Showing 120 of 120on this page. Filters & sort apply to loaded results; URL updates for sharing.120 of 120 on this page
probability - In trouble with CDF graph - Cross Validated
Statistics 3.2.3 Inverse Probability from CDF Graph - YouTube
Cumulative distribution function (CDF) graph of receive signal strength ...
How to explain a CDF graph with compare to a comparison scheme ...
Normalised cumulative density functions (CDF): In the upper graph the ...
(a) Graph of PDF. (b) Graph of CDF. | Download Scientific Diagram
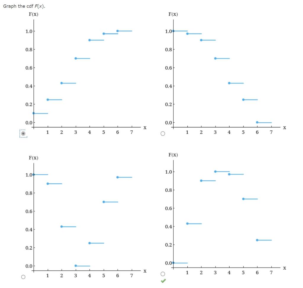
Solved Calculate the cdf F(x). Graph the cdf F(x).= 4 ⋮the | Chegg.com
The H CDDF (left panel) and fractional contribution to Ω H per column ...
Graph which shows comparison of CDF's | Download Scientific Diagram
CCDF Graph
The joint CDF graph corresponding to each copula | Download Scientific ...
cumulative distribution function - CDF Graph looks weird - Cross Validated
Average speed CDF graph under different levels of influencing factors ...
The graph of c.d.f of SD for different values of parameters. | Download ...
The daily average CDDF curves of the observed (1971-2000) and future ...
CDF of users' capacity with graph threshold δ th = 0.33 optimized for ...
CCDF comparison (a) Comparison graph of CCDF in terms of IIFT length ...
The graph of the estimated cdfs for δ = 0.7 and δ = 0.1 are presented ...
What is the CDDF | CDDF
CDDF | CDDF is the platform for all stakeholders involved in the ...
Graph paper drawings cdf – Artofit
Solved: Graph the line. y=5x-3 [Math]
Solved: Graph the solution to the following system of inequalities. y≥ ...
Solved: Complete the tables, and graph the corresponding ordered pairs ...
Network Graph · doufiner/dy2607 · GitHub
Solved: Play In the graph below, J'K'L' is the image of JKL Simplify ...
SciPy - stats.norm.cdf() Function
Probability Distribution | Traffine I/O
1.3.6.2. Related Distributions
Cumulative Distribution Function
Cumulative distribution function plot > Frequency distribution ...
The ABCs of CDFs: A Beginner’s Guide to Machine Learning | by Akash ...
How to Plot a Cumulative Distribution Function CDF of a Pandas Series ...
statistical significance - Odd behavior from a normal distribution ...
How to Calculate & Plot a CDF in R
Discrete and CDF Graphs Updated - YouTube
probability - How to interpret this CDF (cumulative distribution ...
Cumulative Distribution Function CDF | Download Scientific Diagram
Cumulative Distribution Function (CDF): Uses, Graphs & vs PDF ...
This figure shows the cumulative distribution function (CDF) of ...
Continuous Probability Distributions - GeeksforGeeks
Cumulative Distribution Functions and Probability Density Functions ...
Complementary cumulative distribution function (CCDF) of the FD ...
r - plot the theoretical cdf - Stack Overflow
How to Plot a CDF in Excel
How to Plot a CDF in Excel - Sheetaki
Statistics & Flood Frequency Chapter 3 – Part 1 - ppt download
Solved I have this code that's creating a cdf graph, however | Chegg.com
Cumulative Distribution Func. (CDF).
Reading (E)CDF graphs — Battlemesh Tests 1 documentation
Combining Multiple CDF Graphs Updated - YouTube
Complementary cumulative distribution function (CCDF) a, CCDF comparing ...
Cumulative Distribution Function (CDF) graphs of model build times for ...
Empirical cumulative distribution function (CDF) graphs showing the ...
How to Plot an Exponential Distribution in R
Graphs of estimated cdf's. (color figure available online) | Download ...
New Originlab GraphGallery
probit or logit: ladies and gentlemen, pick your weapon - The Stata Blog
Solved PDF and CDF Graphs and Tables Enter all values in | Chegg.com
【杂谈一之概率论】CDF、PDF、PMF和PPF概念解释与分析
CDF Graphs Comparison for the Different Strategies under Improved ...
CDF plots and mislabeled samples
Graphs of empirical cdf and confidence band | Download Scientific Diagram
probability - Understanding the CDF graphically - Cross Validated
The CDF graphs for various path geometries used to evaluate the ...
ccdf plot
Instance attack: an explanation-based vulnerability analysis framework ...
Comparison of the complementary cumulative distribution function (CCDF ...
CDF graphs represent distribution of consecutive read sequences among ...
功率统计互补累积分布函数(CCDF)测量 - 知乎
CCDF for the graphs at different levels | Download Scientific Diagram
(a) Graphs of estimated cdfs; (b) graphs of estimated pdfs for breaking ...
CCDF plots of nine actual networks. The horizontal axis displays the ...
How Do You Interpret a CCDF Plot? - YouTube
Telemetry Alerting: How It Works – Mozilla Performance
Argentine peso to Congolese francs Exchange Rate Today | MoneyConvert
Nashville, Illinois evacuated with dam failure 'imminent'
Canada National News & Analysis | Yahoo News Canada
Bitcoin hits a wall – the chart just challenged the $88,000 bull case
Local startups in Tyler use A.I. to revolutionize industries
Exchange rate of 5000 CNY for CDF today
Newgate Road © T Eyre cc-by-sa/2.0 :: Geograph Britain and Ireland
Latest UK news and top stories | Yahoo News UK
EZQuest Reveals A New Line Of Pro Series USB-C Hubs For MacBook Neo
World News & Analysis | Yahoo News Canada
Donald Trump News
Latest Political News, Updates, and Analysis - Yahoo News
How a Surprise Onstage Reunion of Johnny Cash, Jerry Lee Lewis, and ...
Latest news and today's top stories | Yahoo News UK
Solved: Select the correct answer. Each statement describes a ...
Serbian dinar to Congolese franc Chart - RSD/CDF Exchange Rate History ...
Poppy Playtime 5: Merge Battles: Play Online For Free On Playhop
Celebrity News - Latest Headlines on Hollywood, Relationships, Fashion ...
World News - Latest and Breaking Coverage - Yahoo News
Zelenskiy seeks new Trump meeting as peace negotiators tackle land ...
Australian News | Yahoo News Australia
Evergreen (EVERGREEN) Bubble Tornado 3/8oz # 27 Chart Shad (japan
Latest TV and Streaming Show News and Updates, How To Watch Guides, and ...
Servico-de-notificacao-simples-com-kafka/consumerNotificacao/src/main ...
Taux de change de Franc congolais (USD/CDF) aujourd’hui en République ...
Congolese franc to Omani rial Chart - CDF/OMR Exchange Rate History ...
Noticias de América Latina en Yahoo en Espanol
Alan Osmond, the eldest member of the Osmonds, has died at 76 ...
Tanska viime hetken shokkivoittoon Portugalissa | MTV Uutiset
UK house prices rise 2.8% in 12 months to July | Reuters
Is Eni Positioned to Capitalize on Rising LNG & Power Demand? - The ...
Viomi (VIOT) Stock Cancelled Order (Touches Low) 2026-04-20 - Earnings ...
PLANT ADV.TECHNOL. Chart-Vergleich | Chart-Signal - boerse.de
Noticias de Ecuador - Noticias, guías y análisis en Yahoo Español