in the oxidation ...
What is the action of following compounds on cyclohexanone class 12 ...
Cyclohexanone Solvent Guide: Properties, Uses & Alternatives
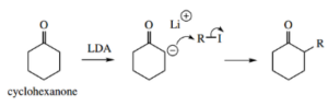
22.7 Alkylation of Enolate Ions - Organic Chemistry | OpenStax
Cyclohexanol To Cyclohexanone Equation
How might the following substances be made from cyclohexanone ...
Cyclohexanone : Propriétés, Réactions, Production Et Utilisations
Cyclohexanone - Shanghai Chemex Group Ltd.
Qu'est-ce que la cyclohexanone ? - Yuanlong
(PDF) A Theoretical Study of the Enol Contents of Cyclohexanone ...
Lewis Structure Of Cyclohexane Electron Dot Structure Of Cyclopentane
Solved The enolate formed from 2-methylcyclohexanone has the | Chegg.com
22.7: Alkylation of Enolate Ions - Chemistry LibreTexts
SOLVED: Synthesize the following compound from cyclohexanone and ...
Draw the structures of the product(s) formed in the following reaction ...
Draw the significant resonance forms for the following ketone whe ...
Draw the enol tautomer of cyclohexanone. | Channels for Pearson+
Cyclohexanone: Chemical and physical properties, Production and Uses ...
Answered: HO. cyclohex-2-enone cyclohexanone… | bartleby
Acoustical properties of molecular inter | Biomedical Research
Chapter 18 Notes
Draw the mechanism for the formation of the enol from...
Synthesize the given compound from cyclohexanone. | Homework.Study.com
Chemical Reactivity
Solution Structures of Lithium Enolates of Cyclopentanone ...
Answered: OH OH cyclohex-2-enone cyclohexanone… | bartleby
Solved Which of the following is the enol of cyclohexanone? | Chegg.com
Solved 13. Which of the following is the enol of | Chegg.com
23.2: Carbonyl Condensations versus Alpha Substitutions - Chemistry ...
OrgoSolver | Chapter 13 - Enols and Enolates
Stylized molecule model/structural formula of cyclohexanone. Stock ...
Enolates - Formation, Stability, and Simple Reactions – Master Organic ...
Cyclohexanol Nmr
SOLVED: Answer questions a-c about the Bronsted acid-base reaction ...
Hydrolysis Of Enamines To Aldehydes And Ketones The Mechanism