Showing 120 of 120on this page. Filters & sort apply to loaded results; URL updates for sharing.120 of 120 on this page
Nonmetal (S or Se)‐Bridged Core Shell Electrodes for Promoting ...
(PDF) Oxygen Evolution at IrO 2 Shell – Ir-Ni Core Electrodes Prepared ...
Schematic illustration of the formation of the core – shell structure ...
Electrical and optical characteristics of different core shell ...
(a) CV curves of the Ni(OH) 2 @ 3D Ni core – shell electrode at various ...
Diffusion-Induced Stresses of Spherical Core-Shell Electrodes in ...
Functionalized EGaIn Electrodes with Tunable Reduced‐Graphene‐Oxide ...
Different geometries of core-shell electrodes showing that only in the ...
An Overview on the Novel Core-Shell Electrodes for Solid Oxide Fuel ...
(PDF) An Overview on the Novel Core-Shell Electrodes for Solid Oxide ...
(PDF) Core–Shell Structured Carbon Nanofiber-Based Electrodes for High ...
Core–shell structured Co3O4@NiCo2O4 electrodes grown on Ni foam for ...
(PDF) Electroplated core-shell nanowire network electrodes for highly ...
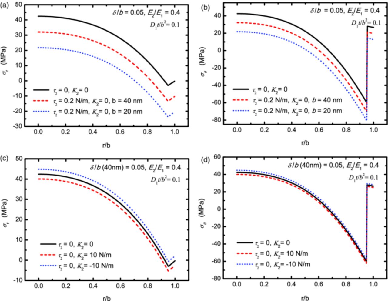
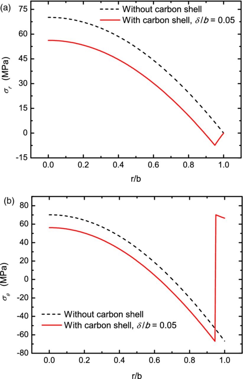
Stress fields in hollow core-shell spherical electrodes of lithium ion ...
Positive electrode (PE) core-shell concentration profiles and shell ...
(PDF) Au@MnO 2 Core-Shell Nanomesh Electrodes for Transparent Flexible ...
(PDF) Core/Shell Structure Nano-Iron/Iron Carbide Electrodes for ...
(PDF) Diffusion-Induced Stresses of Spherical Core-Shell Electrodes in ...
Core‐shell Nanofiber‐based Electrodes for High‐performance Asymmetric ...
Schematic fabrication of core–shell MnO2@CNTs composite electrodes on ...
Flexible metallic core–shell nanostructured electrodes for neural ...
Surface morphology of the core-shell composite electrodes before and ...
The electrochemical properties of the VG/LTO-CNTs core/ shell ...
Core–Shell Structured Carbon Nanofiber-Based Electrodes for High ...
(PDF) Electrospun Nanofiber-Based Electrodes Composed of Core-Shell ...
Figure 1 from TiO 2 @carbon Core-Shell Nanostructure Electrodes for ...
Core-Shell Fuel Cell Electrodes - Eureka | Patsnap
Ag@Ni Core–Shell Nanowire Network for Robust Transparent Electrodes ...
Three-Dimensional Hierarchical Core/shell Electrodes Using Highly ...
Effect of alkaline electrolyte concentration on energy storage of core ...
Ag@Au core-shell NW transparent electrodes and their optical and ...
Core/shell structured electrodes for energy storage devices - Eureka ...
Fabrication of Porous Reduced Graphene Oxide Encapsulated Cu(OH)2 Core ...
Mesoscopic open-eye core–shell spheroid carved anode/cathode electrodes ...
3D core–shell porous-structured Cu@Sn hybrid electrodes with ...
(PDF) Stress fields in hollow core-shell spherical electrodes of ...
Electroplated core–shell nanowire network electrodes for highly ...
Figure 1 from Three-dimensional Core@Shell Nano-Array Electrodes for ...
Introducing Ce into the interface of NiCo LDH@PBAs to build multi core ...
Sketch of core-shell electrode, which consists of material 1 and 2 ...
a Schematic illustration of the 3D Si@C core-shell electrode. b SEM ...
(PDF) Structure-Engineered Core–Shell Ni–Co–O/NiCo-LDH Nanospheres as ...
A Core‐Shell Perovskite Composite Air Electrode With Thermal‐Expansion ...
Hollow core–shell nanostructure supercapacitor electrodes: gap matters ...
(PDF) Highly Stable Supercapacitors with Conducting Polymer Core-Shell ...
Bio‐Inspired Core–Shell Structured Electrode Particles with Protective ...
Core–shell structured Li–Fe electrode for high energy and stable ...
Functionalized EGaIn electrode with RGO assembled EGaIn core–shell ...
(PDF) Core–shell structured Li–Fe electrode for high energy and stable ...
Schematic illustration of the preparation of the core–shell structure ...
Fabrication and characterization of Ag-Au core-shell NW-based ...
(a) TEM image of one WO 3 @PPy core–shell NW. (b) CV curves of ...
A core–shell electrode for dynamically and statically stable Li–S ...
Electrodeposition of core-shell structures. (A) Chemical reactions ...
Schematic of formation of electronic core–shell structures in a) n‐type ...
(PDF) Mesoscopic open-eye core–shell spheroid carved anode/cathode ...
Cyclic voltammetry (CV) curves of TiO 2 nanotube-PPy core-shell ...
Design strategy for the core–shell VMoON@NC 3D electrode architecture ...
Recent Progress in Core@Shell Sulfide Electrode Materials for Advanced ...
(PDF) Unique Core-Shell Nanorod Arrays with PANI Deposited into ...
(PDF) A novel preparation of core–shell electrode materials via ...
(a) Schematic of core–shell nanoparticle and core–shell... | Download ...
(a) Discharging curves of synthesized core-shell electrode at 5-50 Ag ...
Sulfidation of ZIF-Derived Core-Shell NiCo LDH/Ni MOF Heterostructure ...
Zuerch Lab - ULTRAFAST MATERIALS CHEMISTRY AT BERKELEY
(PDF) Core-shell structured electrode materials for lithium ion batteries
Modified electrode by using magnetic core–shell Fe3O4@SiO2/MWCNT ...
6 (A) Schematic illustration of the formation of core-shell-structured ...
TEM results under different magnifications of the core–shell structured ...
Figure 2 from Mesoscopic open-eye core–shell spheroid carved anode ...
A representation of a core–shell capsule with encapsulated PCM. Reused ...
Rational Integration of Carbon Nanotubes into Chain‐Engineered Bipolar ...
Core-shell structured electrocatalysts: (A and D) nanoparticles (B and ...
Hollow core–shell nitrogen-rich graphitic carbon as electrode materials ...
Sketch of a core-shell structure. | Download Scientific Diagram
Illustration of the core-shell model with the juxtaposition of the two ...
(a) Li-ion diffusion into a nano-size core-shell anode (b) Nomenclature ...
Figure 1 from A novel preparation of core-shell electrode materials via ...
Electrochemical study of the Ni(OH) 2 /RGO core-shell based electrode ...
(a) Schematics of a multistimuli-responsive core−shell nanorod ...
2Physics: Core-shell Hybrid Nanostructure Based High Performance ...
Table 1 from Core–shell structured Li–Fe electrode for high energy and ...
a Schematic of the LCTO@LCO core–shell structure and DFT-calculated ...
Schematic of a magnetoelectric core–shell NP The magnetoelectric ...
NiCo2S4 nanosheet/Co9S8 hollow nanoparticle derived from MOF ...
Synthesis of Synergistic Ni(OH)2@ZnO Core‐Shell Nanostructured ...
Electrochemical synthesis of core–shell nanoparticles by seed-mediated ...
(A) J–V characteristics of the Cu–Ag core‐shell electrode solar cells ...
(a) The synthesis of the core-shell Fe-N-C catalyst. (b) The membrane ...
Figure 1-1 from Au@Pt Core-Shell Nanoparticles as Solid Contacts in Ion ...
a) Schematic of the procedures for the fabrication of core–shell NR ...
Proposed mechanism of the negative electrode active material core–shell ...
Formation of electronic core–shell structures in (a) n‐type and, (b ...
Synthesis of core-shell structure precursors and schematic diagram ...