Showing 119 of 119on this page. Filters & sort apply to loaded results; URL updates for sharing.119 of 119 on this page
Disordered CrO4 tetrahedra in the structure of β-[Nd2O2](CrO4). All of ...
How to Draw the Lewis Dot Structure for CrO4 2- (Chromate ion) - YouTube
Electron Dot Structure of The Chromate Anion CrO4 | PDF | Science ...
cro4 - CAS号查询
Oxidation Number for CrO4 2- . Oxidation state of Chromate ion ...
Molar conductance–mole ratio plots for the (Co(Salen)–CrO4)²⁻ complex ...
Find oxidation number of cr in CrO4 2- - Brainly.in
Balance the Redox Reaction Fe(OH)2 + CrO4 2- → Fe2O3 + Cr(OH)4 in Basic ...
Solved 7) The tetrahedral complex chromate [CrO4)2- (aka | Chegg.com
Solved 1 2) The tetrahedral complex chromate [CrO4]?- (also | Chegg.com
(Solved) - Chemical Formula 1,07 Mg(C2H,02)2 Li Cro4 Compound Name ...
7) The tetrahedral complex chromate (CrO4)2-(aka | Chegg.com
Structural model of the orientation of CrO4 2-between LDH sheets ...
Cro4 hi-res stock photography and images - Alamy
[Solved] What is the major product to the following reaction? H, Cro4 4 ...
Structure of complex IV. | Download Scientific Diagram
Answered: a. CrO4 (aq) → Cr(OH)3(s) b. I2 21- → | bartleby
(a) Image and (b) UV-Vis spectra of the 2.5 mM CrO4 2 ? solution before ...
Solved The ionic compound K2 CrO4 is soluble in water. | Chegg.com
[ANSWERED] The oxidation number of Cr in K CrO4 is O 6 O 2 O 4 O 3 O 7 ...
Indicate whether the following complex is low spin class 12 chemistry CBSE
Figure S42. Molecular structure of complex 4. Co-crystallized solvent ...
The structures of chromate ion, CrO4 2− and the dichromate ion, Cr2 O72
(3) K2 Cr2 O7 and orange(4) K2 CrO4 and orange3. Consider the followi..
The radial distribution function of K + , HCrO4 − and CrO4 2− ions ...
Answered: H30+ 7 [+] NH, NH Н2 H₂ CrO4 7 (-11²₂00 2 KOH | H1₂0 ? KOH ...
General view of the molecule of complex 4 in the crystal. | Download ...
Name for the part of an ion compound without the charge (eg CrO4 in ...
The oxidation state of Cr in K2 CrO4 is: | Filo
Removing CR and CrO4 Ions | PDF | Hydroxide | Chromium
Adsorption of CrO4 2-, Ni 2+ , and Pb 2+ ions: effect of the pH (45 ...
Chromic Acid Formula, Structure & Properties | Study.com
What is the Chromate Lewis Structure?
Chromate (CrO42-) - Structure, Molecular Mass, Properties and Uses
Chromic Acid - Properties, Formula, Structure & Uses of H2CrO4
A Three-Dimensional Coordination Framework with a Ferromagnetic Coupled ...
Structure of Chromate (CrO4 2-)and Dichromate (Cr2O7 2-) ions AND How ...
Gen Chem Flashcards - Cram.com
Uncovering the Origin of Divergence in the CsM(CrO4)2 (M = La, Pr, Nd ...
Crystal structure of Sr 2 CrO 4 compound. | Download Scientific Diagram
Chromate Ion Formula & Structure
General projection of the structure of 2 (designations: UO7 = orange ...
IPA or Science: Electron Dot Structure of the Chromate Anion CrO4-2 ...
The Mixed-Metal Oxochromates(VI) Cd(HgI2)2(HgII)3O4(CrO4)2, Cd(HgII)4O4 ...
Lewis Electron Dot Structure of the Chromate Anion CrO4-2 | Chemistry Net
General projections of the crystal structures of β-[Nd2O2](CrO4) (a ...
Draw structures of (a) CrO4^2- (b) Cr2O7^2- - Sarthaks eConnect ...
In Cro_4^(2-) ion, Cr is ............. hybridised. | CLASS 12 | D AND F ...
Final Exam Review - Copy Jeopardy Template
Changes of the stability constant (log Kf) of (Co(SALEN)–CrO4)² ...
ClO4- lewis structure, molecular geometry, bond angle, hybridization
Homology model of the CR4/5–TERT complex. (a) Structural superposition ...
Reagent Friday: Chromic Acid, H2CrO4 – Master Organic Chemistry
SOLVED: Given the following complexes: Na[MnF6]; Na2[Cro4], [Co(NH3)6 ...
Solved 4. The CrO4, Mn4, Feo,and Ruo are all d tetrahedral | Chegg.com
Chemistry of Chromium - Chemistry LibreTexts
UV-vis absorption spectra of chromium chloro complexes in hydrochloric ...
-What is the shape of chromate ion? Draw its structure.
PPT - Polydentate Ligands & Nomenclature Chapter 24 – Lecture 2 ...
19 Schematic representation of CrO 2 Cl 2 and hypothesized CrO 4 ...
VIDEO solution: 17. What is the oxidation number of chromium in the ...
メチレンの化学式は何ですか?|化学
Easiest Method for Lewis Dot Structure of Chromate ( CrO4^2-): Step By ...
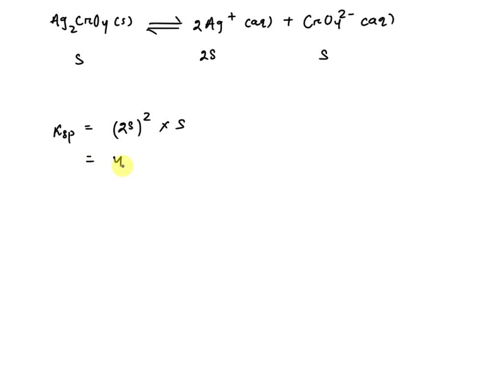
Silver chromate dissociates in water according to the following ...
SOLVED: Show the correct ionic formula for the compound beryllium ...
Structure of cluster cation and (CrO4)²⁻ anion in crystals of 3. The ...
PPT - Polyatomic Ions PowerPoint Presentation, free download - ID:6046497
Lecture 4: Thorium Chemistry - ppt download
Solved Mg(CrO4) | Chegg.com
PPT - CHAPTER 4 Proteins: Structure, Function, Folding PowerPoint ...
Solved Which one of the compounds in Figure #4 is the major | Chegg.com
SOLVED: Compound Type of compound BaO Ionic Molecular CO2 Ionic ...
FT‐IR spectra of (a) 1•NO3, (b) 1•N3, (c) 1• Cr2O7, (d) 1•CrO4, (e ...
what is the formula of the following compound chromium (iii) chromate ...
Solved Assign oxidation numbers to each atom in CrO4. a. | Chegg.com
SOLVED: What is the name of the compound with the formula Sn(CrO4)2 ...
CTQ:8. Chromate (CrO4^-2) is a polyatomic anion which is generally ...
PPT - Unit One PowerPoint Presentation, free download - ID:6376711
SOLVED: Complete the following table: Cation Formula Anion Formula ...
Solved The compound Fe2(CrO4)3 is an ionic compound. What | Chegg.com
Cuboctahedral surrounding of CrO 4 (dark grey) and SiO 4 (light grey ...
chromium
Complete the following table cation formula anion formula...
How to Write the Name for Fe2(CrO4)3 - YouTube
[CrO4] Clusters as Dehydrogenation Terminators for Photocatalytic ...
Hierarchically structure CrO4–TiO2 nanocomposite material and its multi ...
Cr(OH)4^-1+H2O2= CrO4^-2+H2O balance the redox reaction ...
Tin(IV) chromate | Cr2O8Sn | CID 61472 - PubChem
Cro42 hi-res stock photography and images - Alamy
Figure 1 from Uncovering the Origin of Divergence in the CsM(CrO4)2 (M ...
(Solved) - The compound Fe2(CrO4)3 is an ionic compound. What are the ...
Cation and Anion Quiz Game - ppt video online download
How to draw an dot and cross diagram for cro4^2- ( i am an a level studen..
Solved balance the following redox reaction in basic | Chegg.com
SOLVED: How many resonance structures do maleic anhydride and ...
Chromium (Cr) Orbital Diagram: Understanding Electron Configuration
(a) Spectral overlap of absorbance spectrum of the CrO4²⁻ anion with ...
Solved Р" - H,cro4 - + or 3* | Chegg.com
SOLVED: Complete the following for the compound ammonium chromate ...
PPT - Types of Isomerism in Coordinate Compounds PowerPoint ...
v structure of chromate ion (CrO4)2- - Brainly.in