Showing 120 of 120on this page. Filters & sort apply to loaded results; URL updates for sharing.120 of 120 on this page
Cepstrogram — AudioFlux 0.1.8 documentation
1: Cepstrogram (top) and waveform plot (bottom) of "The Glow Pt. 2" by ...
Power cepstrogram for straight course: (a) negative power cepstra and ...
Cepstrogram (intensity plot showing temporal variation of cepstrum ...
Power cepstrogram for 200m circle: (a) negative power cepstra and (b ...
Cepstrogram of the CMMNO data. | Download Scientific Diagram
Time delays in autocorrelogram and cepstrogram when two jet aircraft ...
CPPS obtenido desde el Power cepstrogram representado en la figura 2 ...
(Color online) The cepstrogram for the same UAV considered in Fig. 2 ...
2-D projection from the cepstrogram of an audio signal corresponding to ...
Sample cepstrogram of one output signal from the ICA algorithm ...
pdf map of the speed profile based on the Surveillance 8 cepstrogram ...
Illustration of ͑ a ͒ spectrogram and ͑ b ͒ cepstrogram for multiple ...
1. Cepstrogram derived from spectrogram | Download Scientific Diagram
Relationship between STFT, spectrogram, CVD and cepstrogram [18]. ©2019 ...
Pdf map of the speed profile based on the CMMNO cepstrogram after ...
Application of uniform LBP analysis to a cepstrogram to obtain the ...
pdf map of the speed profile based on the ship generator cepstrogram ...
Figure 1 from A Study of Using Cepstrogram for Countermeasure Against ...
Table 1 from A Study of Using Cepstrogram for Countermeasure Against ...
A Study of Using Cepstrogram for Countermeasure Against Replay Attacks ...
Full code of Cepstrogram Algorithm using Audio data(Matlab) - YouTube
Dimensionality reduction and visualization for cepstrogram based ...
(PDF) Cepstrogram and its application to speech analysis
PPT - PHONOLOGY and the art of Automatic Speech Recognition PowerPoint ...
Spectrogram explained - YouTube
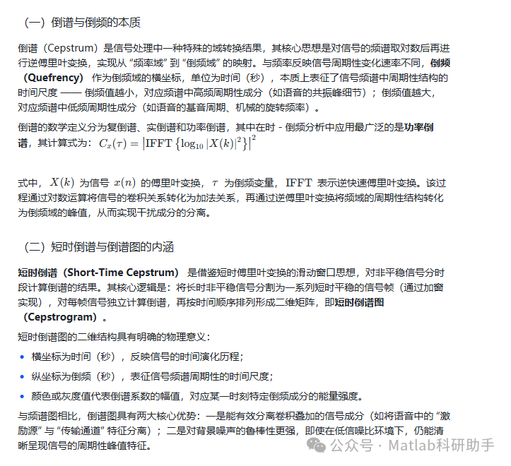
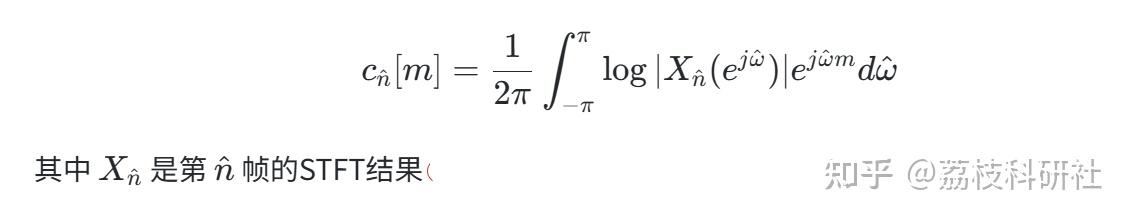
通过短时倒谱(Cepstrogram)计算进行时-倒频分析研究附Matlab代码_cep的计算方式matlab-CSDN博客
Radar micro-Doppler mini-UAV classification using spectrograms and ...
Figure 4 from Radar micro-Doppler feature extraction using the ...
Mel-cepstrogram for the signal in | Download Scientific Diagram
The R&D Pipeline Continues: Launching Version 11.1—Stephen Wolfram Writings
Short-time Cepstrum (Cepstrogram) with Matlab - File Exchange - MATLAB ...
Error rates vs. feature dimensions for spectrogram, cepstrogram, CVD ...
Pitch trace visible in cepstrogram. | Download Scientific Diagram
3.8. The cepstrum, mel-cepstrum and mel-frequency cepstral coefficients ...
Numerical and Experimental Studies on the Micro-Doppler Signatures of ...
Cepstrogram: Plot of the cepstrum over time—Wolfram Documentation
Scatter plot (model: CNN, SNR: 0 dB, features: "Spectrogram ...
A Cepstral Peak Prominence (CPP) Voice Analysis in Iranian Post-lingual ...
Multi domain frequency transformations (a) RTI, (b) Spectrogram, (c ...
Figure 2 from Radar micro-Doppler feature extraction using the ...
Cepstrogram—Wolfram Language Documentation
信号(瞬时)频率求解与仿真实践(2)_微多普勒 herm线-CSDN博客
通过短时倒谱(Cepstrogram)计算进行时-倒频分析研究(Matlab代码实现) - 知乎
Spectrograms and cepstral coefficients for (a) and (b) whistles, (c ...
Detailed steps in the method, where path (1) creates the linear-power ...
通过短时倒谱(Cepstrogram)计算进行时-倒频分析研究附Matlab代码-CSDN博客
Figure 1 from Radar micro-Doppler feature extraction using the ...
Spectrogram of the first significant cry unit, FC. Each asterisk ...
通过短时倒谱(Cepstrogram)计算进行时-倒频分析研究(Matlab代码实现) - 荔枝科研社 - 博客园
Clean and noisy images from the " Cymbals " sound class. (a) Linear ...
Cepstrogram: Microphone Short-time Cepstrum - YouTube
What is Cepstral Analysis? - Sensemore
The Depth Distribution Law of the Polarization of the Vector Acoustic ...
Multipath delay versus time for same aircraft transit considered in ...
(PDF) Spectrogram Image Feature for Sound Event Classification in ...
PPT - Speech and Audio Processing and Coding (cont.) PowerPoint ...
Graphical interpretation of cepstrum. | Download Scientific Diagram
PPT - Wide/Narrow Band Spectrograms PowerPoint Presentation, free ...
Graphical illustration of AVQI of patient III: A Oscillogram ...