Showing 120 of 120on this page. Filters & sort apply to loaded results; URL updates for sharing.120 of 120 on this page
Time Crunch Program - The Muscle PhD
PROGRAM 10 FLOOR CRUNCH - YouTube
Crunch for Beginners - 3 Day Per Week Workout Program - HASfit - Free ...
Crunch - 3 Day Per Week Workout Program - HASfit - Free Full Length ...
Time Crunch + Program Delivery: What Happens Next?
PROGRAM 10 ELBOW TO KNEE CRUNCH - YouTube
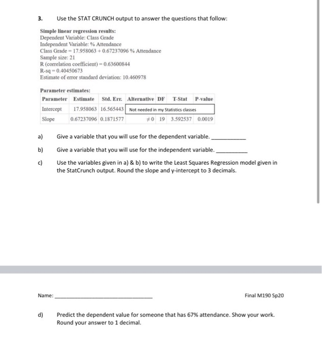
Solved 3. Use the STAT CRUNCH output to answer the questions | Chegg.com
Time Crunch 8-Week Program – Terminator Training
PROGRAM 10 BICYCLE CRUNCH - YouTube
PROGRAM 10 PARTIAL CRUNCH - YouTube
Lunch Crunch program a popular offering from WCS
Before And After Crunch Challenge
A Detailed Guide on Crunch Tool
Tableau D'exercices De Crunch
Crunch exercise instructions and video | Weight Training Guide
Crunch | Reviews, Pricing & Demos - SoftwareAdvice IE
Creating Wordlists With Crunch | Hacking Tutorials by Xeus
How To Do A Crunch, Explained In Detail + 6 Crunch Variations To Try
Discover Crunch+ by Crunch Fitness | On-Demand and Live Workouts
Crunch Exercise: How To Do? Variations, Benifits Fit5 App, 51% OFF
Crunch Software Reviews, Demo & Pricing - 2024
How to avoid crunch time in long-term projects - BigPicture
Crunch Wordlist generator (Kali Linux) - Networkwalks Academy
Using Crunch Automation within the web app – Help Center
Crunch » Workout Routine Created By Aryan Bhardwaj
Online Accountants For Limited Companies | Unlimited Support | Crunch
How the Crunch API works – Help Center
Crunch Complete Tutorial | How to Use Crunch Tool | How to Create ...
Five Ways to Prep for a Crunch Group Fitness Class - Crunch
Crunch Start Up | Crunch Fitness
Join the program | Crunch&Sip®
Review: Crunch Accounting Software | Read User Comments
Work Your Abs without Equipment: All About the Crunch | FizzUp
Crunch | PDF | Business
30 Day Crunch Challenge Before And After
Crunch Mode: programming to the extreme - The Relationship Between ...
Crunch accounting review
How To Do Crunch | Exercise Demo - YouTube
A Detailed Guide on Crunch
Faster and smaller Color BASIC with Carl England’s CRUNCH | Sub-Etha ...
Getting started with the Crunch app | Crunch help video - YouTube
15 Standing Core Exercises for a Killer Ab Workout | The Output by Peloton
10 Best Crunch Exercises! - The Best Ab Exercises You Can Do at Home ...
Crunch Accounting Software Review Including FREE Version
Crunch+ by Crunch Fitness | Best Online Workout Program: Virtual ...
Weighted Crunch - Guide, Benefits, and Form
Quick Expense Management | Crunch
Crunch vs IRIS Accountancy Suite: Which Is Better Accounting Software?
Decline Crunch - Guide, Benefits, and Form
8 Best Crunch Variations (with Pictures!) - Inspire US
How to reconcile your Crunch account (Classic) | Crunch
Automating expense management process | Crunch case study | Crunch ...
Effective Crunch Exercise Variations | Crunches workout, Core muscles ...
Crunch Time in Game Development - And How to Prevent It | Runn
Dumbbell Ab Workout Crunch at Mitchell Dorgan blog
Crunch - Download - Softpedia
Crunch Tutorial - MRF - YouTube
¡Revela os teus abdominais con Crunch Movement! - Revista Fitness
Stronger Core - Crunch Tutorial - Jessica Valant
Knowledge - Community, News & Resources | Crunch
Comprehensive Guide On Crunch Tool | PDF | Text File | Computer Data
The public finances under Labour: before and after the credit crunch ...
Input / Output in C | Wideskills
Every Crunch Progression you Need - YouTube
How To Do a Crunch - Get Perfect Crunch Technique - YouTube
Crunch - LAST CHANCE FOR FREE WORKOUTS! Today is the 𝗟𝗔𝗦𝗧 𝗗𝗔𝗬 of our ...
CrunchONE Kickoff | Personal Training at Crunch
Crunch | TechRadar
Features | Crunch
Best Online Workout Program: Virtual Fitness & Exercise Classes
How to Do Machine Crunch: Variations, Proper Form, Techniques, Machine ...
PPT - CS1010: Programming Methodology comp.nus.sg/~cs1010/ PowerPoint ...
Crunches Exercise And Their Benefits at Edward Criss blog
crunch_accounting - Codesandbox
Cómo utilizar Crunch: Una Guía Completa » EsGeeks
Crunch+ offers live and on-demand workouts segmented into six different ...
Introduction to the crunchflow.output package — python-crunchflow 2.0.3 ...
lab 10.pdf - Assignment Step 1: Through directory C:\Programm files ...
Schools | Crunch&Sip®
Become a Crunch&Sip classroom | Crunch&Sip®
Chapter 2: Overview of C++ - ppt download
-Crunch 3.0 Plug-ins Window | Download Scientific Diagram
Mastering the Perfect Crunch: Proper Technique and Benefits
Master the Perfect Crunch: Tips for Form, Frequency, and Modifications
CCIDA Approves Loan to Westfield-Based Food Processor to Help Increase ...
Meet Crunch: Redefining Data Analytics for the Next Decade – Fab World ...
CrunchBang Linux - Soft, calm and beautiful
TIMEFORHEALTH: Here are some types of crunches, how to do it and its ...
Crunches Strengthening Exercise at Harrison Fitch blog
Crunches Exercise Workout at Reginald Blanch blog
Crunches Physical Exercise at Georgia Challis blog
How to do Crunches - HIIT Ab Exercise – Group HIIT
PPT - EXPRESSIONS AND ARITHMETIC PowerPoint Presentation, free download ...