Showing 82 of 82on this page. Filters & sort apply to loaded results; URL updates for sharing.82 of 82 on this page
Are Face Masks Proven By Science
The Set of Amino Acids Used in Life Is No “Frozen Accident” | Science ...
codon (@Codonlol) / Posts / X
How Do You Read A Codon Chart - Templates Chat R-Kapi
What Kind Of Questions Can Be Completely Answered By Science
BergHOFF Santoku knife with holes Codon 12,50cm – HomePro
Recursion: No Longer An AI 'Pet Science Project,' But Still A 'Sell ...
Post from Codon (IISERite)
How To Do A Science Experiment Multiple Times
🧬The Codon Guide to Synthetic Biology 100+ papers. 11 free courses. 10 ...
Animation of science concept icons and formulas over caucasian male ...
”Disadvantaged Ill” by Codon Agbo - トラック・歌詞情報 | AWA
Science shows for primary schoolers - Engels
Free download | Pendulum Experiment Gravitation, science experiments ...
Animation of molecules over scientific data on screens. Science ...
Protein Synthesis – Location, Process, Steps, & Diagram
COL4A5 Gene Sequence | Pre-mRNA, cDNA & Protein/Codon
tRNA Mutations Linked to Aging and Cancer | Technology Networks
Gene Key 20
Solved: Which of the following is true of a codon? It can be either in ...
Gene Key 61
Gene Key 60
Plasmid perfection starts with smart design
Exam 1 Protein Synthesis Essay Question Flashcards | Quizlet
Niam thiab txiv tsis hlub: Phần 81 XWB FWB | TikTok
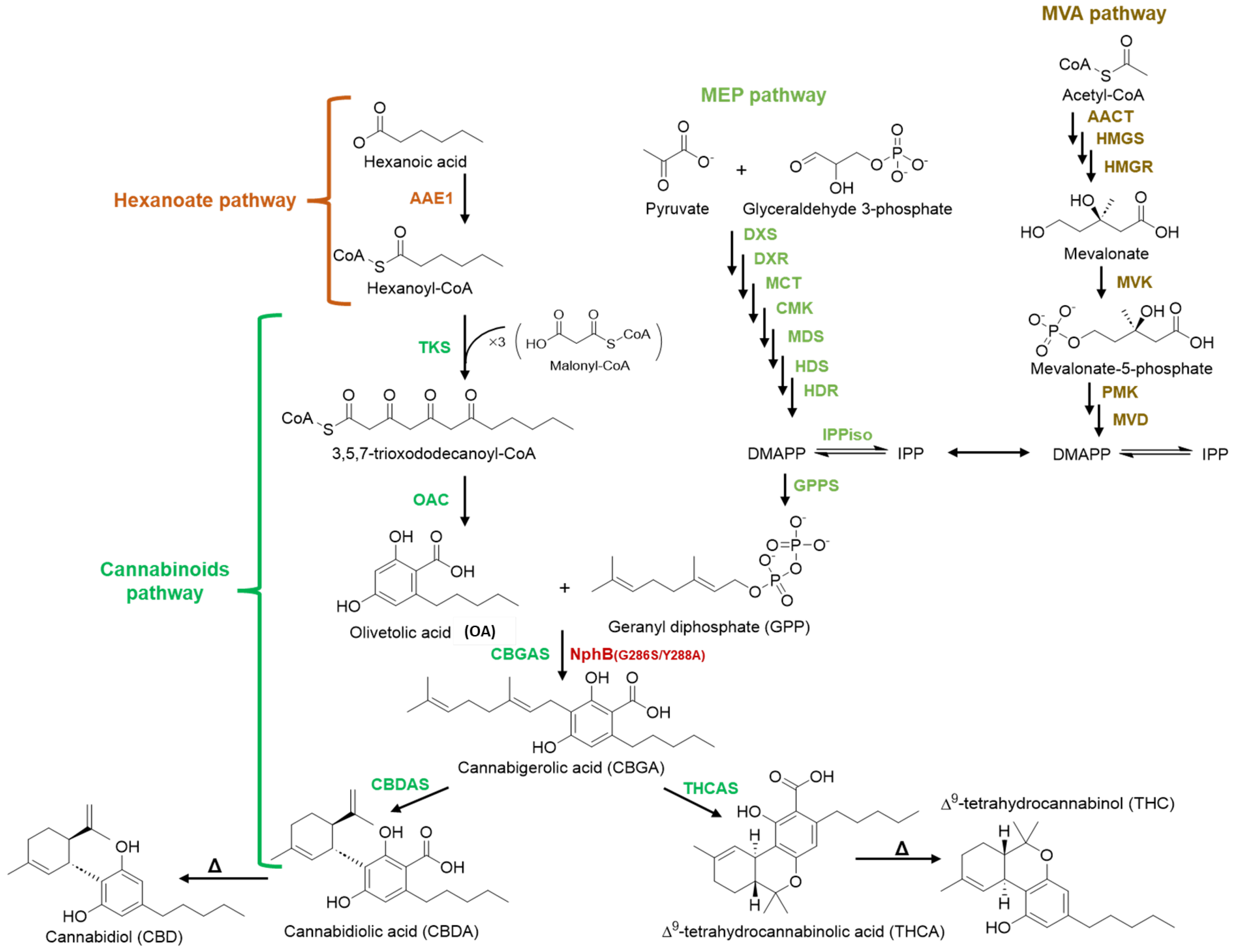
Functional Expression of the Aromatic Prenyltransferase NphB in ...
Assessing the Accuracy of Large Language Models on European Guidelines ...
The 51st Closing... - DepEd Catagbacan Elementary School | Facebook
Gene Key 48
New polymer and DNA computing breakthroughs boost genetic engineering
Translation Flashcards | Quizlet
Hoàng Dược - Kết nối yêu thương | Hai Duong
translation Flashcards | Quizlet
Bio Exam 4 - Pt.1 Flashcards | Quizlet
Animation of profile icons and dna structure over male scientist ...
BSC 2010 Lecture Notes: DNA Synthesis, Transcription & Translation ...
CHM 1033 Extra Credit: Nucleic Acids & Protein Synthesis Overview - Studocu
bio final pt 2 Flashcards | Quizlet
Problem Set Chp 14: Genomes & Genomics Qs 6-15 - Griffiths 12th Ed ...
Nguyễn Hoàng Vũ - Nguyễn Hoàng Vũ updated his cover photo.
Los codones son secuencias de tres... - Memes de Ciencia | Facebook
Animation of scientific icons , dna and connections over black ...
Animation of scientific data, dna and connections over violet ...
39 genetic code - biology unit 3/4 summary for the topic - 20 The ...
Animation of scientific data, icons and connections over black ...
Animation of lab icons over caucasian male scientist with test tubes ...
Animation of human model, dna and scientific data processing on blue ...
Yong dalawa mong pinsan namas silyado pa sa silyado 😁😂 #highlight # ...
What Happens When You Try to Reverse Biology? A Deep Look at the ...
Animation of scientific data, dna and connections over black background ...
2.2 retake Flashcards | Quizlet
Girl+adds Blue Images | Free Photos, PNG Stickers, Wallpapers ...
L10 - Protein structure & analysis Flashcards | Quizlet
TEMA: EL CÓDIGO GENÉTICO - ARTÍCULO NO 1 Y NO 3: Expansión y Evolución ...
Colibri Automation Thailand : Colibri Assembly Thailand Co Ltd – GRFINZ
#polityka Czemu dostaliśmy pożyczkę z SAFE skoro Karol Nawrocki to za ...
Ehhh ludzie k---a ssą.Wystarczy,że wyczują gdy jakiś temat mocno ci ci ...
Na 100 milionów lexy przywraca federację clout #primemma (@piggy_piggy ...
sraken pierdaken #korneliawieczorek #afera (@miklach25) :: Wykop.pl
Siadaj młody z wujkami a nie siedzisz tam zamknięty w swoim pokoju #pr ...
Całe życie na to czekał. Dokonało się. Opus magnum, magnum opus. #prim ...
Scientist Doing Experiment in Laboratory eps vector | UIDownload
Dobry wieczór wszystkim. Odpaliłem dziś grę tekstową w uniwersum Goth ...
Kolejne skandaliczne słowa Kegsetha. Oni wyjdą z NATO i staną się wrog ...
kolacja dla mnie 6 (@almete) :: Wykop.pl
To jest niewyobrażalnie komiczne, w jaki sposób upada USA xd #usa #tru ...