Showing 68 of 68on this page. Filters & sort apply to loaded results; URL updates for sharing.68 of 68 on this page
49 Complement system alterations in hepatocellular carcinoma (HCC ...
Build a LinkedIn Content System with Scriptos.ai
2017 GMC 1500 SLE in Payson, UT | KSL Cars
The complement system: The driving force behind a new generation of ...
FDA approves AstraZeneca’s Saphnelo for SLE
How 5 Whys & Ishikawa Complement Each Other | CheckProof
Amazon.com: Complement Spray líquido vegano de vitamina triple B12 ...
1988 GMC Sierra SLE 1500 V1.0 – FS25.net
Neuropsychiatric Lupus: SLE and the Brain
One's (1's) Complement Calculator
Type: GMC Yukon XL Class: SLE / SUV 2015 155,000 KM V8 | 70000 QAR ...
New 2026 GMC Sierra 1500 SLE Crew Cab in Smithville # | Victory Auto Group
BMW iX5 Hydrogen Flat Storage system boosts range to 750 km
How Do Energy Storage Solutions Complement Renewable Energy to Further ...
Object Of Complement - All For One
Whistler tests Canada's first avalanche-control drone system
How the C-17 Globemaster's radar warning system protects crews during ...
We offer several mica stone garage floor coating system series, but our ...
Mahindra Scorpio 2009-2014 SLE BSIV, 2014, Diesel - Cars in Madhapur ...
Lupus and Kidney Damage: Understanding the Causes and Risk Factors ...
Amazon.com: SLE-TECH Universal Chromebook Charger USB C 65W Compatible ...
Lupus: What It Is, Symptoms, Causes & Treatment
Quel Est Le Meilleur Complément Pour Le Système Nerveux Profond
The Invasin and Complement-Resistance Protein Rck of Salmonella is More ...
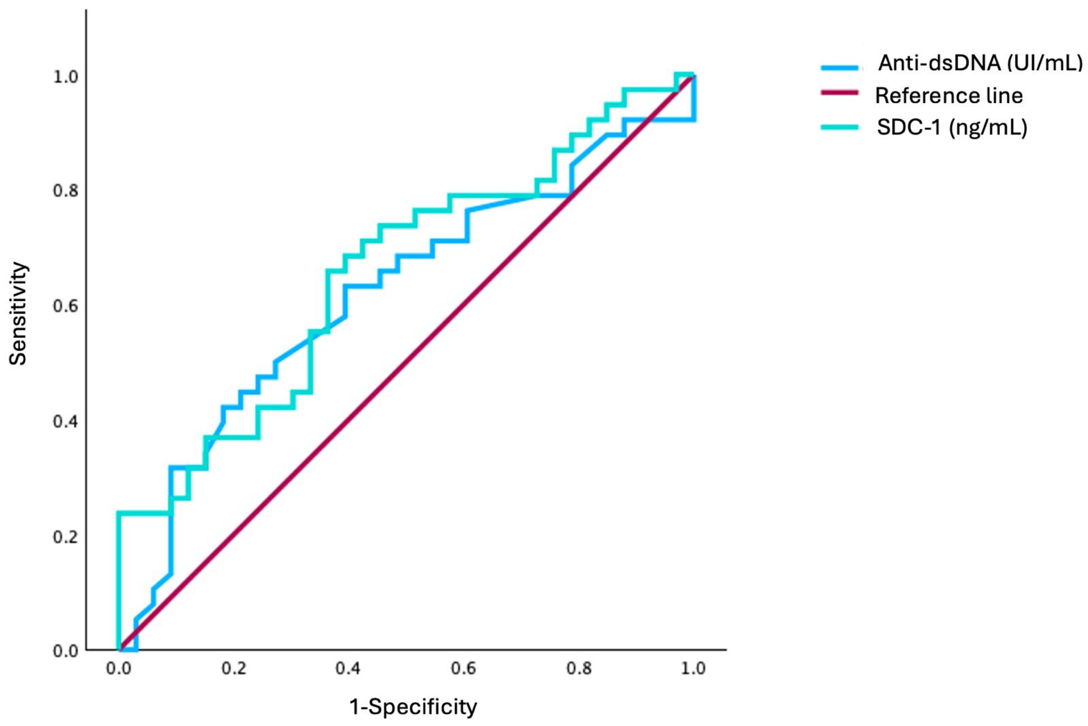
Elevated Serum Soluble Syndecan-1 Is Associated with Lupus Nephritis ...
Lupus in the News: A recent... - Kaleidoscope Fighting Lupus | Facebook
Tumid lupus: Causes, symptoms, and treatment
LUPUS Awareness | What is the strangest symptom you get from Lupus ...
Belmont's Maya Johnson overcame lupus to reach college softball stardom ...
AI meets lupus research for targeted breakthroughs
dragon lines slot
Primary immunodeficiencies (PID) Clinical Update - Australasian Society ...
Browns updated WR depth chart: KC Concepcion, Denzel Boston, a perfect ...
From unseen to empowered: One woman’s lupus journey
Sjogren’s Disease Support | Does anyone have Sjogren's disease ...
Bemis 1955CT 000 White Elongated Plastic Toilet Seat with Stay·Tite ...
Le Saphnelo d'AstraZeneca approuvé en auto-administration aux USA pour ...
Inflammation Key To Ageing – London Daily Digital
Validity and applicability of machine learning models for systemic ...
Systematic review of culture-confirmed septic pericarditis in systemic ...
Hormonální jógová terapie pro imunitní systém (dumjogypribram.cz)
MTLE Blood BANK Rapid Questions - MTLE BLOOD BANK RAPID QUIZ ABO Which ...
A novel humanized cutaneous lupus erythematosus mouse model mediated by ...
I believe the Jet Sweep is an offensive play you can run as a part of ...
Nobel Prize Breakthrough in Autoimmune Science | Ashish Kumar T. posted ...
What Are Basic Mindfulness Exercises Effective for Eco-Anxiety? → Learn
Ole Miss' Pete Golding on Deuce Knight, Walker Howard in backup QB race
Roheemura - Gattai!!! Myth Megazord ready to action!! The 'combination ...
ITNest Solution | Innovation & Excellence
Milan, double week: design as global industry, art as domestic eco
Rescuers fully shut down I‑264 East as brush fire engulfs lanes near ...
Universal Credit Boost? £28 Weekly Payment Sparks UK-Wide Rollout Calls
School extension moves closer, with official approval