Showing 117 of 117on this page. Filters & sort apply to loaded results; URL updates for sharing.117 of 117 on this page
KS2 Computing Assessment Spreadsheet
Primary Computing Assessment - iCompute
Computing & ICT:: Assessment & Evaluation | PDF | Educational ...
Computing Assessment Framework | Teaching Resources
Computing Assessment Tasks | Download Interactive Primary Resources ...
Summative Assessment - Computing Systems - Y8 | PDF | Computer Data ...
Whole School Computing Assessment Framework | Teaching Resources
Computing Assessment Descriptors
Computing Self Assessment | Teaching Resources
Computing Assessment KS2 and KS1 Spreadsheet
Software Assesment - Introduction to computing assessment - Activities ...
9+ Skills Assessment Examples to Download
Operationalised academic computing assessment model | Download ...
Summative Assessment Examples
9+ Technology Assessment Examples to Download
How to Use Our Computing Assessment Packs - YouTube
Computers in Assessment | PDF | Educational Assessment | Computing
Cloud Computing Assessment | PDF
It and computing assessment | PPT
Computing assessment - "Education is not filling a bucket, but lighting ...
Assessment of Computing - Technology for Learners
Scientific Computing Assessment Form - Case Study
A draft Primary Computing assessment tool
Computing Skills Assessment Tool - Primary | Teaching Resources
Embedding accessibility in Computing Education: Examples from MSc ...
Computing – Paulet High School & 6th Form College
Computing Assessments - Year 4 | Teaching Resources
Computing: Topic Assessment Sheet | Teaching Resources
Primary Computing Assessments Framework. | Teaching Resources
Hands-On Assessment - How Computers Work Assessment | PDF | Computer ...
Basic Computer Skills Assessment 1407.pdf | DocDroid
Planning Computing - iCompute
Assessment - Computer Science | PDF | Pointer (Computer Programming ...
PPT - The Computer Skills Assessment Program PowerPoint Presentation ...
Computing Assessments Bundle: KS1+KS2 (Yr 1,2,3 & 4) | Teaching Resources
PPT - Enhancing Assessment through Computer-Based Innovations ...
Example Of Computer Based Assessment at Josephine Parks blog
Formative assessment in the computer science classroom
PPT - The Potential of Games & Simulations for Learning and Assessment ...
Formative assessment in the computer science classroom - Raspberry Pi ...
Computer Skills Assessment For Teachers | PDF | Educational Technology ...
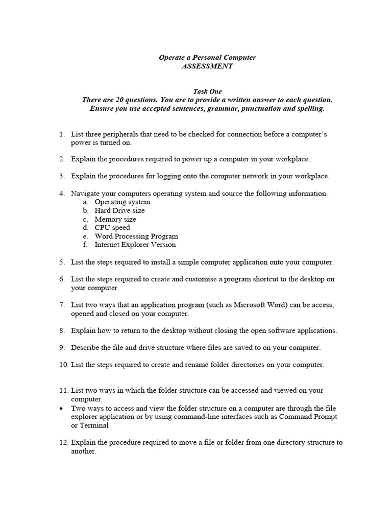
Operate A Personal Computer Theory Assessment | PDF | Computer File ...
KS3 Assessments Computing | Teaching Resources
Introducing Cloud Computing: Assessment Details & Student | Course Hero
Assessments | AT Computing
Task-based computer skills assessment test. Some sample questions ...
Know Your Computer Assessment | Learn with Ashaz
Assessment - Diane Pye
Assessment in Computer.docx
Assessment Example - Tech
BASIC COMPUTATION: Assessment & Practice by Strategic Teaching | TPT
Computer and Information System Coursework Assessment 202120 Course ...
Cyber Security Risk Register: Definition & Examples - Cyber Bunker
Computer Assessment Worksheet for Grade 2 | Learn with Ashaz
Dosage Calculation: PN Fundamentals Online Practice Assessment 3.0 Exam ...
Computer Skills Assessment - CAMPHUB
Quantum computing is a national priority, but who’s actually in charge ...
Computer Courses | Computing Training Courses Level 3 in Hetton-le-Hole ...
General 2 — Kathleen Rawlings
Computing-Assessment-Descriptor-Grid – Moseley Park
Basic Computer Skills Self Assessment-1 | PDF | Computer File | Window ...
ComputerUse Self Assesment | PDF | Computer File | Computer Program
How to Create a Student Feedback Collection Form at End of Course ...
7 Important Computer Skills: What Are Them And How to Assess ...
What is a Computer-Based Assessment?
Assessing our assessments: Paper vs. computer - Kappan Online
Recycling Poem Example
Sample Tasks For Computer Test | PDF
Science Fiction Writing Example Text
Comparing Simple and Compound Interest Worksheet
During year 4 Writing: Their Story Lesson 1: Unpack
During year 4 Writing: Their Story Lesson 3: Create
Schneider Electric, AVEVA and Royal Avebe Showcase Practical Example of ...
Senior Phase Maths - Term 1 - What Is a Variable? - Notes (CAPS Aligned)
Gr 4 English Fairy City Adjectives and Adverbs Booklet CAPS
Slam Poetry Powerpoint 3 - 6
Grade 7 Maths -Term 3 -What Is a Variable? - Notes - Sesotho
8+ SaaS Risks: Software as a Service Risks Today
MSPs Augment Cybersecurity Support Services | TeamLogic IT
7+ Linux Commands: Software Lab Sim 21-2 Guide
Prep: Disney Software Engineer Interview Questions & Tips
RGB Mouse Market Size and Key Trends 2026-2033 | Japan | South Korea ...
Crypto Trader’s Self-Reflection: “All My Friends Are Leaving—What’s ...
Top 8 Product Carbon Footprint Software in 2024
Intelligent Emergency Response Systems and Infrastructure (IRSI) Market ...
Learning Management System for Improving Workforce Growth
8+ Best Discrete Event Simulation Software Comparison Guide
Managing Cloud Waste as You Scale - BVigilant
Computer Assesment I QP | PDF | Method (Computer Programming) | Programming
Easy Measurement Conversion Guide & Math Calculator for Kids