Showing 120 of 120on this page. Filters & sort apply to loaded results; URL updates for sharing.120 of 120 on this page
Rapport Annuel CDCB 2020 | PDF
Application sample | PDF
CDCB - Careers | Katie Schmitt
New, Board-Approved CDCB Strategic Plan | Dairy Business News
How To Lookup ADGA Milk Records on CDCB database
CDCB - Activity Reports | COUNCIL ON DAIRY CATTLE BREEDING
CDCB Research Updates - YouTube
Understand NAAB Code and CDCB Score - YouTube
Learn about the research underway at CDCB that leads to new genetic ...
CDCB fee schedule for Genomic Evaluation
CDCB integrated documentation system
cdcb posted on LinkedIn
We are looking for contractors! | cdcb
CDCB Genetic Evaluations
Repair and Renew | cdcb come dream. come build.
CDCB - Genetic Evaluations: Change is in the Air
How to Safely Reassess Variability and Adapt Sample Size? A Primer for ...
36.4 obtaining a capillary sample for glucose testing - 1 Skills ...
SALN Form Sample and Guidelines | PDF | Balance Sheet | Corporations
Sample - Borastapeter Golden Trellis Wallpaper in Brown and Gold | Chairish
Lush Chelsea Morning Sample
Repairing Hair Mask - Sample - CurlyTools
Preowned & Sample Designer Wedding Dresses
D.U.T.C.H Test - Sample Report
Think Break - Yeah Wooo! Remastered | Sample Focus
cdcb - We’re hiring! Join the cdcb team! For full details... | Facebook
Allyssa- BODY Finale - sample immersion portfolio - SHS Work Immersion ...
cdcb - cdcb added a new photo.
CDCB - What else can we do with a milk sample?
cdcb | LinkedIn
140 Powder Blue, 3/4 x 3/4 - Glass Tile - Sample | Glass tile, Glass ...
I’m excited to lead this conversation at the 2024 CDCB Industry Meeting ...
cdcb | Brownsville TX
CDCB reopens to help with rent and utility assistance | KVEO-TV
Medical Assistant Cover Letter Sample
Tigress Navy Wallpaper Sample | Navy wallpaper, Animal print wallpaper ...
Brownsville’s CDCB says many county residents don’t claim homestead ...
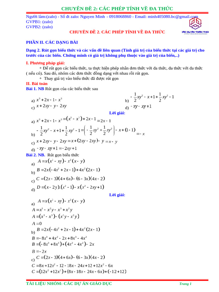
CDCB Toan 8 Cd2 d2 Cac Phep Tinh Ve Da Thuc | PDF
Sự CDCB HH | PDF
4 Million Genotypes Announced by CDCB | Dairy Business News
DC Practice EXAM - ON-LINE EXAMINATION INSTRUCTIONS SAMPLE MMM132 ...
Sample Sale Fish Earrings Handpainted on Organic Cotton Aegean Greek ...
Sample Report Global Biotechnology Market | PDF | Biotechnology ...
cdcb on LinkedIn: We're looking for volunteers to help us fill out ...
Sample Coolers
Mauricio Pina on LinkedIn: We had a full day of training at cdcb so we ...
Q4 PETA-No - PERFORMACNE TASK SAMPLE - Republic of the Philippines ...
Ella Rosa Sample Wedding Dress Save 77% - Stillwhite
CDCB Genomic Dictionary - CDCB collaborator portal - CDCB integrated ...
Instagram photo by cdcb come dream. come build. • Oct 30, 2024 at 9:43 AM
La CDCB recrute 20/07/2025 Bénin - EmploiTogo.INFO
Sample - Name: JAIRUS AGBISI STUDENT NUMBER: 201911497 OUTPUT# Year and ...
Free Sample Chute Mag Stainless Steel Vacuum Insulated - Buy Lava ...
Chapter 3 Sample Problmes - Chapter 3 – Sample Problems In its recent ...
Yesterday marked my last day as CDCB Covid Ops Liaison with the State ...
SF9 Card Grade I Sample Template 2025-2026 | DOCX
Schematic illustrations of (a) DCB sample fabrication method, (b ...
How Can I Find My Tax File Number Online On Mygov - Templates Sample ...
CDCB என்பது என்ன? Centre for Dairy Cattle Breeding #dairyfarmingtips # ...
clipboard-202412270939-0hdca.png - CDCB collaborator portal - CDCB ...
Katie Schmitt on LinkedIn: CDCB - December 2023 Evaluation Changes ...
CDCB - 2022 CDCB Meeting: Genetics Are Key to Dairy Sustainability
cdcb YouthBuild, Brownsville, TX 78526
Export Sample | PDF | Consumer Goods | Freight Transport
Solved A simple random sample of size n=41 is obtained from | Chegg.com
What Role Does Inbreeding Play in Genetic Base Changes? - Dairy Producer
From DNA to Genetic Merit | Cornell Applied Dairy Cattle Genetics
PPT - Imputation PowerPoint Presentation, free download - ID:2101648
Staff
How to check bull latest data on CDCB| All bulls have NAAB code can be ...
Council on Dairy Cattle Breeding (CDCB) Export Tool | Thermo Fisher ...
The Community Development Financial Institution (CDFI) Fund is the most ...
Introducing Powered by CDCB! The U.S. dairy industry will soon see a ...
【纽勤干货】CDCB介绍系列二:美国奶牛育种委员会育种体系等内容介绍 - 知乎
【纽勤干货】2025年4月CDCB评估:有什么新消息? - 知乎
Where do genetic evaluations come from?
El nuevo mánager Tony Vitello busca enderezar a los Gigantes tras 3-8 ...
云南普洱学院民族啦啦操队获世锦赛季军载誉归来_新华网
EP Yaying | Small Fragrance Style Knitted Cardigan | Rose Red
CDB 文件,如何打开或转换? | FileDesc.com
We’re hiring! For full details and to apply, visit: https://cdcb.org ...
#4272551 - e621
Solved Based on the class sample, you will "create" a 95% | Chegg.com
Topic 1.6 CDB | PPT
Documenting cdb's in cims | PDF
Individual tickets are now available for cdcb's 50th Anniversary ...
SVANDA CLAAT 12: OTEC MIREC, FRALAA, POKYMAN, SIMPLE SAMPLE, MESS, BASS ...
haimiya mio (original) drawn by kamiyama_sumu | Danbooru
CDCB-AJCA August Official Genetic Evaluations
How do I load samples onto the M8? : r/m8tracker
Introducing… The New www.uscdcb.com! | Dairy Business News
Pin on Funny Scooby-Doo memes
PMM353SAMPLE Porter Matt Regiment 355x297mm (sample door) | PWS ...
A schematic view of a Contoured Double Cantilever Beam (CDCB ...
Our Communities
The Big ImageBoard (TBIB) - 1girl aqua eyes breasts brown hair cleavage ...
kaito (vocaloid and 1 more) drawn by parang_99 | Danbooru
Table 1 from Clinical features and comorbid psychiatric disorders in ...
(a) Chemical structures of CDCB-derived heavy-atom-free sensitizers for ...
Wk3twb - enjoy - Week 3 One-sample tests Learning outcomes: Be able to ...
CDCB's Producer Advisory Committee (PAC) was established five years ago ...
【表情全8種】ジャージ天使 | SKIMA(スキマ)
(PDF) CDCDB: Continuously Updated Drug Combination Database
Career Wise August 2010 Cdb Edition | PPT
HG003 Black Galaxy Engineered Stone Stone & Brick Pattern Color Choose ...
(PDF) Causal relationship between basal metabolic rate and kidney ...
Premium Vector | Cdb letter logo design
Expression of CDC25B in surgical specimens | Download Scientific Diagram
GitHub - Dhatrijanch/Sample_01: sam1ple repository for test
cdc25B Antibody | Cell Signaling Technology
Club - 𝘼𝙇𝙀𝙉𝙏𝙀𝙈𝙊𝙎 𝙅𝙐𝙉𝙏𝙊𝙎 𝘼 𝙇𝘼 𝙉𝘼𝙍𝘼𝙉𝙅𝘼 𝙈𝙀𝘾𝘼𝙉𝙄𝘾𝘼!!!🧡🔥 Club Deportivo Casa ...