Showing 120 of 120on this page. Filters & sort apply to loaded results; URL updates for sharing.120 of 120 on this page
Copilot and the Complex Error Function on Integration
GraphicMaths - The erf function
(PDF) More efficient computation of the complex error function
ERF Function in Google Sheets: Step-by-Step How To Guide - Sheetaki
Fast Complex Error Function and Faddeeva Function
(PDF) Accurate Approximations for the Complex Error Function with Small ...
(PDF) Computation of the Complex Error Function Using Modified ...
Complex argument error function (CAEF) e . | Download Scientific Diagram
(PDF) Efficient Computation of the Complex Error Function
calculus and analysis - Error complex function ERFI(X): looking for ...
What does a complex function look like? #SoME3 | Deniz Diktas
Error Function Erf Table
Complex Function Mapping Theory and Examples (GATE ) For the function ...
ERF Error function calculator and graph - MedCalc Manual
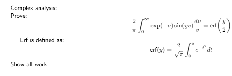
Solved Complex analysis: Prove: Erf is defined as: Lº expl") | Chegg.com
pgfmath - Erf function in LaTeX - TeX - LaTeX Stack Exchange
Complex Erf (Error Function), Fresnel Integrals - File Exchange ...
The Complex Exponential Function – GeoGebra
DPlot ERF function
How to Use the ERF Function in Excel: A Step-by-Step Guide
How Do I Use The ERF Function In Excel?
The error function erf ( s/d ), here plotted with d = 2, is a smoothed ...
Frontiers | ERF subfamily transcription factors and their function in ...
Error Function Calculator - high precision erf(x) and erfc(x)
Q function and Error functions : demystified - GaussianWaves
Erf -- from Wolfram MathWorld
Error function - Wikipedia
The ERF and ERFC functions for statisticians - The DO Loop
Solved 1.3 Asymptotic expansion of error function [k] The | Chegg.com
On the Highly Accurate Evaluation of the Voigt/Complex Error Function ...
Eddie's Math and Calculator Blog: Integrals with the Error (erf) Function
Error function - Wikipedia, the free encyclopedia
Q and erf functions | PDF
Computing of Voigt/complex error function with small y - File Exchange ...
A sampling-based algorithm for the Voigt/complex error function - File ...
DPlot ERFC function
(PDF) Reconstruction: Rational Approximation of the Complex Error ...
SOLVED: SITUATION 2 The error function erf(a) is defined as er f (a) JG ...
The Voigt/complex error function (second version) - File Exchange ...
(PDF) A new procedure for obtaining the Voigt function dependent upon ...
The complex point αˆnαˆn represents the real disk D(αˆnαˆn) tangent to ...
Taking the error out of the error function
2: Error function erf(x) and complementary error function erfc(x ...
Error Function Calculator Erf(x)
Error function | Detailed Pedia
Help Online - LabTalk Programming - Erf
Mastering the Power Function in Matlab: A Quick Guide
How to Use ERF() function in Google Sheets · Better Sheets
ERF Function: Definition, Formula Examples and Usage
Complementary error function
Solved Consider the error function erf(x):[0,∞)→R | Chegg.com
Solved The Error Function erf(x) is defined for real numbers | Chegg.com
Solved Complementary Error Function erfcx=1−erfx=π2∫x∞e−t2dt | Chegg.com
complex analysis - Calculating $\text{erf}^{-1}(z)$ for $z\in\mathbb{C ...
Error function
Solved The error function, erf (x), which occurs in a number | Chegg.com
Error Function Erf(x) Calculator
Normalized connected part of 6-pt function of Erf-net, ReLU-net and ...
What Is Erfc In Math.h at Sandra Slavin blog
Functionality of each coefficient in equation 2. Coefficient a is to ...
GraphicMaths - The imaginary error function, erfi
Documentation/Calc Functions/ERF - The Document Foundation Wiki
PPT - Advanced Statistical Analysis: Regression, ANOVA, and Generalized ...
PPT - EE 447 Mobile and Wireless Communications Fall 2006 Outdoor ...
MATHFUNC
Erf—Wolfram Language Documentation
Structural dynamics of the eRF1-eRF3 complex. (A) Conformation of the ...
(PDF) On the Highly Accurate Evaluation of the Voigt/Complex Error ...
PPT - DIFFUSION IN SOLIDS PowerPoint Presentation, free download - ID ...
Special functions | PDF
erf, erff, erfl, erfc, erfcf, erfcl | Microsoft Learn
Logarithms of relative error for the real a) and imaginary b) parts of ...
Error Functions - 1.36.0
(PDF) A Single-Domain Implementation of the Voigt/Complex Error ...
Visions of Mathematics: Gaussian integrals and some integrals
Plot of erf(φ) + 1; argument φ L is highlighted. | Download Scientific ...
Excel ENGINEERING Functions; 50++ Functions: 8 Methods - ExcelDemy
erf-function and Q-function | Download Scientific Diagram
Solved The error function, erf(x), is defined by the | Chegg.com
Erfi -- from Wolfram MathWorld
WorksheetFunction.Erf method (Excel) | Microsoft Learn
(PDF) On the very accurate evaluation of the Voigt/complex error ...
Solved The error function, erf(x), is defined as erf(x) = | Chegg.com
Documentation/Calc Functions/ERF.PRECISE - The Document Foundation Wiki
nglos324 - errorfunction