Showing 120 of 120on this page. Filters & sort apply to loaded results; URL updates for sharing.120 of 120 on this page
Updated All College List With Course Detailss | Bachelor's Degree ...
University College Course List | PDF | Bachelor's Degree | Qualifications
Course List - Chu Hai College of Higher Education
Course List - Wells College
Available College Course List | PDF | Nursing | Health Care
Broward College Dual Enrollment Course List
Common Course Numbering List - Centralia College
COLLEGE OF ENGINEERING COMPLETE LIST OF QUALIFIED BRIDGING COURSE ...
College & Course List | PDF | Ontario | Qualifications
College Course List | PDF | Institute Of Technology | Higher Education
List of college course and courseseseses | PDF
College of Letters and Science General Education Course List
College List Example | PDF | Academic Administration | Universities And ...
Updated All College List With Course Detailss | PDF | Technology ...
On Page College Admissions And Curriculum List Presentation Report ...
College Course Planner - Optimize Your Academic Journey Excel Template ...
University Course List for Daniel Szabo | PDF | Bachelor Of Science ...
Transferable Course List - General Education Common Core Ivy
Reading the course schedule | Oregon Coast Community College
LIST OF DEGREE PROGRAMS OFFERED IN UPD PER COLLEGE
College Courses List | PDF
College / University Course Planner - Excel Template - Organization ...
College List Google Sheets Template - Template Shoptangerineboutique
Course Information List - Free Printable Template
Free College List Templates For Google Sheets And Microsoft Excel ...
College List Template | Printable AT A GLANCE
Free College List Template to Edit Online
How to Make a College List — 6 Steps to Build a Balanced List - PrepMaven
Full Course Catalog List by edynamiclearning - Issuu
Creating a College List Template by From Student To Teacher | TPT
Important Guide to Post Graduation Course List (2024-25)
Free Printable Digital Templates - Course Information List and Course ...
Global Core List of Approved Courses - Columbia College
Course List PDF | PDF | Bachelor's Degree | Academic Degree
Course List and Outlines | PDF
Static - File - South Africa - PDF - PDF Forms - UKZN Course List | PDF ...
COURSE LIST
College degrees list | PDF
Course List | PDF | Computer Science | Engineering
ChronologiCal list of Courses - West Dean College
Fleming College Courses List | PDF | Natural Environment | Nature
List of Courses under Medicine and Surgery with Course Outlines
Undergraduate course list (PDF)
Make Your College List | Oregon Goes to College
Course Information List - Free Printable Digital Template
College Course Template & Semester Schedule
College Course Listings in Thane District | PDF | Academic Degree ...
List of College Courses - Handout | CHEM 2566H - Docsity
College course guide Stock Photo - Alamy
Courses List
UNWE English Course List: Bachelor & Master Programs
Class List Template -8+ Free Sample, Example, Format Download!
Most popular degree course subjects by undergraduate entrants
Displaying Your Course Schedule in Clean Catalog — Clean Catalog
FILE 3 - Important - COLLEGE-WISE LIST OF UNDERGRADUATE COURSES OFFERED ...
Online Course Design Examples and Templates - Venngage
[PDF] Bachelor Of Science Courses List PDF - Panot Book
10 Free Course Schedule Templates in MS Word and MS Excel
Free Course Curriculum Format Template to Edit Online
EXCEL of Course Plan Form.xlsx | WPS Free Templates
How To Create Semester Schedule in Excel | Class schedule college ...
12+ Sample College Checklist Templates | Sample Templates
How to Create a Course Outline (Free Template + Examples)
Building Your College List: Part 2 - Sorting Through the Options
NCAA Core Courses: A List of NCAA Approved Courses
16 Free Course Schedule Templates in MS Word and MS Excel
How to Decide Your Online Course Name In 5 Easy Steps
Diploma Colleges List
List of courses offered in fall term
Free Weekly Course Schedule Template to Edit Online
Course Information | Howard University COAS Centers
Online College Courses & Classes
CSF Standardized Course Lists | California Scholarship Federation
The 50 Best Colleges In The US | College fun, College degree, College usa
Course Code vs. State Course Code V2 – School Data Solutions
List of Available Courses with Codes | Download Table
Cornell Human Development Course Selection Guide
How to write a winning course description | LearnWorlds
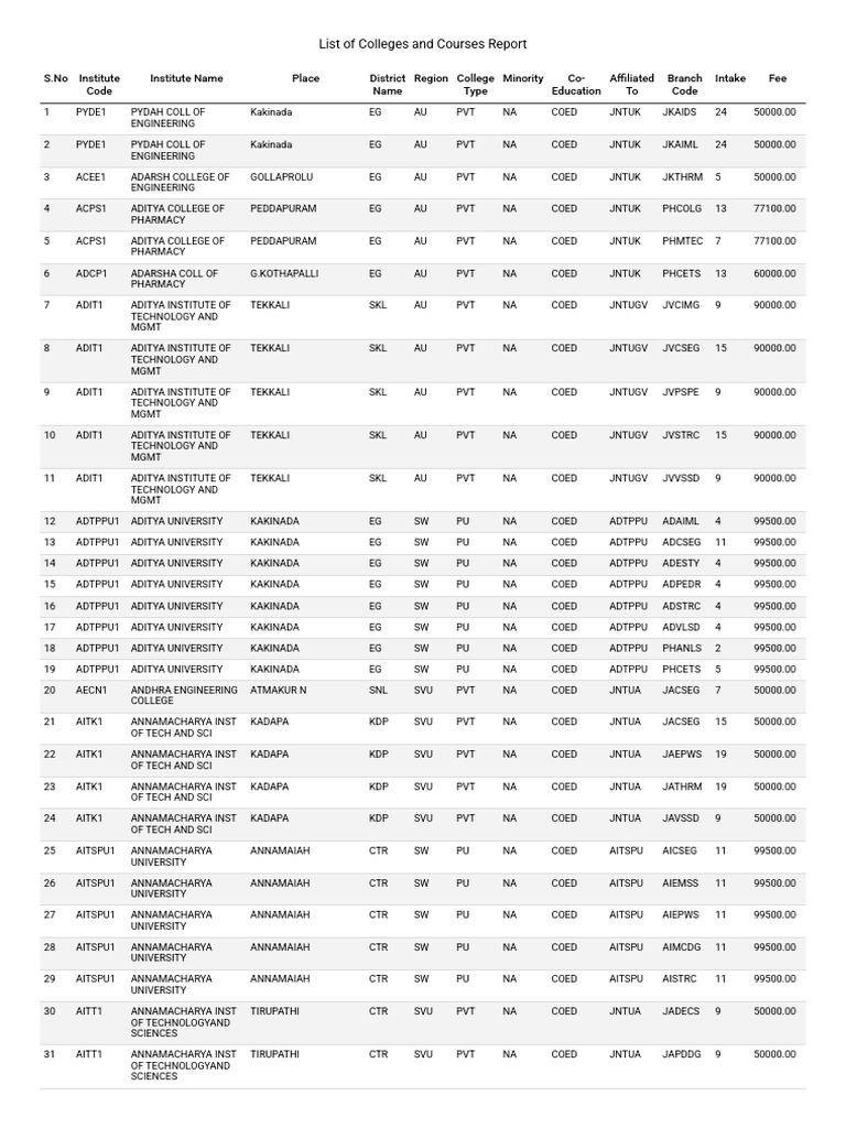
List of Colleges and Courses Report | PDF
Colleges List | PDF | Educational Stages | Academia
Master Degree Courses List at Alice Hager blog
FREE 21+ Course Checklist Samples in MS Word | Google Docs | PDF
Top 10 Best College School In Philippines at Chris Henry blog
Redesigned Course Catalog Project: The Server – segal-gould.com
Types of College Degrees: Which One is Right for You?
College Application Spreadsheet (Free Template + Guide) - Spreadsheet Point
List of Computer Science Courses For Exit Exam | PDF | Computer ...
35 Free Course Syllabus Templates (Editable) - Word | PDF
Most Frequently Taken College Courses | American Academy of Arts and ...
List of All Professional Courses After 12th In All Streams
Course names and numbers. | Download Table
How to List Relevant Coursework on a Resume
What Are The Top 5 Majors In College at Eve Collie blog
List of Colleges and Courses Report-1 | PDF
2010 Warren College Freshman Orientation Blog: 5 Steps to Deciding on ...
Courses - Study in the UK with UNI Britannica -Bachelor & Master Degrees
University Courses Catalog Template, Print Templates | GraphicRiver
Study BCA Course: Complete Guide for Aspiring IT Students
Enrollment Dates & Available Courses — ProArts
Grcc Class Catalog at Keira Crampton blog
Types of Courses in Education System: A Complete Guide - Usher Education
Display Options for Courses and Degrees — Clean Catalog
Course_list | PDF | Science
How Effective Are College-level Courses in High School?
50 Courses From 27 Different Universities, All For Free « StratLab ...
This model and template will help college, high school, and middle ...
BSN Curriculum | American National University
O's List: Blog - Science is Not Always Equal to Engineering. Part 2 ...
How to Write a Coursework: Best Tips and Topics | Paper Writer Blog
Undergraduate Courses Offered By Schools Excel Template And Google ...
college_course_list | PDF | Institute Of Technology
Instructions for applying with the Common App – Office of Admissions
Explore Advanced STEM Courses for Every Discipline - The Daily Dispatch
Bachelor's Degree | Mechanical Engineering
BSA Curriculum 2022 1 - Republic of the Philippines POLYTECHNIC ...
Nursing Curriculum Map 19-20 - NUR 1021C - - Studocu