Showing 91 of 91on this page. Filters & sort apply to loaded results; URL updates for sharing.91 of 91 on this page
The Ultimate Guide to Graph Correlation: Positive/negat...
Advancing Automatic Speech Recognition using Feature Fusion with Self ...
Bitcoin vs Gold Correlation — Currently -0.03 (30d) | Sharpe Terminal
From Principles to Application: Causal Inference Using a Public ...
Bitcoin Nasdaq Correlation Breaks: Market Shift
This image illustrates the concept of correlation with scatter plots ...
(Get Answer) - What does a correlation coefficient of -1 indicate ...
Extra Exercises: Coefficient of Correlation Practice (STAT 101) - Studocu
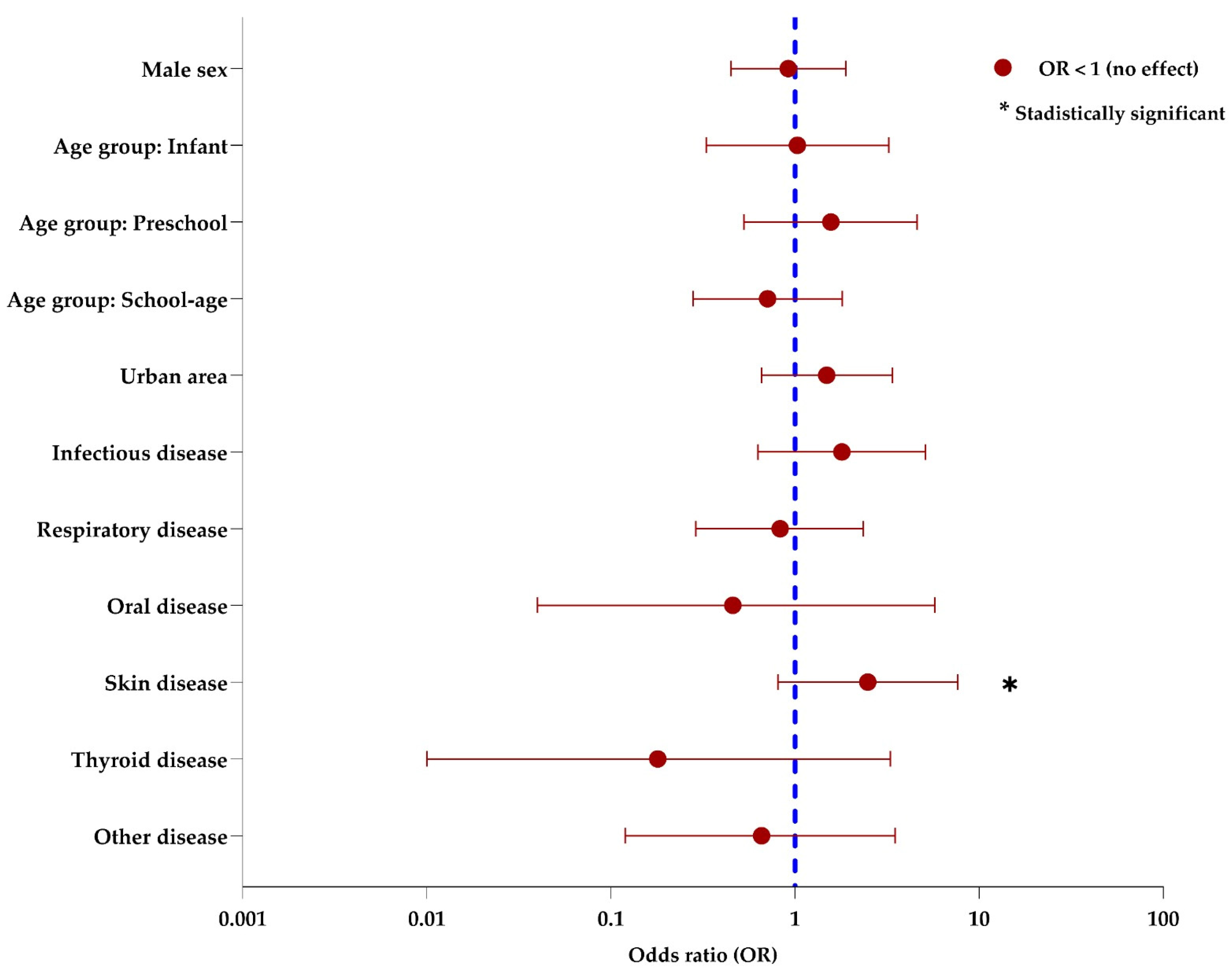
Clinical Characteristics and Diagnostic Correlation of Pediatric ...
Scatter Chart With Lines Dual Y Axis Graph
Correlation Analysis Between Career Development Expectations and ...
Exploring the photovoltaic potential of CuSbS2 using SCAPS-1D and DFT ...
Sector Rotation Timing: Using Macro Signals to Shift Portfolio ...
Python Plot Multiple Lines On Same Graph How To Edit X Axis In Tableau
Bayesian variable selection in sample selection models using spike-and ...
stats-with-jamovi/docs/10.0-correlation-regression.md at master ...
GitHub - shangma761-svg/Data-analytics-Week-3---Activity-1---Calculate ...
Scatter Plot Worksheets For Middle School - School Worksheets
What insult do you think the Giants use to describe walks? | McCovey ...
Gold vs Inflation: 50-Year Data & 2026 Hedge Guide
US dollar outlook - moving from strength to weakness | Manulife ...
6/ The Audience Retention Analyzer You are a YouTube analytics expert ...
TikTok Music: 84% of Billboard 200 [2026 Data] | Dynamoi
Guardian Strategic Income Fund Series F - Real-Time NAV & H…
Recalibrating the epigenetic clock reveals divergent DNA methylation ...
Ggplot Line Chart In R 3 Axis Plot Python
RHIT Charts Flashcards | Quizlet
BMO Sustainable Balanced Portfolio Advisor Series - Real-Ti…
Franklin Brandywine Global Balanced Fund Series A - Real-Ti…
Counsel Enhanced Global Equity - Series P - Real-Time NAV
BMO Sustainable Equity Growth Portfolio Series G - Real-Tim…
Fidelity Advisor Focused Stock Fund I - Real-Time NAV & His…
AGF Enhanced U.S. Equity Income Fund F - Real-Time NAV & Hi…
SEI Liquid Alternative Fund - Class F (H) - Real-Time NAV
Fidelity VIP Balanced Portfolio Investor - Real-Time NAV
BMO Covered Call Energy ETF Fund Advisor Series - Real-Time…
American Century Disciplined Core Equity Fund R - Real-Time…
Dynamic Short Term Credit PLUS Fund FH USD - Real-Time NAV
Fidelity Multi-Alt Equity Fund Series F5 USD - Real-Time NA…
RBC QUBE Global Equity Fund FZ - Real-Time NAV & Historical…
LoCorr Strategic Allocation Fund I - Real-Time NAV & Histor…
RBC QUBE Low Volatility U.S. Eq Curr Neut F - Real-Time NAV…
Fidelity Global Equity Income Fund - Real-Time NAV & Histor…
Fidelity Multi-Alt Equity Fund Series B USD - Real-Time NAV…
Fidelity Multi-Alt Equity Fund Series S5 USD - Real-Time NA…
RBC QUBE Low Volatility Global Equity A USD - Real-Time NAV…
Rational/RGN Hedged Equity Fund A - Real-Time NAV & Histori…
AI Engineer at Unlimit | Wantapply.com
U.S. Net Worth: Married vs. Single Household Wealth - TheStreet
Invesco Multi-Strategy Fund R - Real-Time NAV & Historical
Fidelity Multi-Alt Equity Fund Series F8 USD - Real-Time NA…
Rational/RGN Hedged Equity Fund Inst - Real-Time NAV & Hist…
EQ/Large Cap Value Managed Volatility Port IB - Real-Time N…
Fidelity Multi-Alt Equity Fund Series S8 USD - Real-Time NA…
Sphere 500 Climate Fund R6 - Real-Time NAV & Historical Per…
BMO Aggregate Bond ETF Fund Series F - Real-Time NAV & Hist…
Manulife US Opportunities Advisor Series - Real-Time NAV
BMO Equity Growth ETF Portfolio GIF 75/100 Class A - Real-T…
Fidelity All-in-One Equity ETF Fund Series F USD - Real-Tim…
R Add Line To Ggplot C3 Area Chart
NBI Global Tactical Bond Advisor Series - Real-Time NAV & H…
BMO Aggregate Bond ETF Fund Series Adv - Real-Time NAV & Hi…
Here are 100 hard ML interview questions you must not miss out ...
Is There a Limit to How Much Toxin a Single Microplastic Can Hold? → Learn
Download Iress ViewPoint Online Trading Platform | FP Markets Venezuela
Chatbots outperform doctors in diagnosing many diseases, study finds
Are municipal bonds a good investment right now? - Jessica Gibbs ...
AI is reshaping personalized spatial audio experiences
Why Crypto ETFs and the Post-Halving Era Are Rewiring Institutional ...
Dynamical intracranial EEG functional network controllability localizes ...
ICT SMT Divergence: A Guide to Confirming Market Reversals | FXNX
$TIBBIR - The devil is in the details. Most people lose in crypto ...
Bayesian network 3D event reconstruction in the Cygno optical TPC for ...
Ggplot2 Regression Line Type In
stocks - Elliott Wave Forecast: Elliott Wave Trading Signals & Forecast
ewftheory - Elliott Wave Forecast: Elliott Wave Trading Signals ...
Analytical Process Flow in Data Science - Crazeneurons