Showing 120 of 120on this page. Filters & sort apply to loaded results; URL updates for sharing.120 of 120 on this page
Oyetola Launches CVFF Application Portal, Signals New Era for ...
CVFF
asphalt properties predicted using the Cvff force field at different ...
CVFF DISBURSEMENT: NIMASA MANAGEMENT MEETS WITH APPROVED PRIMARY ...
(a) CVFF optimized inclusion complex of b-CD:1. In mode A. Inclusion of ...
Surface energy prediction on CVFF dataset with LightGBM. a Sphere ...
help us get MSI force fields in moltemplate (COMPASS, PCFF, CVFF ...
Modified Charges in cvff Force Field a | Download Table
CVFF force fields - Big Chemical Encyclopedia
The use of CVFF and CFF91 force fields in conformational analysis of ...
CVFF force field page on SklogWiki - a wiki for statistical mechanics ...
NIMASA GETS REPS SUPPORT FOR CVFF DISBURSEMENT | NIMASA
CVFF Disbursement Process Begins — Akelicious
CVFF | PKfluid
CVFF Çek Valf
Oyetola Launches CVFF Application Portal, As NIMASA Says it is not ...
Apresentando a CVFF - YouTube
improper_style cvff command — LAMMPS documentation
Обратные клапаны CVFF
6.4. CVFF Improper — WebFF 1.0.0 documentation
New era for ship financing as FG launches CVFF application portal ...
CVFF Disbursement: NIMASA Confirms Single Digit Interest Rate - Prime ...
Utilização de métricas CAC para orientar a afetação de capital num CVFF
Lawmakers back Marine and Blue Economy Ministry on disbursement of CVFF
CVFF Disbursement - NIMASA Confirms Single Digit Interest - National Wire
$25m CVFF access portal launched
Celebrating the 2024 CVFF Finalists at Le Chalet at L’Avenue at Saks - CFDA
CVFF DISBURSEMENT- NIMASA CONFIRMS SINGLE DIGIT INTEREST RATE. | NIMASA
NIMASA Entertaining Us With CVFF Disbursement Plans — Shipowners - AMG ...
Chapter 15 CVFF PDF | PDF | Nature
CVFF Finalists 2013 – Photos – Vogue | Vogue
CHECK VALVE วาล์วกันกลับ "CDC" MODEL : CVFF - Your Engineer 1990
CVFF Ford Transit Engine, 2940.00 € | RRR
2022 CVFF Finalists [PHOTOS]
Le CFDA et Vogue : Éloge des Talents du CVFF 2024
FG launches CVFF portal for $25m ship financing at 6.5% interest
CVFF Disbursement: 15% Equity Scares Ship-owners, As NIMASA Engages ...
Anxiety Over CVFF As NIMASA Issues Fresh Guidelines, Calls For Fresh ...
complex valued feed forward (CVFF) and complex back-propagation (CBP ...
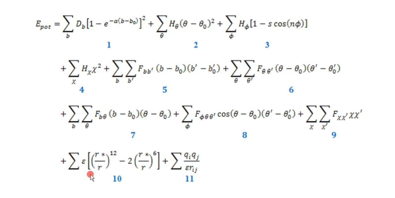
Consistent Valence Forcefield (CVFF)
PPT - Feh érjék 1 PowerPoint Presentation, free download - ID:3725383
CVFF-G | PKfluid
PPT - Abstract PowerPoint Presentation, free download - ID:3725342
lammps教程:cvff势函数参数设置方法_怎么用cvff力场区分不同的碳原子-CSDN博客
Figure 1 from Full-atomistic simulations of poly(ϵ-caprolactone) diol ...
MS建模cvff势参数不能识别的终极解决办法 - 知乎
Molecular mechanics | PDF
COMPUTATIONAL CHEMISTRY | PPT
Materials Studio学习笔记(二十二)——Forcite核心参数_valence energy (cross terms)-CSDN博客
CVFF-G1/4
Valence force field simulations and density functional theory of energy ...
INTERFACE-force-field-and-surface-models/cvff_interface_v1_5.frc at ...
lammps教程:cvff势函数参数设置方法 - 知乎
Molecular Forcefield Methods for Describing Energetic Molecular ...
Extension of the QuickFF force field protocol for an improved accuracy ...
PPT - Molecular Mechanics Force Fields PowerPoint Presentation, free ...
ConsistentForceField | Wolfram Language Paclet Repository
Valence (VFF), central (C FF) and Keating (KFF) force field approxim ...
#nimasa #cvff #maritimedevelopment #cabotageact #maritimenigeria # ...
IMPLEMENTATION AND DISBURSEMENT OF THE CABOTAGE VESSEL FINANCING FUND ...
20231205183815_cvfF9Lq7fj.jpg
MISUMI | 미스미 종합 Web 카탈로그
看分子动力学模拟如何变废为宝! - 知乎
유니플로우
Quantum mechanical force fields for condensed phase molecular simulations
A Reactive Molecular Dynamics Study of Chlorinated Organic Compounds ...
A Density Functional Valence Bond Study on the Excited States
Hope for shipowners as Oyetola orders NIMASA to commence process of ...
On the importance of accounting for nuclear quantum effects in ab ...
The continuous evolution of biomolecular force fields: Structure
CVFF: Disbursement- NIMASA Confirms Single Digit Interest Rate, As ...
Predicting Molecular Energy Using Force-Field Optimized Geometries and ...
Simulations of eight molecules in a small simulation box for ...
A Generic Force Field for Protein Coarse-Grained Molecular Dynamics ...
Figure 4 from Generating High-Precision Force Fields for Molecular ...
CVFF: House of Representatives Backs Marine and Blue Economy Ministry ...
循环伏安法CV的原理、实验操作、参数设置、曲线绘制及分析等! | 华算科技
Comparison of force fields in the essential subspace. The figure shows ...
Fig. S. 7 Molecular Dynamics calculation (COMPASS force field, NVT, 1fs ...
ff14ipq: A Self-Consistent Force Field for Condensed-Phase Simulations ...
Reversible molecular simulation for training classical and machine ...
Biomolecular dynamics with machine-learned quantum-mechanical force ...
Efficient Crystal Structure Prediction for Structurally Related ...
CVFF: NIMASA Opens Application Portal, Signals Disbursement Process ...
DMFF:分子力场开发新利器_dp力场-CSDN博客
Snapshot slices of the 50% CVF systems after simulation for 1 ns with ...
A transferable active-learning strategy for reactive molecular force ...
Vocês sabe sobre a cvff? teste agora
Small molecule force field parametrization for atomistic Molecular ...
Developing accurate molecular mechanics force fields for conjugated ...
Accurate force fields and methods for modelling organic molecular ...
Ship-owners Hopeful, Highlight Reasons Behind Protracted Non ...
Country View Family Farms - Clemens Food Group
Efficient Machine Learning Force Field for Large-Scale Molecular ...
Phonon Dispersion Relations in Crystalline Materials - ppt download