Showing 120 of 120on this page. Filters & sort apply to loaded results; URL updates for sharing.120 of 120 on this page
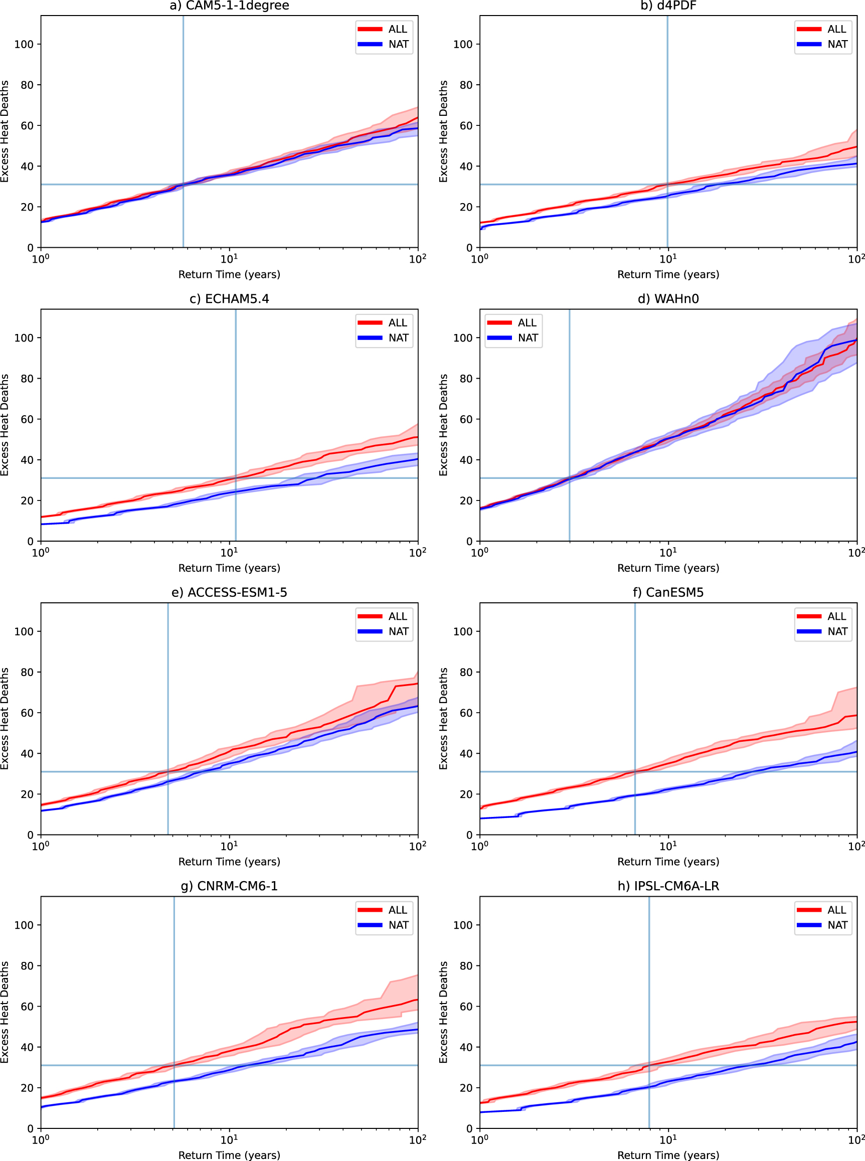
Attributing heatwave-related mortality to climate change: a case study ...
The Back Nine indoor golf simulator opens in Orlando
Climate Change - NASA Science
Bus Simulator 27 Coming Soon - Epic Games Store
Climate Model Inherent Uncertainties → Area → Sustainability
Climate activists refuse to be silenced by arrests | GroundUp
New Anne Arundel County library driving simulator
Ultimate Flight Simulator Pro | Ladda ner och köp idag – Epic Games Store
Best Shop Simulator Games
Unduh Bus driving game Bus simulator di PC (Emulator) - LDPlayer
Dank der neuen Jahreszeiten und... - City Transport Simulator | Facebook
At the Airport Simulator (Free Online & AI-Powered)
Steering wheel gameplay Euro Truck Simulator 2 tips
ATS Mods | American Truck Simulator Mods
Coast to Coast - ATS Expansion RC v1.6.1 | American Truck Simulator Mod
Volusia County launches rip current safety classes with simulator
Latest Science News and Updates on Space, Climate Change and More ...
The Barcelona School of Civil Engineering brings climate resilience ...
Brazilian Traffic Euro Truck Simulator 2 Mod - ModsHost
DCL Draft Selection 2026 Opens With 48-Hour In-Game Simulator Challenge ...
Zeldin Celebrates Endangerment Finding Repeal With Climate Skeptics ...
These maps show how climate change affects your city in real time—and ...
Climate | TIME
Climate and Environment - The New York Times
climate experts, scientists and community leaders meet to discuss ...
Case Study: High-Resolution Climate Modelling for the Swiss Rail ...
Climate change reality forum | Facebook
How Climate Change Will Affect the Seasons
The 4 regions in the US that could survive looming climate disaster
Here Are Trump's Major Moves to Dismantle Climate Action
Climate Prediction Center
Climate Alert | Facebook
National Emergency Climate viewings help to inform the public more ...
Canada's National Observer: Climate News
World Off Track to Meet Climate Goals as Paris Agreement Hits 10 - Newsweek
Regional Snow Climate Change → Area → Sustainability
Stantec Inc. (STN) Selected by European Investment Bank for Climate ...
Climate and AI disruptions reshape property management careers
This Week in Climate News (April 2026, Week 1) | Earth.Org
How Do Climate Models Simulate Earth's Energy Budget? → Learn
Can Climate Feedback Loops Be Reversed? → Learn
DeSantis signs bill on Earth Day reversing local climate change action
French Alps tourism shifts as climate and crowding reshape travel
UNECA chief praises Ethiopia's climate action, urges stronger efforts ...
Education unions mobilise and organise for climate justice and gender ...
Ancient baobabs reveal 700 years of Madagascar’s climate shifts
UnDisciplined: Is climate change funny? | Utah Public Radio
Atlantic Ocean current weakening faster than climate models projected
Slow Philippine recovery seen amid graft probe, climate risks
Level up your flight sim realism today
Meet Prithvi, NASA & IBM’s free AI model for better weather prediction
How Can Virtual Reality or Augmented Reality Enhance Understanding of ...
Scientists Warn A Critical Atlantic Current Could Weaken Faster Than ...
YWCA of Carlisle and Cumberland County to host human trafficking ...
G42 and NVIDIA collaborate to introduce a hyper-local weather ...
Pleasant weather weekend
Gadsden State students face mass casualty simulation
Sim Update 5 to bring PSVR2 and third-party add-ons to MSFS
Assetto Corsa How To Install SOL in 2026
Kasmir Travel Essentials: SIM Cards, Packing, and Permits - Visit Kashmir
Severe weather could bring baseball-size hail to the Midwest
Office Hours: Statistics, Simulations, and Mathematical Methods in Data ...
Eco simulation games that change how you see nature
Is sim racing practice actually useful?
Local high schoolers experience real financial situations in simulation
Weather now: A much calmer rest of the week
F1 sim racing championship heads to decisive final rounds
Entering a New Era of Modeling and Simulation - IEEE Spectrum
YWCA Carlisle & Cumberland County simulation raises awareness on human ...
Informations sur Rhino: Webinaire Rhino en français : Simulation ...
EIU student nursing simulation puts future medical leaders to the test ...
Human trafficking awareness simulation held at YWCA | fox43.com
Historical Weather: Des Allemands, United States (april 2026) • PredictWind
Worth Knowing: Apple's AI, The Trillion Dollar Merge & Weather Agents
[Blog] April 2026 Development Update - News & Announcements - Microsoft ...
2026 game calendar showcases surge in simulation realism
are living simulation? shocking new math refutes hypothesis
Simulation games see surge in custom and realistic truck mods
Owen Lunt: Crewe Alexandra midfielder gets two-match ban for simulation ...
Astronomers Unveil Vast Cosmic Simulation Dataset | Mirage News
ReNForce hosts simulation to help volunteers understand reentry challenges
FS25 Realistic Soil & Fertilizer v2.0.6.0 - FS 25 Other Mod Download
Watseka students watch impaired driving crash simulation ahead of prom ...
Digital arrest scam: Govt seeks biometric SIM checks, WhatsApp ...
Fair weather in Taiwan through Monday, rain later next week - Focus Taiwan
UN, EU Warn of Rising Food Insecurity and Malnutrition in New Report ...
Amazon.com: POPUX Fire 3 Ultra Android 15 Rugged Phone Unlocked, 24GB ...
Tribe and Environmentalists to Sue Feds Over Arizona Mine’s Impacts to ...
Artificial Morning Glory Garland, Independence Day Decoration, Red And ...
Watch: Japan releases AI simulation of devastating Mount Fuji eruption ...
Roblox Uvalde simulation game raises concerns among Laredo parents
Houston_flood_simulation
Scotland's papers: SNP whistleblower claim and warning over oil lobby ...
Biogas Meets the Data Center Boom: How Sections 48E and 45Y Are ...
Adaptability of Knowledge → Area → Sustainability
One of America’s oldest weather observatories shows people the science ...
Oilers vs. Ducks NHL odds update: Experts adjust predictions, McDavid ...
🇳🇱Netherlands is transforming its cities into climate- resilient hubs ...
Reform council removes ‘climate emergency’ declaration