Showing 120 of 120on this page. Filters & sort apply to loaded results; URL updates for sharing.120 of 120 on this page
Normalized fluorescence emission spectra of pyrene in cyclodextrin ...
Enhanced Characterization of Pyrene Binding in Mixed Cyclodextrin ...
Cyclodextrin supramolecular inclusion-enhanced pyrene excimer switching ...
A cationic cyclodextrin assisted aggregation of an anionic pyrene ...
A schematic description of sensing scheme based on cyclodextrin (CD ...
Schematic illustrations of pyrene complexes in cyclodextrin: a a 2:1 ...
Fluorescence emission of 1.98 μM of pyrene in the presence of: a ...
Supramolecular assembly-enhanced chiroptical properties of pyrene ...
Figure 1 from Spectral Comparison of the Binding of Pyrene to β ...
Figure 1 from Fluorescent Molecular Sensory System Based on Bis Pyrene ...
Self-Assembly and Circularly Polarized Luminescence from Achiral Pyrene ...
Pyrene excimer formation in .gamma.-cyclodextrin solutions: association ...
Figure 1 from Formation of pyrene excimer in an association dimer of ...
The Role of Cyclodextrin in the Construction of Nanoplatforms: From ...
Cyclodextrin functionalized polymers as drug delivery systems - Polymer ...
Pyrene fluorescence emission in the presence of (a) 10 mM... | Download ...
(A) Structure of cyclodextrin and the α-1,4-D-glucopyranose unit with ...
Cyclodextrin Inclusion Complexes for Improved Drug Bioavailability and ...
Chemical Sensors Based on Cyclodextrin Derivatives
Di ff erent routes for synthesis of functionalized cyclodextrin linked ...
“Extra stabilisation” of a pyrene based molecular couple by γ ...
(PDF) Characteristics of Pyrene Phospholipid/ γ-Cyclodextrin Complex
Chiral Separations of Pyrethroic Acids Using Cyclodextrin Selectors
Figure 2 from Fluorescent Molecular Sensory System Based on Bis Pyrene ...
Figure 1 from Cyclodextrin complexed [60]fullerene derivatives with ...
Cyclodextrin - Tá dược thường gặp trong nhiều công thức dược phẩm
| (A) Synthesis of pyrene-appended β-cyclodextrin via a Huisgen ...
Cyclodextrins with Multiple Pyrenyl Groups: An Approach to Organic ...
Structure of glycorhodamine probes 10 and 11 for supramolecular ...
Cyclodextrin-assisted modulation of the photophysical properties and ...
Chemical structure of the β-cyclodextrin with the 7 glucopyranose units ...
Cyclodextrins and Their Derivatives as Drug Stability Modifiers
(PDF) Interaction of cyclodextrins with pyrene-modified polyacrylamide ...
Host–Guest Complexation‐Induced Aggregation Based on Pyrene‐Modified ...
Cyclodextrins: Enhancing Drug Delivery, Solubility and Bioavailability ...
(I) General structure of α-cyclodextrin, β-cyclodextrin, and ...
Blog Series 1: The Basics of Cyclodextrins | Blog | Biosynth
The Role of Cyclodextrins in COVID-19 Therapy—A Literature Review
Cyclodextrins. (A) Chemical structure of natural occurring ...
Frontiers | Cyclodextrins and Iatrogenic Hearing Loss: New Drugs with ...
Structural organization of cyclodextrins. (A): α-cyclodextrin formed by ...
Solubility of α-cyclodextrin, β-cyclodextrin, and γ-cyclodextrin in ...
An Updated Overview of Cyclodextrin-Based Drug Delivery Systems for ...
Structure of a γ-cyclodextrin and b synthetic pathway of pyCD ...
Cyclodextrins - American Chemical Society
BENZO[E]PYRENE-D12 — Chemical Substance Information
Pamiers. Apprentissage : des élèves du lycée Pyrène à l’honneur ...
Covid-19 : le lycée Pyrène à Pamiers propose un dépistage à ses ...
Recent Progress in Circularly Polarized Luminescent Materials Based on ...
Chemical structure of cyclodextrin. | Download Scientific Diagram
(PDF) Effect of α-cyclodextrin on the optical and surface-morphological ...
Cyclodextrin-covered organic nanotubes derived from self-assembly of ...
The chemical structure of cyclodextrins. | Download Scientific Diagram
BJOC - Interaction of cyclodextrins with pyrene-modified polyacrylamide ...
The structures of cyclodextrins | Download Scientific Diagram
Cyclodextrin-Based Sensors for the Recognition of Small Molecules ...
Kinetic and Structural Insights into β-Cyclodextrin Complexation with ...
Ratiometric Fluorescent Pattern for Sensing Proteins Using Aqueous ...
β-Cyclodextrin Polymer-Based Fluorescence Enhancement Strategy via Host ...
Cyclodextrins
Cyclodextrins: Advances in Chemistry, Toxicology, and Multifaceted ...
Circularly Polarized Luminescence from a Pyrene-Cyclodextrin Supra ...
Cyclodextrine
Figure 1 from The effect of γ‐cyclodextrin addition in the self ...
Kinetic Analysis of the Methyl-β-cyclodextrin-Mediated Intervesicular ...
论文著作 - 四川大学杨成课题组
Figure 1 from Chiral recognition of protected amino acids by means of ...
Sachinfo - Herstellung
Cyclodextrins, reflected
Cyclodextrin-Calcium Carbonate Micro- to Nano-Particles: Targeting ...
Figure 3 from Ratiometric Fluorescent Pattern for Sensing Proteins ...
A schematic diagram for different cyclodextrins. | Download Scientific ...
β-Cyclodextrin Polymer-Based Host–Guest Interaction and Fluorescence ...
Two views of (a) β-cyclodextrin and (b) 2-hydroxypropyl-β-cyclodextrin ...
(PDF) β-Cyclodextrin Polymer-Based Host–Guest Interaction and ...
Schematic representations of the three main cyclodextrins, namely ...
Chemical structure and schematic 3D representation of natural ...
Top: P-Cyclodextrin with seven glucopyranose 1-4 linked units. Bottom ...
Molecular structures of cyclodextrins and calixarenes | Download ...
Cyclodextrins and α-cyclodextrin_Chemicalbook
Journal of the American Chemical Society Vol. 120 No. 5 - ACS Publications
Synthesis of Ferrocene−Cyclodextrin, Anthracene−Cyclodextrin, and ...
Circularly polarized luminescence (CPL) characteristics of hydrophobic ...
Tris(bispyrene‐bipyridine)iron(II): A Supramolecular Bridge for the ...
Figure 1 from Selective Recognition of Endocrine Disruptors by ...
The Role of Cyclodextrins in COVID-19 Therapy—A Literature Review ...
Cyclodextrins: An Overview of Fundamentals, Types, and Applications ...
Coatings of Cyclodextrin/Citric-Acid Biopolymer as Drug Delivery ...
Photoinduced Electron Transfer in a Self-Assembled Bis(β-cyclodextrin ...
Chiral Competition Reflected by Circularly Polarized Luminescence ...
Synthetic strategy and pathway for preparation of 5′-pyrene-terminated ...
Interaction of cyclodextrins with pyrene-modified polyacrylamide in a ...
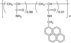
Chemically Responsive Supramolecular Assemblies of Pyrene-β ...
Liquid Formulation Solubility Enhancement
Cyclodextrins and their applications | Soft Matter and Biophysics ...
Use of β-cyclodextrin-tethered cationic polymer based fluorescence ...
Figure 5 from Influence of Triethanolamine on Aqueous β-Cyclodextrin ...
The structure of cyclodextrin. | Download Scientific Diagram
Three-dimensional form and size of cyclodextrins | Download Table
Adamantane-Substituted Purine Nucleosides: Synthesis, Host–Guest ...