Showing 119 of 119on this page. Filters & sort apply to loaded results; URL updates for sharing.119 of 119 on this page
Compound Interest Table
Solved Compound Interest Table Find the simple | Chegg.com
SOLUTION: Appendix amount at compound interest table - Studypool
Continuous compound interest table - ndeterra
COMPOUND INTEREST: COMPLETING THE TABLE - YouTube
Online compound interest table - resourceopl
Solved Use values from the compound interest table to find | Chegg.com
Compound Interest Table Derrick Li On X: "just Found My Old Altimeter
Compound Interest Table PDF | PDF
Compound Interest Table | PDF
Solved Use the table to find both the compound amount and | Chegg.com
Interest Table - APPENDIX C COMPOUND INTEREST TABLES 275 Financial ...
How To Make Compound Interest Table In Excel - Infoupdate.org
Solved Use the compound interest table on p. 26 to complete | Chegg.com
Solved Compound interest TableUse the table to find both the | Chegg.com
A About Compound Interest - About Compound Interest TABLE OF CONTENTS ...
Complete the table using the formula for compound interest, if the intere..
Compound Interest Factors Table
Best Trick for Compound Interest | Table Trick for CI | How to Find ...
How We Decide n in Compound Interest Rate Table When Annual Expenses ...
The Compound Interest Periodic Table of Data – New Elements Update!
Solved Table 1 - Compound interest table for i=5%18. The | Chegg.com
Compound Interest Factor Table | PDF
Solved TABLE 11-1 Compound Interest Table (Future Value of | Chegg.com
Compound Interest Table: A Powerful Investment Tool
Compound Interest using compound interest tables
Compound Interest Tables - Lecture Notes | ECE 492 - Docsity
Compound Interest รีรัน – Akajon.com
Compound Interest | PPT
Compound Interest Tables | PDF | Compound Interest | Business Law
PPT - Chapter 9 Compound Interest PowerPoint Presentation, free ...
What Is Compound Interest Calculator - Infoupdate.org
Compound Interest Tables-part-3 - 574 COMPOUND INTEREST TABLES 6% ...
What is Compound Interest? | REtipster.com
Solved Find the simple interest. Then use the compound | Chegg.com
Compound Interest Tables Overview | PDF
Compound Interest Calculator [with Formula]
SOLUTION: Best in compound interest tables - Studypool
Compound Interest Calculator With Monthly Contributions Excel ...
Compound Interest Tables: Appendix | PDF | Infinity | Compound Interest
Compound Interest Tables | PDF
Compound Interest Tables: Values of Interest Factors, Single | Course Hero
Compound Interest Tables - Compound Interest Tables APPENDIX B 559 ...
Compound Interest Tables: Factors for Infinite Time - Single | Course Hero
Infinite Compound Interest Tables | PDF | Infinity | Logic
Using Compound Interest Tables | PDF | Interest | Present Value
Compound interest tables - asequity
Compound interest rate tables - professionalupf
PPT - Mathematics of Compound Interest PowerPoint Presentation, free ...
Solved APPENDIX C: COMPOUND INTEREST TABLES 613 10% 10% n | Chegg.com
Simple and Compound Interest — How Do They Differ? - Articles
Essential Compound Interest Tables for Financial Calculations | Course Hero
Compound Interest Chart
SOLUTION: Compound interest tables - Studypool
“It Is All About Compound Interest, Brother” - Your Survival Guy
Financial Calculator Compound Interest Daily at Terry Hanson blog
Compound Interest Tables Overview | PDF | Science & Mathematics
Monthly Compound Interest Loan Calculator at Laura Strong blog
Compound Interest Tables - Appendix B - Studocu
What Is Compound Interest Calculator In Excel - Infoupdate.org
Compound Interest Factor Tables | PDF | Interest | Financial Accounting
Compound Interest Calculator Template
Compound Interest Calculator
Solved Compound Interest TableCompound Interest TableBull | Chegg.com
Compound Interest Factor Tables | PDF | Interest | Financial Services
Compound Interest Calculator для Android — Скачать
Compound Interest Tables - fasrplaces
Compound Interest Chart Calculator - Infoupdate.org
30 - Compound Interest Tables 1 | PDF
Compound Interest Tables-1 - Engineering Economics - Studocu
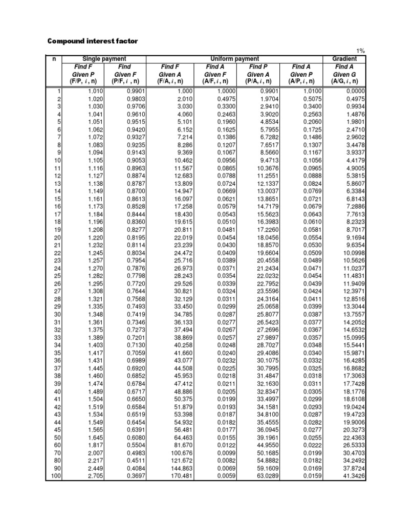
What is meant by F, P, A, G in Compound Interest tables - Learnexams
APPENDIX C: COMPOUND INTEREST TABLES 613 | Chegg.com
Compound interest rate tables - nolfwedding
Interest Tables - t : I ;, I Compound Interest Tables Values of ...
(Solved) - What is meant by F, P, A, G in Compound Interest tables ...
Ready-To-Use Compound Interest Calculator Template - MSOfficeGeek
Solved: Solve The Following Problems Using Either Tables 1... | Chegg.com
Compounding
GitHub - VasudevJaiswal/Compound-Interest-Table
personal finance decisions - mathoer.net
Free Fixed Investment Templates For Google Sheets And Microsoft Excel ...
Financial Management and Accounting Fundamentals For Construction 2009 ...
Compounded interest explained - Online Calculator