Showing 120 of 120on this page. Filters & sort apply to loaded results; URL updates for sharing.120 of 120 on this page
Course Evaluation Survey Example Questions and Template
10 Amazing Course Evaluation Survey Templates | QuestionPro
Class Evaluation Form Questions - Form example download
13+ Course Evaluation Examples to Download
FREE 4+ Sample Course Evaluation Templates in PDF
8+ Course Evaluation Questionnaire Templates in PDF | DOC
Course Evaluation Survey Template | QuickTapSurvey
Course Survey Template | Improve Student Learning | Formstack
-1: Sample Student Course Evaluation Questionnaire | Download Table
Online Course Evaluation Survey Template | 123FormBuilder
sample of course evaluation questions
Course Evaluation Questions: Key Examples and Tips
Course Feedback with a Canvas Survey
Course Evaluation Sample Survey Template
Course Evaluation Survey: Questions & Tips to Create
3 amazing course evaluation survey examples | QuestionPro
90+ Course Evaluation Survey Questions to Ask + Free Template ...
32 Course Evaluation Survey Questions to Improve Student Feedback
Education Course Evaluation Survey Template in Word, PDF, Google Docs ...
90+ Course Evaluation Survey Questions to Ask + Free Template
Course Evaluation Survey Template & Sample Questions
Education Course Evaluation Sample Questions Template in Word, Google ...
(PDF) Course Assessment Questionnaire
course evaluation survey | Download Table
Course Evaluation Survey template | Asklayer
Course Evaluation Survey Template | Survey template, Course evaluation ...
Course Evaluation Survey Questions A Deep Dive with Examples
Course Evaluation Survey: How To Design It | Sample Questions Included
End Of Course Survey Template
Student Course Feedback Questionnaire - STUDENT COURSE EVALUATION ...
12 Amazing Course Evaluation Survey Questions | QuestionPro
25 Great course evaluation survey questions for your school
Extended writing examples for your GCSE PE Course - Part 2 Edexcel GCSE PE
Solved: Give one example of a starter, main course, and dessert, and ...
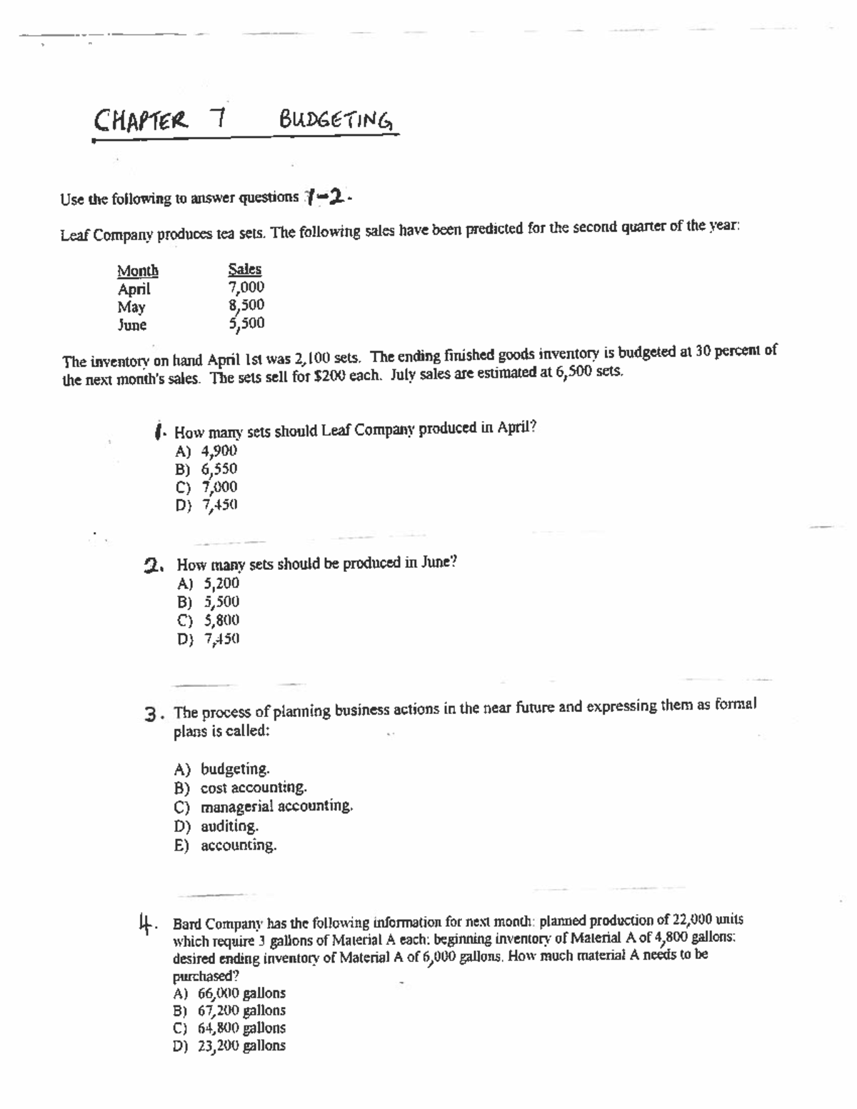
Chapter 7 Budgeting Practice Questions for Course Code: CHprter - Studocu
Example Mid Semester Test: Molecular Biology MCQs & Short Answers - Studocu
Master Data Collection: Survey Design & Sampling Techniques | Course Hero
ISO 14001:2026 Lead Implementer Course | CDG
Evaluation Questionnaire 10 Examples Format Pdf Examples Www Vrogue Co ...
Free This or That Questions Template to Edit Online
9+ Training Evaluation Survey Examples to Download
Training Evaluation Survey - 9+ Examples, Format, Pdf, Tips
Survey Examples For Research All Question Types In One Survey - Free ...
Green Cartoon Style Education And Training Norms Answer Questions ...
Online Hybrid Practical Nursing (PN) Program | VERVE COLLEGE :: Nursing ...
Catholic Wedding Program Template, Minimalist Church Ceremony, Editable ...
Clinical Laboratory Outreach Program Survey Form
100+ Free Online Form Templates | Fully Customizable | Tally
Addiction Recovery Program Participant Satisfaction Survey
Empathy Testing Questions → Area → Sustainability
'Where does it stop?' | Bloomington councilors, residents raise ...
Conveo | Voice of the Customer Template: Build a Complete VOC Program
Present Perfect Tense: Rules, Uses, and Examples
Complete Job Interviewing Skills with Real Life Examples - Free Online ...
Guide Questions for Geometric Designs (Course Code: GD101) - Studocu
ELNGYS EXAM PREP: Chapter 4 Questions and Examples - Studocu
NIH STROKE SCALE TRAINING AND CERTIFICATION QUESTIONS WITH ANSWERS 2025 ...
Editable Funeral Program Template for Catholic Mass
Printable Minimalist Funeral Program Template USA
Funeral Trifold Program Template Printable Free
Solar Training New Zealand
IS 456-1: Comprehensive Summary with Solved Examples and Practice ...
Competency-Based Training (CBT): Meaning, Benefits, Examples & How to ...
Glimpse - Heartfelt Dementia Landing Page Template Template | Build ...
Biathlon - Electrifying Wintersports Landing Page Template Template ...
BBA-104 Financial Accounting Summary: Worked Examples & Exam Qs - Studocu
BMEN 312: Medical Imaging | Past Examination Questions
How Much Does a Medical Assistant Program Cost? Cost vs Value Explained
Editable Funeral Program Template for Non-Religious Service
Qualitative Data Analysis | Guide, Methods & Examples - ATLAS.ti
MIDW 212 Obstetrics Pharmacology | Past Examination Questions
Eft Authorization Form Template
KNN - Practice Questions and Classifications (CS101) - Studocu
AI Interview Questions for Monitoring & Evaluation Jobs in 2026 ...
Topic 4: Final Idea Validation Report Template - Studocu
Training for Feedback Providers → Area → Sustainability
Best Training Bows for Archery: Beginner's Guide
Strong Introduction Techniques for SOPs: Engaging Examples - Studocu
AP® Statistics Cheat Sheet (Free PDF) - Unit Wise | Examples - One For All
Research Methods for Sport and Exercise: Survey on Recovery & Injury in ...
ECO2151 Practice Questions Solutions - Winter 2026 - Studocu
Ambulance Service Patient Transport Survey Form
How does Roger Federer manage his time during a busy tournament ...
Don’t ask why questions to patients and clients - Rec Therapy Today®
LLB3300: Week 1 Seminar Questions on Remedies and Obligations - Studocu
CS2040DE Practice Questions Solutions: Tree Height & Duplicates - Studocu
ACTUAL 2023 APEX NIH Stroke Scale Group A Patient 1-6 - APEX NIH Stroke ...