Showing 120 of 120on this page. Filters & sort apply to loaded results; URL updates for sharing.120 of 120 on this page
trigonometry - How can I find the compact trigonometric Fourier series ...
SOLUTION: Trigonometry compact notes class 10 - Studypool
Compact Grade12 Trig CheatSheet | PDF
SOLUTION: Compact trigonometric - Studypool
Solved Example Find the compact trigonometric Fourier series | Chegg.com
Solved 2. Compact Trigonometric Fourier Series k= 1 tan-1 | Chegg.com
Solved Compact Fourier Series Given the | Chegg.com
Trigonometry Functions Chart - Great reference for Precalculus Students ...
Solved Problem 3: For a periodic signal g(t), its compact | Chegg.com
*2. a) Find the compact trigonometric Fourier series | Chegg.com
Graphs of Trigonometry Functions Cheat Sheet Download Printable PDF ...
1000+ images about Trigonometry on Pinterest
Trigonometry Basics Tutorial Trigonometry Table | Trigonometric Ratios
SOLUTION: Compact or polar trignometric fourier series - Studypool
Trigonometry Table - GCSE Maths - Steps, Examples & Worksheet
Basic Trigonometry Triangle at Donald Hood blog
How To Learn Trigonometry Intuitively – BetterExplained
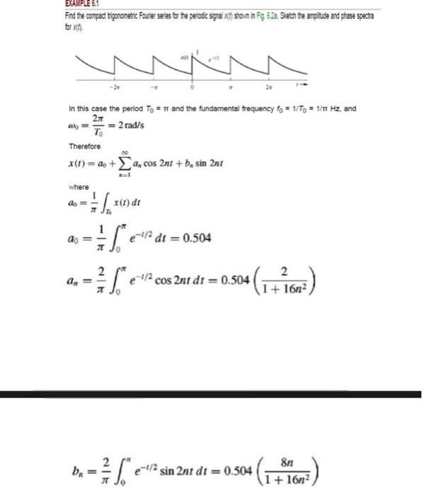
Solved EXAMPLE 6.1 Find the compact trigonometric Fourter | Chegg.com
Math Cheat Sheets | Trigonometry by Teach Simple
Trigonometry - Math Steps, Examples & Questions
Basic Trigonometry Formulas For Class 10 at Joan Bowler blog
Amazon.com: Trigonometry: A Compact Handbook eBook : Pang, Tao: Kindle ...
Solved a) Find the compact trigonometric Fourier series | Chegg.com
Lecture 12: ch 3, Compact Trigonometric Fourier Series - YouTube
Algebra, Geometry, and Trigonometry: A Compact Handbook of Precalculus ...
Solved Find the compact trigonometric Fourier series | Chegg.com
Essential Trigonometry for Calculus – David Richeson: Division by Zero
Trigonometry Formula - GCSE Maths - Steps & Examples
Solved Find the compact trigonometric Fourier series and | Chegg.com
🌸Basic trigonometry formulas and examples, fundamental trigonometric ...
Trigonometry Formulas - GeeksforGeeks
PPT - Trigonometry PowerPoint Presentation, free download - ID:3987596
PROPERTIES OF COMPACT SETS
Trigonometry Formulas
Printable Trigonometry Formulas
Solved (20 points) The compact trigonometric magnitude and | Chegg.com
Solved 2. Find Compact Trigonometric Series for the signal | Chegg.com
Cultural and Historical Origins of Trigonometry « KaiserScience
What is Trigonometry - Math Lessons
Solved Find compact trig fourier series of both these two | Chegg.com
Complete List of Trigonometry Formulas & Identities [Modified]
Trigonometry - Mathematical Tools for Physics Class 11 (Concepts and ...
Trigonometry of right triangles. Complementary angles. Cofunctions.
Trigonometry | Wolfram Language Paclet Repository
Trigonometry Table Chart Trigonometry Table | TPT
Cambridge Compact Book For Class 8 in Amalorpavam Lourdes Academy | PDF ...
PPT - Trigonometry PowerPoint Presentation - ID:3735022
Trigonometry Introduction - Corbettmaths - YouTube
Compact representation. | Download Scientific Diagram
Trigonometry Formula Chart Trigonometry Formulas And Identities Full
4 Ways to Learn Trigonometry - wikiHow
Basic Trigonometry Formulas List, Trigonometry Table, Pythagorean ...
Trigonometry Archives - The Story of Mathematics - A History of ...
Trigonometry Formulas & Identities Reference Sheet
Shape and Space 9: 3D Trigonometry — Elizabeth College
SOLUTION: Trigonometry Trigonometry Trigonometry Trigonometry ...
Basic Of Trigonometry at Roger Marino blog
Trigonometry Full Chart at Evan Olsen blog
Trigonometry Table Wallpapers - Wallpaper Cave
Trigonometry Logo Trigonometry YouTube
Trigonometry Table
Trigonometry Formulas: Identities & Angle Values
SOLUTION: Trigonometry basics - Studypool
Animated Trigonometry Construction
Trigonometry Calculator Explanation at Michelle Peckham blog
Trigonometry Mathematics Formula
Introduction to Trigonometry - (Integrated II Scaffolded Lesson) by ...
Review of Trigonometry for Calculus “Trigon” =triangle +“metry ...
Solved Find the compact trigonometric Fourier series for the | Chegg.com
Trigonometry - Introduction - YouTube
Spicher & Company BC Terms of Trigonometry lg 92840 | Teaching math ...
Trigonometry in Pictures | Extreme Learning
Trigonometry Values , Examples, Pdf
Trigonometry Lecture 3 - YouTube
PPT - Engineering and Physics University of Central Oklahoma Dr ...
Trigonometric Identities Practice Problems - GeeksforGeeks
Trigonometri Diagram Geometric Representation Of Trigonometric Ratios
Trigonometric Fourier Series.pptx
Trig Form of a Vector - YouTube
Basic Of Trigonometric Functions at Douglas Nunez blog
Solved For each of the periodic signals shown below, find | Chegg.com
PPT - LECTURE 09: THE TRIGONOMETRIC FOURIER SERIES PowerPoint ...
Solved For each of the periodic signals shown in Fig. | Chegg.com
SOLVED: b) Show that the trigonometric fourier series of a periodic ...
Solved For the function x(t) shown in Figure below a. Find | Chegg.com
Oxodoi Scientific Calculator,Function Calculator for Math Algebra ...
Solved ach of the periodic signals shown below, find its | Chegg.com
Trigonometric Fourier Series (Example 1) - YouTube
Trigonometric Ratios | Passy's World of Mathematics
Solved The figure below shows the exponential Fourier | Chegg.com
Solved For each of the periodic signals shown in the figure | Chegg.com
Math Intro to Trig Comp angles Video3 - YouTube
Eight Fundamental Trigonometric Identities - HubPages
Solved The trigonometric form of the Fourier Series is given | Chegg.com
Trigonometric Functions Examples With Solution - FilipiKnow
Complex Numbers Birth Trigonometry!
Trigonometric Ratios-Mathematics K-12 Curriculum.pptx
How to Find Trigonometric Ratios in Right Triangles?
Ercise: The exponential Fourier spectra of a certain...
Master Trigonometry: Step-by-Step Solutions with Mathz AI | Mathz AI
Trigonometric Formulas Class 11 - GeeksforGeeks
DwellJoy 240-Function Scientific Calculator for Sch00l, College ...
How to Find Trigonometric Ratios with Examples
Trig Reciprocal Identities With Formula [Trigonometry]
Trigonometric Graph - GeeksforGeeks
Examples
PPT - Compactness in Metric space PowerPoint Presentation, free ...
6.2 trigonometric of right triangles - trigonometric ratios ·sin O ...
An In-Depth Exploration of Compactness and Total Boundedness in Metric ...
trigonometry-130721043143-phpapp02.pdf | Physics | Science