Showing 120 of 120on this page. Filters & sort apply to loaded results; URL updates for sharing.120 of 120 on this page
Example of compartmental model fits for a representative participant ...
Example of compartmental model fit to the measured tissue activity ...
Example of regulated blood flow compartmental model with potential ...
(PDF) Modeling for Parameter Estimation with a Compartmental Model Example
Lake pollution model using compartmental model and example - YouTube
| Compartmental model diagram. A three-variant deterministic dynamic ...
Compartmental model of the circulatory system (a) and scheme of ...
Compartmental model example. | Download Scientific Diagram
What Is A Compartmental Model at Kimberly Bosch blog
Compartmental model linking the plasma and the tumor compartment ...
Compartmental model. We consider an extension of the classic SLIR model ...
Overview of the compartmental model of the cardiovascular system and ...
Compartmental model for the disease. | Download Scientific Diagram
Diffusion compartment models. Example of a mixture compartment model ...
Compartmental model scheme visualization. | Download Scientific Diagram
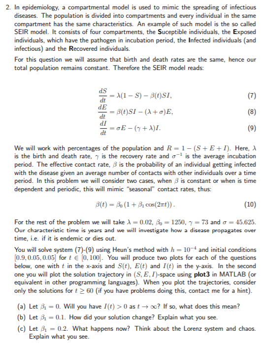
Solved 2. In epidemiology, a compartmental model is used to | Chegg.com
SOLUTION: Compartmental model - Studypool
Schematic showing the compartmental epidemiology model for ...
1 The schematic diagram of the compartmental model of COVID-19 ...
Compartmental model of tuberculosis transmission. | Download Scientific ...
1 Example of a simple compartmental model. Clarification of symbols: S ...
Compartmental diagram for Model 2. | Download Scientific Diagram
Compartmental model diagram | Download Scientific Diagram
Compartmental model describing patient flows between susceptible (S ...
Compartmental model – National Collaborating Centre for Infectious Diseases
Compartmental model structure. Subscript "W" denotes a wearable user ...
The modified SEIR compartmental model of COVID-19 disease. | Download ...
2. In epidemiology, a compartmental model is used to | Chegg.com
Solved In epidemiology, a compartmental model is used to | Chegg.com
The compartmental model for malaria transmission. | Download Scientific ...
Compartmental representation of the model. The model includes both ...
The proposed compartmental epidemic model | Download Scientific Diagram
A NetworkBased Compartmental Model For The Spread Of
Compartmental process-based model diagram and fits a,b, Diagram ...
Compartmental diagram for a SEIRD model with f Ð q|j and infection ...
Compartmental model structure of disease progression and main scenario ...
Model structure. Schematic compartmental structure of model, with each ...
(a) Schematic of the simple compartmental model to which data are ...
Compartmental Model | Download Scientific Diagram
Fundamental classification of compartmental models | Download ...
Behind the Model: Products | CFA: Behind the Model | CDC
Example: Compartmental Models — simframe documentation
PPT - Three Compartment Model PowerPoint Presentation, free download ...
Examples of compartmental models. The different phases of the natural ...
Stochastic compartmental epidemiological models can be used to estimate ...
Model structure of COVID-19 transmission. (A) Schematic of the ...
Compartmental Models in Epidemiology - YouTube
1.11 Compartmental Models | Introduction to Modeling of Mass Transfer ...
Lecture 1.5: Compartmental models - YouTube
Two compartment model | PPTX
Compartment Meaning Example at Kenneth Keene blog
Development of Compartmental Models in Stable-Isotope Experiments ...
Different Types of Compartmental Models for Understanding Disease ...
Closed form solutions for a two-compartment pharmacokinetic model ...
Three-compartment model of placenta, consisting of maternal vascular ...
4 different compartmental models for the prediction of the total number ...
(PDF) Controlled Compartmental Models with Time-Varying Population ...
The compartmental model. The compartments are defined as follows: S ...
Systemic and compartmental modelling illustrated through examples from ...
Compartmental Models in Pharmacokinetics - YouTube
Calculations of one compartment model in simple way - YouTube
Flowchart illustrating the compartmental model. | Download Scientific ...
Schematic representation of the compartmental model: Individuals start ...
(PDF) Modeling Complex Systems: A Case Study of Compartmental Models in ...
The illustration of the compartmental models incorporating important ...
The compartmental structure common to both models. Susceptible hosts ...
The Role of “Physiologically Based Pharmacokinetic Model (PBPK)” New ...
(a) An informal visualization of a compartmental SIR model. The ...
Schematic diagram of the compartmental epidemic model, presented in ...
SIR compartmental model. | Download Scientific Diagram
Modeling complex systems: A case study of compartmental models in ...
Compartmental models (epidemiology) - Wikipedia
PPT - Compartment Models PowerPoint Presentation, free download - ID ...
Single and multiple compartment models of drug distribution | Deranged ...
MJ Dr. Murray Trial: Truth about Propofol. | Dr. Brian Huang DDS.
Basic Principles of Pharmacology - Clinical Tree
What Is Compartment Modelling in Pharmacokinetics? - Cusabio
Pharmacokinetic analysis - Anaesthesia & Intensive Care Medicine
PPT - Pharmacokinetic Models PowerPoint Presentation, free download ...
Introduction to Compartment Models - Eclipsepedia
METHOD OF RESIDUALS | PPTX
PPT - Compartment Models PowerPoint Presentation - ID:2288492
PPT - PK/PD Modeling in Support of Drug Development PowerPoint ...
Two Compartment Models Flashcards | Quizlet
PPT - Predictive Drug Absorption Models PowerPoint Presentation, free ...
Compartment modeling ppt | PPTX
Structure of the compartment model. (A) High-level structure indicating ...
CompartmentalModeling | Wolfram Language Paclet Repository
Technical Explainer: Infectious Disease Transmission Models | CFA ...
Behind the Model: How Scenario Modeling Can Inform Public Health ...
PPT - National Emerging Infectious Diseases Laboratories Risk ...
Total intravenous anaesthesia - Anaesthesia & Intensive Care Medicine
Metode dan Strategi Pembuktian | PPT
PPT - Network Models in Infectious Disease Ecology PowerPoint ...
Dynamics of Zika virus outbreaks: an overview of mathematical modeling ...
COVID-19: Understanding – and misunderstanding – epidemic models ...
Behind the paper: Modelling the key factors influencing SARS-CoV-2 ...
Pharmacokinetics and Pharmacodynamics Crash Course + Cheat Sheet ...
Chapter 2: Neurons and conductance-based models - ppt download
Compartment Models
The epidemic compartment models for COVID-19. | Download Scientific Diagram
PPT - Understanding Epidemics in Social Networks: Modeling ...