Showing 120 of 120on this page. Filters & sort apply to loaded results; URL updates for sharing.120 of 120 on this page
complex Integration questions|| Cauchy integral questions - YouTube
(PDF) Some questions of integral complex geometry
integration - solving integral with complex analysis - Mathematics ...
Solved Calculate the following integral using complex | Chegg.com
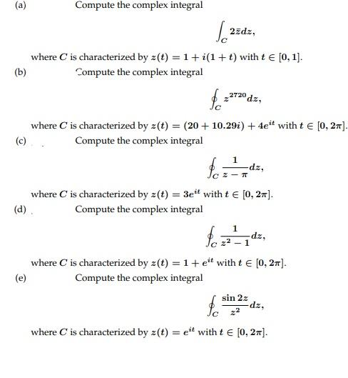
Solved 2720 dz, (a) Compute the complex integral 1.2 2źdz, | Chegg.com
Calculus 2: Complex Numbers & Functions (28 of 28) The Integral Complex ...
Solved 5. (a) Transform the Real integral into a complex | Chegg.com
Solved i. Transform the Real integral into a complex | Chegg.com
Complex Integrals PDF | PDF | Complex Analysis | Integral
Evaluate the following integral using complex | Chegg.com
Solved Evaluate the complex integral ∫γzez dz and use this | Chegg.com
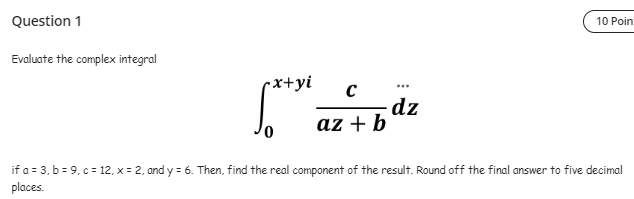
Solved Evaluate the complex integral ∫0x+yiaz+bcdz if | Chegg.com
Solved (a) i. Transform the Real integral into a complex | Chegg.com
Integral Calculus Practice Questions with Solutions | Course Hero
Solved Evaluate use complex integral methods(cauchy's | Chegg.com
Complex line integral formula : r/askmath
differential equations - How to solve the following complex integral ...
Complex Integration - Important | PDF | Integral | Mathematics
SOLUTION: Complex line integral_Complex variables Intergrals questions ...
Solved Solve the complex integral ∫∣z∣=7z(z−5)41dz | Chegg.com
PPT - Chapter 4 Integrals Complex integral is extremely important ...
Complex Integral | PDF
Quick question on complex integral - Mathematics Stack Exchange
Chapter 4 Integrals Complex integral is extremely important
Complex Integral || Complex Analysis || How to solve integral using ...
Solved 1. Using ONLY the definition of complex integral | Chegg.com
Solved Complex integral already solved, please explain with | Chegg.com
Solved: Solving a complex integral equation. - HP Support Community ...
SOLUTION: Complex integration Questions and Answers - Studypool
quantum mechanics - Difficulty evaluating a complex integral on ...
Solved MEI AS Further Mathematics Complex numbers integral | Chegg.com
Solved In Problems 13-28 determine the complex integral | Chegg.com
Equations co4 Evaluate complex integrals using Cauchy's integral theorem
SOLUTION: Complex integration model questions with answer maths - Studypool
complex analysis - An example of Cauchy's Integral Formula ...
equations CO4 Evaluate complex integrals using Cauchy's integral theorem
MCQ Complex Integral Bsc 6th Sem Maths Complex Analysis Multiple Choice ...
Complex Integrals | Integral | Algebra
integration - Integral of complex questions? - Mathematics Stack Exchange
Solve the definite complex integral \int _ { 8 + 3 \pi i } ^ { 8 - 3 \pi
integration - Computing Complex Line Integrals - Mathematics Stack Exchange
Solved Applications of complex integration: Solutions to | Chegg.com
Solved 5. (a) Evaluate the complex integral: | Chegg.com
How to Solve Complex Integrals with Step by Step Explanations
Solved (a) Evaluate the complex integral: | Chegg.com
Complex Integration
Solved Find the following complex integrals c. ∫γ(z2+1)dz, | Chegg.com
Solved 4-(1). Estimate the complex integrals)≤t≤(24-(2). | Chegg.com
Solved 1. Calculate the following complex integrals (1) | Chegg.com
Solved Complex Definite Integral: explain your steps and | Chegg.com
Solved [10 pts] Problem 7. Complex Integration. Given: You | Chegg.com
Solved Complex Integrals ?(())Use the path-independence | Chegg.com
Solved Problem 4 (10). Integration of Complex Functions. DO | Chegg.com
Solved (10 pt) Evaluate the following complex integrals. a) | Chegg.com
Solved Evaluate the following complex | Chegg.com
Unit iv complex integration | DOCX
Solved COMPLEX ANALYSIS Evaluate the following integrals: | Chegg.com
Integral Calculus Problems
Solved Exercise 2-3: Evaluate the complex integrals: (1) | Chegg.com
Solved INTEGRATION IN COMPLEX VARIABLES, Solve problem (18) | Chegg.com
Solved Evaluate the following real integrals using complex | Chegg.com
Solved (b) Evaluate the complex | Chegg.com
Complex Integration Important questions| complex Analysis lec 13 - YouTube
Solved 1. Evaluate the following complex integrals by any | Chegg.com
[Solved] Hi! I am wondering whether this integral solvable by using ...
Evaluate the following complex integral: \oint_{|z|=2} \frac{z-3 \cos z}..
Solved 4. (20') Calculate the following complex integrals: | Chegg.com
Solved [10 points] Question 3) Compute the following complex | Chegg.com
Evaluate the following complex integrals: Evaluate \oint_C z \cdot e^{z^..
Week5Lecture1: Complex integration - YouTube
Complex Integrals Tutorial Guide | PDF
T4. Complex Integration Example 1 - YouTube
Solved Problem4,In Problems 1-16 determine the complex | Chegg.com
Solved Complex Analysis Contour integration problems | Chegg.com
Complex Analysis L12: Examples of Complex Integrals - YouTube
Complex Integration Examples & Problems
Solved Compute the following integrals using complex | Chegg.com
Definite Integration JEE Questions PDF with Solution, Practice Now
Solved 5. Evaluate the complex integrals: ∫C[Im(z)+∣z∣2]dz | Chegg.com
Solved Calculate the following integral, using the complex | Chegg.com
Solved This is a complex analysis question, cannot use | Chegg.com
Definite integral x^2
SOLVED: Problem 2: Evaluation of definite integrals using complex ...
class12 ISC Maths Important Questions Chapter Integration Definite ...
Chapter11 MCQ Complex Integration | PDF
Solved Problem 7 Complex integrals: Calculate ∫0∞e−tcos(t)dt | Chegg.com
Calculus II (Integration) Solved Questions and Answers - 11494
Solved In Problems 1-20 determine the following complex | Chegg.com
Solved 4. Compute the following complex line integrals: (a) | Chegg.com
Definite Integral Worksheet
Visualizing and solving Complex Integrals.pptx
Solution of indefinite Integral Most Important Long Question Bsc ...
Complex integration - Mathematics - Assignment - Teachmint
Solved The purpose of this problem is to review complex | Chegg.com
Indefinite Integrals 20 Questions & Solutions - Calculus 2 Printable ...
calculus - Evaluating Complicated Definite Integral Problem ...
Solved Can you calculate these complex integrals with | Chegg.com
Complex Integration Guide | PDF
Solved Question 120%Complex Integration (20 Marks)Using the | Chegg.com
|Complex Integral| Maths Simplified| Concept through Question| - YouTube
Solved Integrals
Solved Dear expert of advanced mathematics kindly solve this | Chegg.com
Indefinite Integrals Solved Problems
Definite Integration JEE Mathematics MCQs Set A with Answers
Solved Compute the following integrals: Calculus 2 | Chegg.com
Solved 9. Solve for a in the triple integral. | Chegg.com
Chapter2-Complex Integrals | PDF | Analytic Function | Function ...
Calculus : 30 Challenging Integration Problems with Detailed Solutions
Solved 1. Evaluate each of the following integrals of a | Chegg.com