Showing 120 of 120on this page. Filters & sort apply to loaded results; URL updates for sharing.120 of 120 on this page
Chapter One: What Are Electrical & Computer Engineering | PDF ...
Chapter 1 Software Engineering | PDF | Software | Computer Science
Chapter I - Basic Concepts and Computer Evolution - Part One ...
Chapter 1 - Computer programming - College of Engineering & Technology ...
Chapter 1 - Computer Engineering - Studocu
Chapter 1 - revrrevre - computer engineering - Studocu
Chapter 1 - Computer Engineering - PangSU - Studocu
CSS chapter 1 - Computer Engineering - Studocu
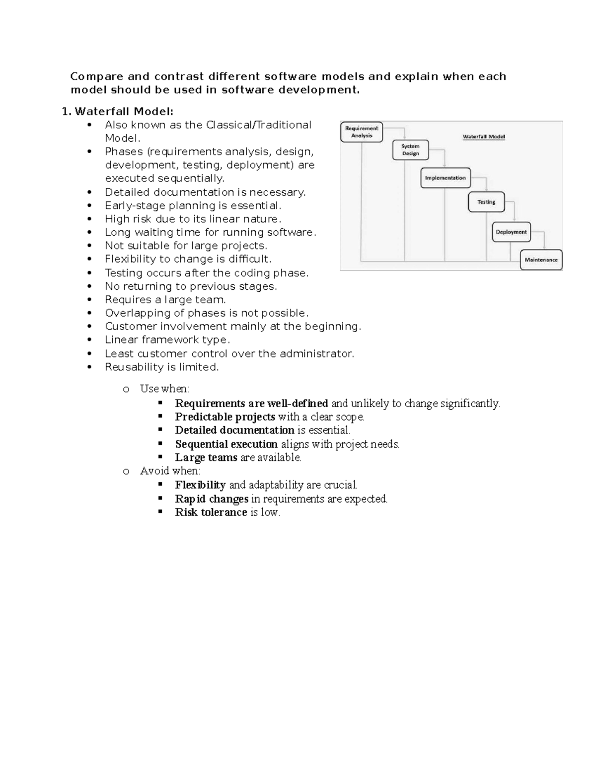
Chapter 1 - Summary Computer Engineering - Compare and contrast ...
CN Chapter-1 - Lecture Notes of CN Chapter 1 - Computer Engineering ...
1 34 Sample Chapter - Computer Engineering involves the design and ...
Chapter One | PDF | Data Type | Computer Engineering
SOLUTION: Chapter i the computer - Studypool
NCERT Book for Class 11 Computer Science Chapter 1 Computer System
Chapter 1 - Computer Fundamentals | PDF
Chapter 1. Introduction To Computer | PDF | Personal Computers ...
(DOC) Chapter 1 Introduction to Computer
Chapter 1 | PDF | Computer Programming | Computer Program
Chapter 1-Introduction to Computer | PDF | Computer Science | Information
Computer Science - Chapter 1 | PDF
Chapter 1 What is a Computer - Chapter 1: What is a Computer Computer ...
Chapter 1 - Chapter One Chapter One Overview of Computer Overview of ...
01computing 081503 - Computer - Chapter 1. Introduction to Computing ...
SOLUTION: Computer science basic concept of it chapter 1 part 1 - Studypool
CHAPTER 1 INTRODUCTION TO COMPUTER SYSTEM
Chapter 1 - Computer architecture - Chapter 1 The Evolution of Computer ...
(PPTX) Chapter 1 An Introduction to Computer Science - DOKUMEN.TIPS
Chapter 1 Computer Concepts (1) | PPTX
Chapter 1 Introduction to Computer Science - Chapter 1: Introduction to ...
PPT - Chapter 1: Fundamentals of Computer Design PowerPoint ...
Chapter 1 - Introduction To Computer System | PDF
PPT - CHAPTER 1 INTRODUCTION TO COMPUTER SYSTEM PowerPoint Presentation ...
Class 11 Computer Science Chapter 1 | Computer System Full Chapter ...
Chapter 1 Computer System | PDF
Chapter - 1 Computer System.pdf - Chapter - 1 Introduction to Computer ...
computer science class 11 chapter 1 Ncert | IP Chapter 1 Computer ...
chapter 1 Introduction Computer Organization.pptx
Chapter 1 IC - Pdf file of 2nd day - Introduction to computer science 1 ...
Chapter 1 Introduction To Computer | PDF | Integrated Circuit | Computing
Computer Organization & Architecture: Chapter 1 Introduction
CHAPTER 1: Computer Systems
Chapter 1 Computer System-1 | PDF | Computer Data Storage | Graphical ...
Computer Programming(Chapter 1) - CHAPTER - 1 INTRODUCTION TO COMPUTER ...
Chapter 1 introduction to computer - 1 INTRODUCTION TO COMPUTER ...
Chapter 1 - Computer Programming | PDF
Chapter 1 - Introduction To Computer | PDF | Microcomputers | Central ...
Chapter 1 - Computer System | PDF | Central Processing Unit | Input/Output
Chapter 1 - Chapter 1 A Tour of Computer Systems ####### A computer ...
01 Ch1 Chap1 - dads - Chapter 1 INTRODUCTION TO COMPUTER AND ...
XII Computer Science- Chapter 1-Function | PPTX
Class 11 Computer Science | Chapter 1: Computer Fundamentals | MCQs ...
Chapter 1 of Computer Textbook | PDF
SOLUTION: Introduction to computer chapter one - Studypool
CLASS XII COMPUTER SCIENCE NOTES CHAPTER 1 Chapter 1 Exception Handling ...
Microprocessor ch-1 - Computer Engineering - Studocu
Introduction To Computer Engineering 1 | PDF | Computer Data Storage ...
Computer Science Chapter 1 Notes - Computer Science Chapter 1 Notes ...
Chapter 1 Basic Computer and Their Functions | PDF | Computer Data ...
Chapter 1 Introduction Software engineering 1 Topics covered
Computer Chapter - 1 (Computer System) | PDF
Unit - I: Chapter - 1 Basic Structure of Computers | PDF | Computer ...
Chapter 1 Computer Concept | PDF | Central Processing Unit | Personal ...
Notes PDF Chapter 1 - Overview of a Computer PUC Computer Science - 1 ...
Computer Science chapter 1 - Studocu
Introduction to computer engineering | PDF | Integrated Circuit | Very ...
CCC Chapter 1 Introduction To Computer | PDF | Central Processing Unit ...
Chapter 1 - Computer Concepts | Computer Concepts & C Programming ...
Chapter - 1 The Computer System | PDF
Chapter 1 Computer Overview | Computer Organisation | lec 2 |Class 11 ...
Chapter 1 Computer Fundamentals (XI) (1).pptx
Chapter 1 Computer Abstractions and Technology | PDF
W1 Module 1 Computer Engineering Defined - EGRD-ITE6101C - StuDocu
SOLUTION: Computer science notes chapter 1 - Studypool
Class 6 Computer Chapter 1 Overview | PDF | Computers | Technology ...
SOLUTION: Class xi ncert chapter 1 computer system - Studypool
Introduction to Computer Engineering | PDF | Computer Engineering ...
Chapter 1 Software Engineering | PDF | Software | Software Engineering
Class 10 Computer Science Chapter 1 Introduction To Computer Network | PDF
Chapter 1: Introduction - Computer Science & … / chapter-1-introduction ...
SOLUTION: Ict cambridge igcse theory notes chapter 1 computer system ...
Class 11 || Computer Science || Chapter 1 || Computer System - YouTube
Chapter 1 | PDF | Central Processing Unit | Computer Architecture
Chapter 1 Computer System Overview | PDF
CHAPTER - 1 Computer System | PDF | Computer Data Storage | Byte
SOLUTION: Unit 1 basic computer engineering - Studypool
Introduction To Computer Engineering | PDF | Computer Engineering ...
Chapter 1 - Computer Abstractions Technology432 | PDF | Central ...
PPT - Chapter 1 Computer System Overview PowerPoint Presentation, free ...
Computer Chapter 1 Introduction of Computer | PDF
Computer Engineering | PDF
Chapter One - Introduction - All Parts | PDF | Computer Programming ...
Chapter-1 Introduction To Computer | PDF | Computer Science ...
Chapter 1 Introduction
Chapter 1 - Introduction and Basics - Chapter 1 - Introduction and ...
Chapter1 Introduction to Computer System #1 | For Per-Engineering ...
Chapter 1 Introduction - Chapter 1: Introduction Introduction: A ...
1. ch 1 Introduction to computer science.ppt
Chapter 1 Introduction - CHAPTER 1 INTRODUCTION The Architecture of the ...
chapter 1
SOLUTION: Chapter1 computer fundamentals and programming - Studypool
Chapter 1 | PDF | Integer (Computer Science) | 64 Bit Computing
Chapter 1 - PPT - Chapter 1 Overview of Computers & Programming ...
Chapter 01 - Introduction to Computers and Programming - chapter 1 ...
Chapter 1. Introduction to Computers and Programming
Chapter1 Computer System Overview.ppt
Chapter 1 Introduction. - ppt download
NCERT Book for Class 11 Informatics Practices Chapter 1
Chapter 1 computers | PPTX
Chapter 1 - Computers and IT | PDF | Personal Computers | Integrated ...
Chapter 1: Overview of Computers and Programming | Lecture notes Logic ...
Chapter 1 - Computing System | PDF
Chapter 1 Introduction to Computers and C Programming
Class_9_Computer_Science_Chapter_1_Presentation.pptx