Showing 119 of 119on this page. Filters & sort apply to loaded results; URL updates for sharing.119 of 119 on this page
Solved 1's Complement Addition Using 1's complement numbers, | Chegg.com
2's Complement Addition and Subtraction - YouTube
1.2.12 Worked Examples: Two's Complement Addition - YouTube
1's Complement Addition | PDF
2's Complement Arithmetic Explained: Addition & Subtraction for ...
PPT - Section 11.4 Addition and Complement Rule PowerPoint Presentation ...
Addition of 1's Complement Numbers
Math 196 Section 8 2 Addition Principle and Complements for Probability ...
Solved Perform each addition in the 2's complement form: - | Chegg.com
Addition in 2's Complement System - YouTube
Activity 3 Addition of twos complement numbers Complete
C1 P3 4 Signed Addition - Subtraction With Complement | PDF ...
Solving Addition Law with Complements | Law of Complement ...
SOLVED: Prove that in a 2's complement number system, addition ...
1's Complement Addition Calculator Online
Solved (2's Complement Addition and Subtraction) Perform | Chegg.com
7-3 Addition Counting Principle Mutually Exclusive and Complement.docx ...
Complement and Addition Rules for probability - YouTube
5.2 Lecture - Section 5 Spring 2022 Complement and Addition Rules ...
LC03 STA.pdf - STA 2023 | Lesson 3: Complement and Addition Rules ...
PPT - 15.2 – The Multiplication, Addition, and Complement Principles ...
Combinatorics, Multiplication, Addition, Complement Principles
10's Complement (Addition and Subtraction) - YouTube
Stats: The Addition Rule and Complements (Probability) - YouTube
(PDF) Complement Method
Mth120 5.2 The Addition Rule and Complements - YouTube
Principle of complementarity | PPTX
2S Complement Addition: Step-by-Step Guide with Examples
Two’s complement | PPT
Lesson 7: Abacus Addition With 5-Complement – Abacus Soroban Tutorial
(PDF) Children's understanding of the addition/subtraction complement ...
Addition Complements 0009 All | PDF | Teaching Mathematics
Complement Addition: Examples - YouTube
PPT - Addition and multiplication PowerPoint Presentation, free ...
Understanding the Addition Rule and Complements | Course Hero
AdvPreCalc: 15-2 - Multiplication, Addition, and Complement Principles ...
The Complement System Made Easy | Interactive Biology, with Leslie Samuel
Complements - Addition & Subtraction - Digital Slides
Counting - The Complement Rule - YouTube
Introduction Addition of 10 's Complements|Addition of 10's complements ...
Solved A. 14 (Addition with Twos Complement Numbers) | Chegg.com
PPT - Counting Principles Addition & Multiplication PowerPoint ...
complement fixation test.pptx
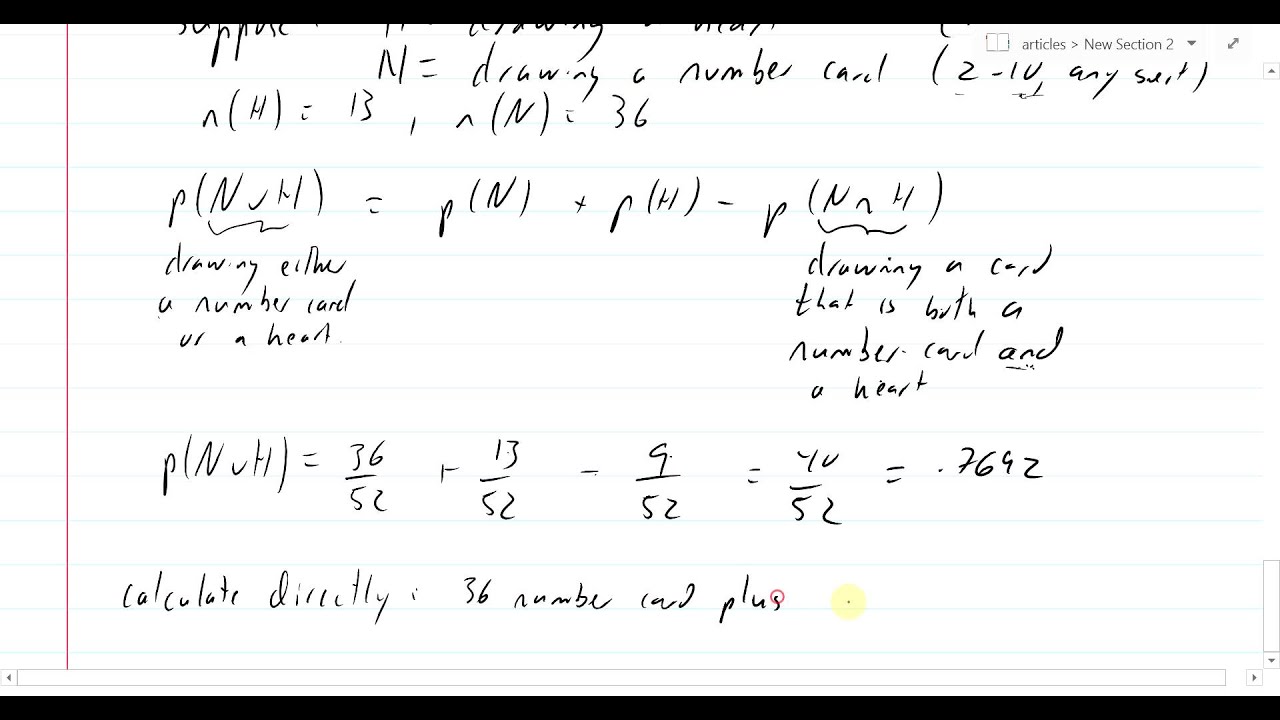
How to Use the Complement Rule in Statistics
Complement Rule: Key Examples Explained
SOLUTION: Binary addition using 2 s complement1 - Studypool
Understanding Addition Rule and Complements in Probability | Course Hero
Video: Complement system | Osmosis
PPT - Prof EL-HENAWY Discrete Structures PowerPoint Presentation, free ...
PPT - Arithmetic PowerPoint Presentation, free download - ID:2417819
PPT - Chapter 15: Combinatorics PowerPoint Presentation, free download ...
PPT - Understanding Set Operations: Union, Intersection, and More in ...
Instructor: Alexander Stoytchev - ppt download
PPT - SLIDES FOR CHAPTER 1 INTRODUCTION NUMBER SYSTEMS AND CONVERSION ...
EE207: Digital Systems I, Semester I 2003/ ppt download
PPT - Exploring Counting Methods: A Comprehensive Guide to Systematic ...
PPT - Principles of Computer Architecture Miles Murdocca and Vincent ...
PPT - CHAPTER 2 Counting PowerPoint Presentation, free download - ID:251582
PPT - Numbers & Arithmetic PowerPoint Presentation, free download - ID ...
PPT - CS61CL Machine Structures Lec 6 – Number Representation ...
ECE 171 Digital Circuits Chapter 2 Binary Arithmetic - ppt download
Lecture 0: Introduction - ppt download
PPT - Arithmetic Functions & Circuits PowerPoint Presentation, free ...
PPT - Digital Logic Design Lecture 3 Complements , Number Codes and ...
PPT - DISCRETE MATHEMATICS Lecture 21 PowerPoint Presentation, free ...
PPT - A Survey of Probability Concepts PowerPoint Presentation - ID:314183
What is Complementary Addition? | Twinkl Teaching Wiki
PPT - FIGURES FOR CHAPTER 1 INTRODUCTION NUMBER SYSTEMS AND CONVERSION ...
Rule of Complements in Probability | Math | ShowMe
PPT - Introduction to Counting PowerPoint Presentation, free download ...
PPT - Chapter 6 Overview PowerPoint Presentation, free download - ID ...
PPT - ENGG 1015 Tutorial PowerPoint Presentation, free download - ID ...
NumberSystems
5_complement arithmatic.pdf
PPT - Extended Precision Operations PowerPoint Presentation, free ...
PPT - MAT 2720 Discrete Mathematics PowerPoint Presentation, free ...
Jan 12 How’s Lab 1 going? Announcements - ppt download
Integers II CSE 410 Winter 2017 Instructor: Teaching Assistants: - ppt ...
Lec20
Solving One Step Equations (examples, solutions, videos, activities)
PPT - Learning Objectives for Section 7.3 Basic Counting Principles ...
PPT - Basic Math: Algebra PowerPoint Presentation, free download - ID ...
Arithmetic operations in binary - ppt download
chapter 2 part 2.pdf
Chapter 5 Number Representation and Arithmetic Circuits Figure
PPT - COMPUTER ARITHMETIC PowerPoint Presentation, free download - ID ...
Lecture 12 Number Representation Integers and Computer Arithmetic
Complements of numbers | PPTX
PPT - Binary numbers and arithmetic PowerPoint Presentation, free ...
Calculate complements to 100 (1) - Master The Curriculum
PPT - ECE 301 – Digital Electronics PowerPoint Presentation, free ...
1's and 2's Complements | PPT
1's and 2's complement.pptx | Science
PPT - Positional Number System PowerPoint Presentation, free download ...
PPT - Chapter 6 – Digital Arithmetic: Operations & Circuits PowerPoint ...
PPT - Introduction to Combinatorics PowerPoint Presentation, free ...
Principles of computer architecture - arithmetic
COMS 361 Computer Organization - ppt download
CS304PC:Computer Organization and Architecture Session 17 Complements ...
Lecture_5-2.ppt
Chapter 1 Basic Structure of Computers Functional Units