Showing 120 of 120on this page. Filters & sort apply to loaded results; URL updates for sharing.120 of 120 on this page
(PDF) The complex SEE integral transform of error function
Solved Error function can be expressed in both integral form | Chegg.com
Copilot and the Complex Error Function on Integration
(PDF) More efficient computation of the complex error function
integration - Integral of product of error function and Gaussian ...
Error Function Integrals Guide | PDF | Integral | Discrete Mathematics
(PDF) Fast computation of complex error function of the real argument
(PDF) Accurate Approximations for the Complex Error Function with Small ...
(PDF) © The complex integral transform complex Sadik transform of error ...
Complex argument error function (CAEF) e . | Download Scientific Diagram
Complex Integration: Line Integral of A Complex Function | PDF ...
Solved Evaluate the given integral of the complex function | Chegg.com
(PDF) Computation of the Complex Error Function Using Modified ...
Figure 1 from Accurate approximations for the complex error function ...
Figure 1 from Computation of the Complex Error Function using Modified ...
Error function{Chapter 15 - Error function Integral Transform Method ...
Solving a tricky integral with the error function | by Martin McBride ...
calculus and analysis - Error complex function ERFI(X): looking for ...
Integral Introducing the Error Function - YouTube
Error Function and Fresnel Integrals Tables | PDF | Differential ...
Eddie's Math and Calculator Blog: Integrals with the Error (erf) Function
Chapter 4 Integrals Complex integral is extremely important
Lecture No 3 ERROR FUNCTION (INTEGRAL CALCULUS) - YouTube
Calculus 2: Complex Numbers & Functions (28 of 28) The Integral Complex ...
On the Highly Accurate Evaluation of the Voigt/Complex Error Function ...
Solved 1.3 Asymptotic expansion of error function [k] The | Chegg.com
Complex Integral | PDF
Solved 3- Write the formula or error function and | Chegg.com
Q function and Error functions : demystified - GaussianWaves
Gaussian distribution integral approximations and relative error ...
Error function - Wikipedia, the free encyclopedia
Complex line integral formula : r/askmath
SOLUTION: Integral of complex functions - Studypool
Error function - Wikipedia
Integration along a curve . Given a complex function | Chegg.com
Solved 78. Error function The function erf(x)=∫0xπ2e−t2dt | Chegg.com
Solved Problem 3:The error function and some useful | Chegg.com
The Error Function - YouTube
Complex Integrals | Integral | Algebra
A sampling-based algorithm for the Voigt/complex error function - File ...
integration - solving integral with complex analysis - Mathematics ...
Error function solved examples - YouTube
Error Function Calculator - high precision erf(x) and erfc(x)
DLMF: §7.18 Repeated Integrals of the Complementary Error Function ...
How to Integrate a Real Function with Complex Analysis - YouTube
Cauchy's Integral Formula: Solving Complex Integrals with cos(πz)/(z²-1 ...
Computing of Voigt/complex error function with small y - File Exchange ...
PPT - Chapter 4 Integrals Complex integral is extremely important ...
The Gauss error function erf(x) = (2)/(√(π))∫0^x e^-t^2 dt is used ...
Integration contour of the complex function f E,d (κ) in the complex ...
Solved What is the absolute error if the integral below is | Chegg.com
Integral with Complex Exponentials - Example 1 - YouTube
Integration error when approximating an integral by means of ...
In MATLAB, use function: function (erf_trapezoid, | Chegg.com
How to Solve Complex Integrals with Step by Step Explanations
Complex Integration Complex integrals are basically line integrals
Evaluating real integrals using complex functions - YouTube
Chapter2-Complex Integrals | PDF | Analytic Function | Function ...
Solved Problem 4 (10). Integration of Complex Functions. DO | Chegg.com
Evaluate the integral that given Y=\frac {1}{\sqrt (2\pi}e^{-x^2/5} Y=0 ...
GraphicMaths - The imaginary error function, erfi
PPT - Complex Variables PowerPoint Presentation, free download - ID:5579143
integration - Computing Complex Line Integrals - Mathematics Stack Exchange
Error Function: Simple Definition, Table of Values - Statistics How To
Introduction to Complex Analysis: Functions, Integrals, Series ...
T4. Complex Integration Example 1 - YouTube
Error function: Introduction to the probability integrals and inverses
Visualizing and solving Complex Integrals.pptx
Complex Calculations: A Guide to Excel’s IM Functions
Use numerical methods to approximate integrals and determine error ...
Complex Erf (Error Function), Fresnel Integrals - File Exchange ...
Complex Integration
Solved 1. Numerical integration: Error functions 20 points | Chegg.com
Engineering Analysis-Integration of Complex Functions Lecture5 - YouTube
python - How do I do an Integration of the real part of a complex ...
Complex analysis - Wikipedia
SOLVED: 5: For the integral below: x ln (x + 1) dx 0.5 i: Use the ...
Module 4 - Complex Analysis.INTEGRATION OF COMPLEX FUNCTIONS | PPTX
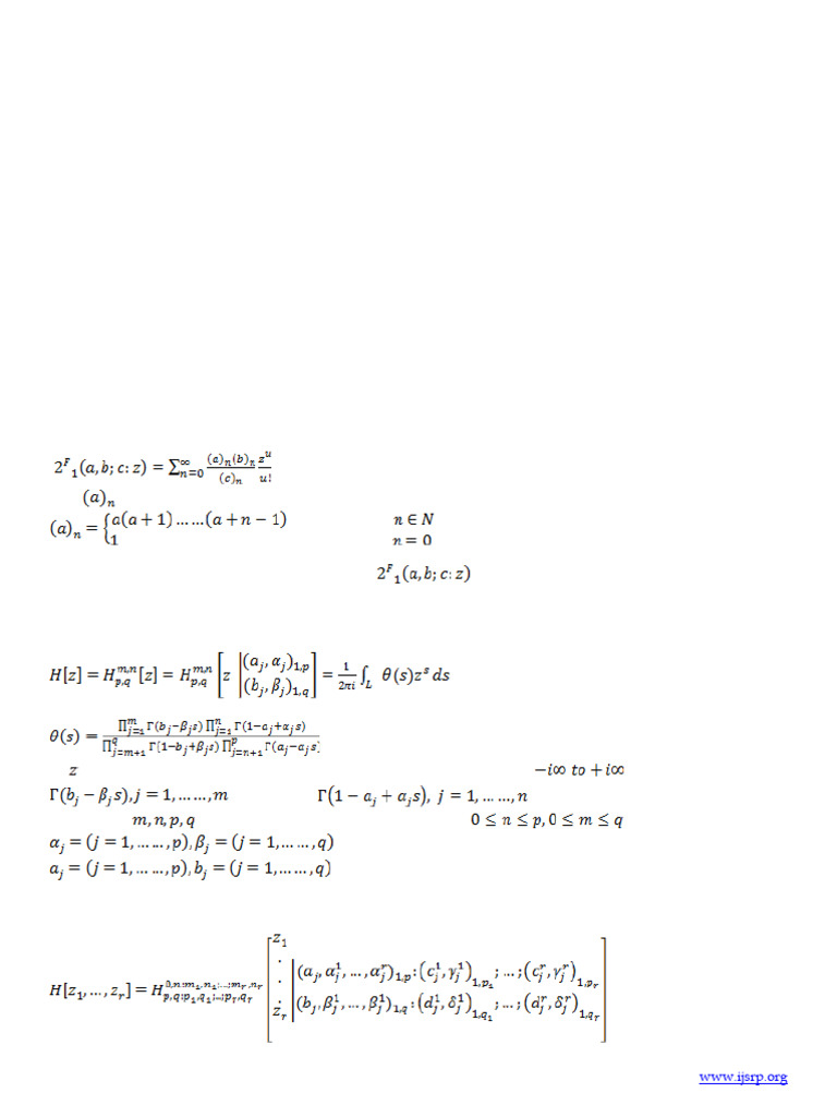
Integrals Involving H-Function of Several Complex Variables | PDF ...
Solved COMPLEX ANALYSIS Evaluate the following integrals: | Chegg.com
Modulus of complex error. | Download Scientific Diagram
(PDF) A new procedure for obtaining the Voigt function dependent upon ...
Complex Integrals, Part 2: Complex-valued functions of a real variable ...
Solved express the following integrals in terms of the error | Chegg.com
Derivatives and integrals of complex functions w(t) - YouTube
PPT - Advanced Statistical Analysis: Regression, ANOVA, and Generalized ...
Special functions | PDF
What Is Erfc In Math.h at Sandra Slavin blog
(PDF) Efficient Numerical Algorithms for Multi-Precision and Multi ...
Mathematics | Free Full-Text | On the Highly Accurate Evaluation of the ...
Visions of Mathematics: Gaussian integrals and some integrals
PPT - 13.4. Sterling’s Series Derivation from Euler-Maclaurin ...
A Two-Domain MATLAB Implementation for Efficient Computation of the ...
[PDF]Toán Kỹ Thuật - Đh Bách Khoa Hcm - Ts Lê Minh Cường - Ch8_Complex ...