Showing 119 of 119on this page. Filters & sort apply to loaded results; URL updates for sharing.119 of 119 on this page
Example of a token vesting schedule using a combination of cliff ...
How Cliff Vesting Works for Stock Options
Cliff Vesting (Definition) - What Is It, Vs Graded Vesting
Cliff Vesting - Schedules, how it works, examples - Global Shares
Cliff Vesting - Definition, Example, Importance
Visualizing the vesting and cliff terms
Cliff & Vesting in Crypto Explained | OpenPad Web3 Investment
Cliff Vesting | Definition, Pros, Cons, & Employer Considerations
Cliff Vesting Explained: How it Works and Why it Matters
Vesting & Cliff Period – Everything Explained
Cliff Vesting Agreement Template: Fill out & sign online | DocHub
Cliff Vesting - Schedules, how it works, examples
Vesting Schedule: Definition, Example and More | Capital One
Vesting Cliff Explained Study
Cliff Vesting | AwesomeFinTech Blog
Cliff Vesting vs Linear Vesting: Pros, Cons, and How to Choose
Cliff Vesting
Vesting and Cliff in the shareholders’ agreement - Metricson
Model of Cliff and Vesting Contract | PDF | Breach Of Contract ...
Why we’re getting rid of the vesting cliff
Cliff Vesting Schedules for Startups: How Legal Expertise Secures Your ...
Cliff Vesting là gì? Tầm quan trọng của Cliff Vesting với crypto start ...
How Does the Vesting Schedule for My Equity Work? — Prospurpose Wealth
What Is a Cliff in Vesting? Why Startups Use It and What Founders ...
Implementing Vesting in Crypto Projects
Vesting Explained: Schedules, Cliffs, Acceleration, and Types
The complete token vesting guide: From setup to distribution [2025]
Can We Change our Plan's Vesting Schedule?
What Is 401(k) Vesting? Cliff vs. Graded, Safe Harbor & QACA
How do I add a vesting schedule?
Explaining Cliff Vesting: How it Works and Examples - Willow Wealth
Your Plan's Vesting Schedule: Tailor It to Meet Your Needs
What is Vesting Plan For 1/48 Monthly, 1-Year Cliff? | Eqvista
What is Cliff Vesting? How does it work?
Cliff Vesting: How It Works and Types
Vesting - Meaning, Period Types, Examples, How it Works?
Here’s Everything You Need To Know About Vesting
Understanding Vesting and Cliff: Everything You Need to Know to Protect ...
Startup Vesting Schedule: how Stock Vesting works - Capboard
Cliff and Vesting: The Startup Equity Clauses That Protect You (and the ...
What Is Vesting Plan For 1/36 Monthly, 1-Year Cliff? | Eqvista
Vesting 101: Why you need it and how it works
EMI schemes: keep vesting schedules simple
Vesting Schedule Examples
What Are Common Vesting Schedules? - Sprout Meta description
What Is A Clif _ What Is A Cliff – QGWR
Cliff y vesting: una visión crítica sobre sus fundamentos y efectos en ...
Equity vesting types, working and purpose | Eqvista
Vesting Agreement Template UK
401(k) Vesting 101 – Slavic 401k – What Is 401(k) Vesting
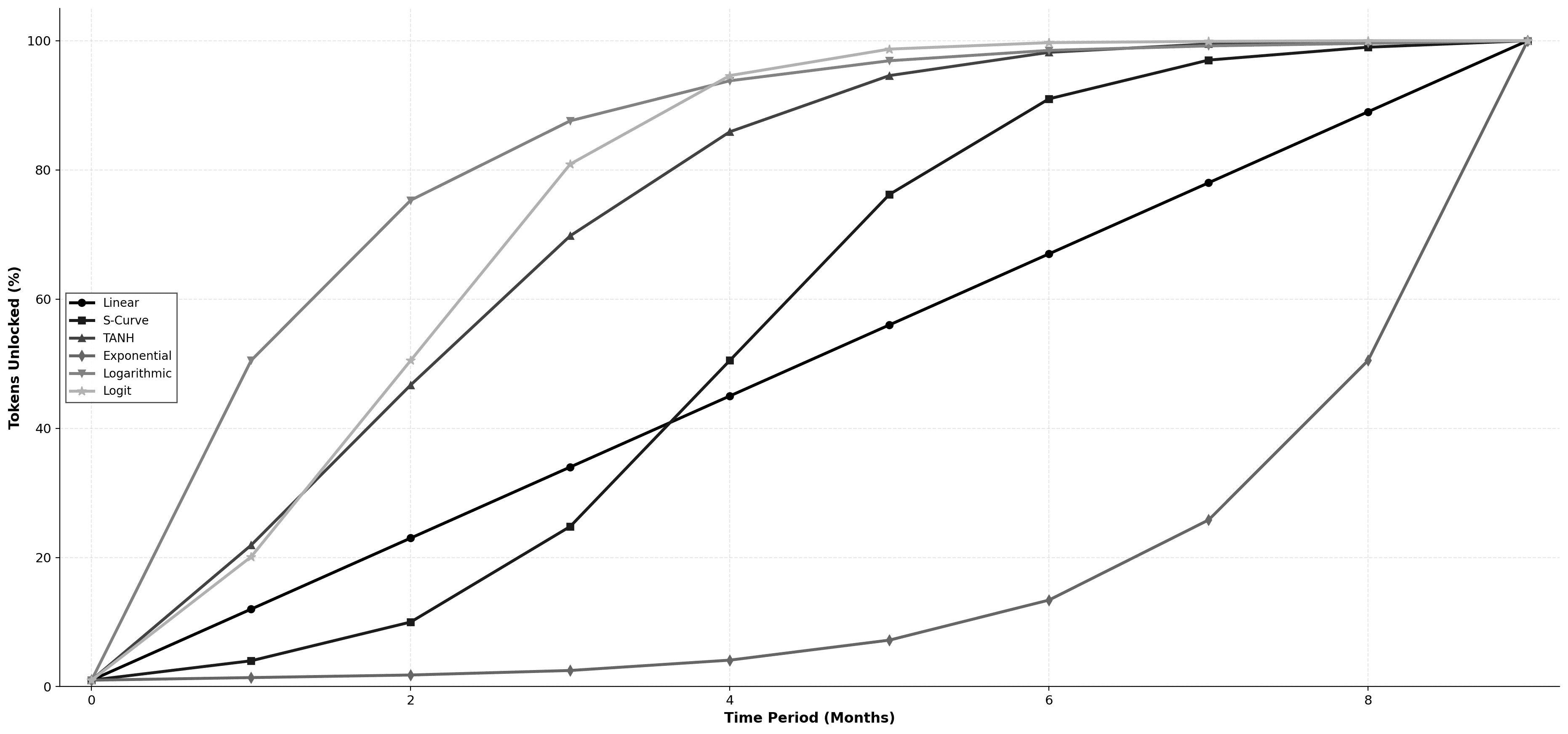
Token Vesting: Complete Guide to Vesting Schedules, Cliffs, and Unlock ...
What is a stock option vesting schedule? — Secfi
Token Vesting 101: All You Need to Know
What is Cliff Period? Is it Mandatory? Understand Details
4-Year Vesting with a 1-Year Cliff: A Practical Guide for Startup ...
Rho | What Is Cliff Vesting? A Complete Guide for Startups and Employers
What Is Vesting Plan For 1/12 Monthly, No Cliff? | Eqvista
How do vesting agreements work? | Latitud
Understand Term Sheets - Part 3: Vesting and its Implications on ...
Qual a Diferença Entre Cliff e Vesting?
Layer One X - Understanding Cliff, Linear and Graded Vesting - YouTube
What is Vesting in Crypto? | CoinGecko
How To Make the Most of Your Employer Retirement Options — Aberdour ...
What's a cliff, and what's it got to do with vesting?
PPT - Lecture 3: Taxes, Pension Plan Qualification, & DB Formulas ...
How to choose the right option scheme | SeedLegals
What Is Vesting? (+ Best Practices for Startups)
Understanding Your RSUs - TCI Wealth
Restricted Stock Units: A Closer Look
Vested Interests - Strategic Retirement Partners
What is ‘vesting’, what is a ‘lock’ and what is a ‘cliff’? | FAQ
PPT - IFRS 2 Accounting PowerPoint Presentation - ID:549331
Sertifikat Asuransi (COI) - Definisi, Biaya, 3 Jenis Teratas | Tutorial ...
Vesting: Types, Schedules, & Creation
PPT - Solid Finances Sponsor PowerPoint Presentation, free download ...
In Depth Understanding of Employer Stock Compensation (Part 1 ...
Share Vesting: All You Need to Know | Eqvista
PPT - Long-term Incentive Plans PowerPoint Presentation, free download ...
Fully Vested | Definition, Types, Legal Aspects
Vesting: What is it, benefits, Types, Example, FAQ | POEMS
All About RSUs — and RSAs, Too - FPFoCo
What To Do About Your 401(k) When Changing Jobs - First Business Bank
Compensation Plan: Compensation Planning & Examples
GitHub - mygittab/Winners-Network-Rewards-Token-with-Cliff-Vesting ...
Decubate
A Legal Guide to Airdrops, Tokens Options and Other Ways of Unpaid ...
3 things first-time founders should know about ESOP implementation