Showing 120 of 120on this page. Filters & sort apply to loaded results; URL updates for sharing.120 of 120 on this page
Compound Interest (Exponential Growth) Project by Math Minds Marketplace
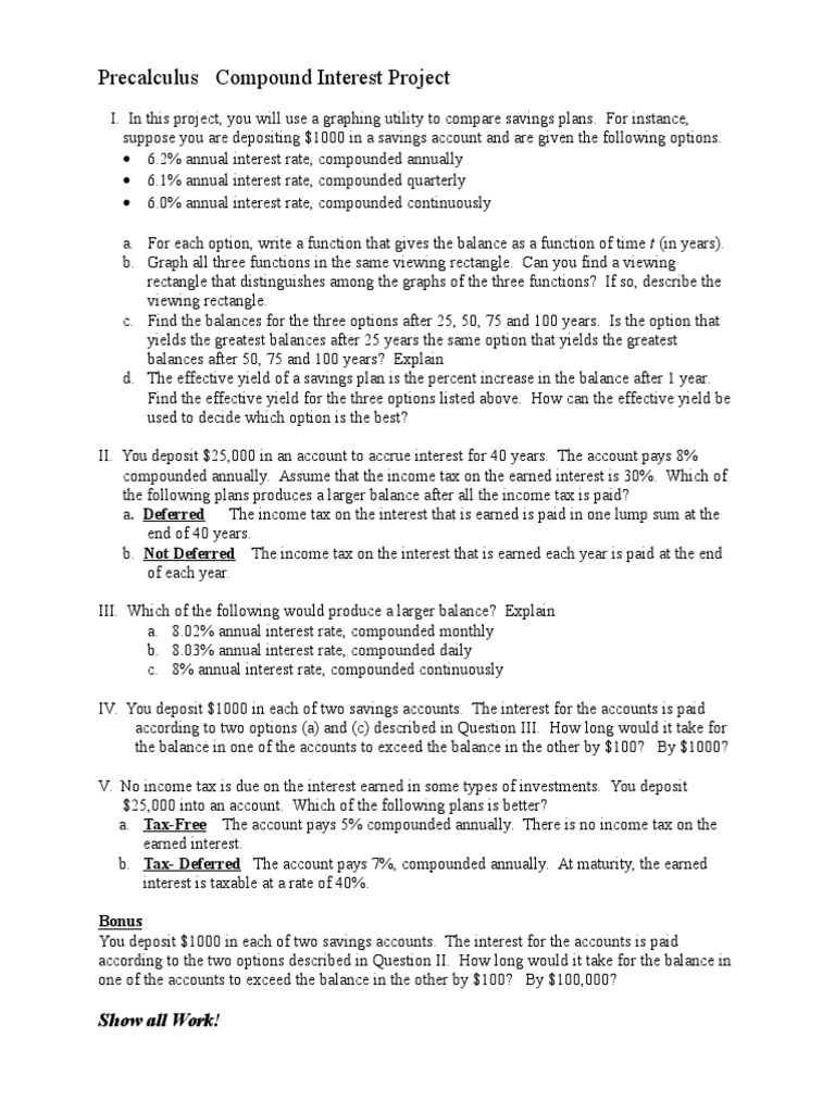
Compound Interest Project | PDF | Compound Interest | Interest
Compound interest project - Compound Interest Project By: Ana Briseno A ...
Simple and Compound Interest with Comparing Project Packet Activity 8.12D
Compound Interest Project by Sara Loveday on Prezi
Algebra 2 Compound Interest Project - Compound Interest Project Part I ...
Python Project - Compound Interest Calculator - Python Geeks
Solved MAT137: Compound Interest Project Goal: The goal is | Chegg.com
Percentages: Real-World Investment Portfolio & Compound Interest Project
Compound Interest Project College Loans EDITABLE | Financial aid for ...
Solved Compound Interest Project Applied Algebra II The goal | Chegg.com
Solved Compound Interest Project Pre-Calculus Goal: The goal | Chegg.com
Simple & Compound Interest Project by Angel Sarmiento on Prezi
Compound Interest Project by rosario hernandez on Prezi
Compound Interest Project | PDF | Interest | Compound Interest
Compound Interest Project by Santiago Colon on Prezi
Compound Interest Project College Loans EDITABLE by Education with ...
Compound Interest Project 2 - Compound Interest Project Math II Honors ...
project an - Compound Interest Project 1 If you invest $2500 in an ...
Compound Interest Project.pdf - Compound Interest Project Algebra II ...
Compound Interest Project by Joe Albrecht on Prezi
COMPOUND INTEREST - Compound Interest Project Goal: The goal is to use ...
Compound Interest Project.pptx - Compound Interest Project By Andres ...
Compound Interest & Smart Goals Savings Plan | Financial Literacy Project
The Bank Game Compound Interest Project by Mrs Malays Day | TPT
SOLUTION: Simple and compound interest project - Studypool
Compound Interest Project College Loans — Education with DocRunning
Compound Interest Project.pptx - Compound Interest Project Chico ...
Compound Interest Project by Isabella Ferretti on Prezi
Math Mini Project 1.pdf - Compound Interest Project Summary of Video: A ...
Simple & Compound Interest Project Pt.2 by Momo Pfaff
Project On Compound Interest | CBSE |ICSE | Project On Bank | Project ...
Compound Interest Project College Loans EDITABLE | College loans ...
Simple & Compound Interest Project by Momo Pfaff on Prezi
Solved COMPOUND INTEREST PROJECT The GOAL is to use compound | Chegg.com
Simple and Compound Interest Project by Madelyn Spitzer on Prezi
Simple vs. Compound Interest Investment Project | TpT
Personal Banking Project - Simple Interest vs. Compound Interest
Simple and Compound Interest Car Project by buenosDIAZmath | TPT
Banking Project with Compound Interest | TPT
Compound Interest and Exponential Growth Project Overview - YouTube
compound interest model #compoundinterest #schoolproject #mathstlm # ...
Compound Interest Anchor Chart: This is a quick visual representation ...
Compound Interest- Graphic Doodle Notes - Interest Formula for Finance ...
Compound Interest Calculator - Financial Tech Wiz
Compound Interest Interactive Notebook Page | Mrs. E Teaches Math
Compound Interest Chart
Understanding Compound Interest
How Compound Interest Works & How to Estimate It
Compound Interest Worksheet by Simple Math Worksheets | TPT
How to Work out Compound Interest on Savings: 14 Steps
Simple & Compound Interest Real-Life Project! by Miss Altieri's Classroom
PPT - Compound Interest PowerPoint Presentation, free download - ID:6787703
Mathematics Project- Compound Interest V/S Simple Interest - YouTube
Compound Interest Calculator
Understanding Compound Interest A Beginner's Guide
Results for logarithms compound interest | TPT
Compound+Interest+Project - Compound Interest Project-Certificate of ...
Compound Interest Project.pdf - Erika Mateo Math 001-120 October 2 2019 ...
Concepts of Simple & Compound Interest | ExamVictor
Compound Interest Visualization Walkthrough - YouTube
Understanding compound interest
Compound Interest Practice Worksheet Directions: Use the ... | Study ...
End Goal Compound Interest Calculator at Donald Stoltenberg blog
Compound Interest Calculator In JavaScript With Source Code - Source ...
Solved 5.4 & 5.5 Simple/Compound Interest Project 1. On | Chegg.com
Compound Interest Projection - VIP | PDF | Compound Interest | Interest
Compound Interest Calculator | Acorns
Compound Interest Formula Examples
Compound Interest
THE POWER OF COMPOUND INTEREST - Ozzie Small
Simple vs. Compound Interest Guide: Definitions and Formulas
Compound Interest (Definition, Formulas and Solved Examples)
Compound Interest Chart Compound Interest
Simple and Compound Interest | PDF | Interest | Compound Interest
Infographic: Compound Interest | Easy Peasy Finance for Kids and Beginners
Solved Q1. Draw flowchart to find the Compound interest on a | Chegg.com
Compound Interest Worksheets - Worksheets Library
Financial Decision Making with Compound Interest: Project | Course Hero
Compound Interest Calculator - Daily, Monthly, Yearly Compounding
Simple vs Compound Interest - YouTube
Simple and Compound Interest Worksheet (Interactive) | PDF | Interest ...
Blue Doodle Project Presentation 20241027 153149 0000 | PDF | Interest ...
Compound Interest Formula | PDF | Compound Interest | Interest
Student Tutorial: Compound Interest | Media4Math
How To Create Compound Interest Calculator In Excel - Design Talk
Compound Interest activity - Worksheets Library
Compound Interest Examples (Annually, Monthly, Quarterly)
The Power of Compound Interest: Calculations and Examples (2026)
Engineering / Project Management and Economy - part 1 using the ...
What Is Compound Interest? - The People's Federal Credit Union
About the Project | compound-interest-using-css-and-js
directions: for this project, you will be using the following compound ...
How Small Investments Make a Big Impact Over Time | Investing, Compound ...
What Is Compound Interest? - A Beginner's Guide
PPT - Mastering Compound Interest: Formulas, Examples & Strategies ...
The Power of Compound Interest: Calculations and Examples
How i teach the real number system classifying real numbers and closure ...
Excel Projects - MY E-PORTFOLIO
The Ultimate Goal: Financial Liberation – QuantsMate
A story about a graph (Part 1). How to make a Compounded Interests with ...