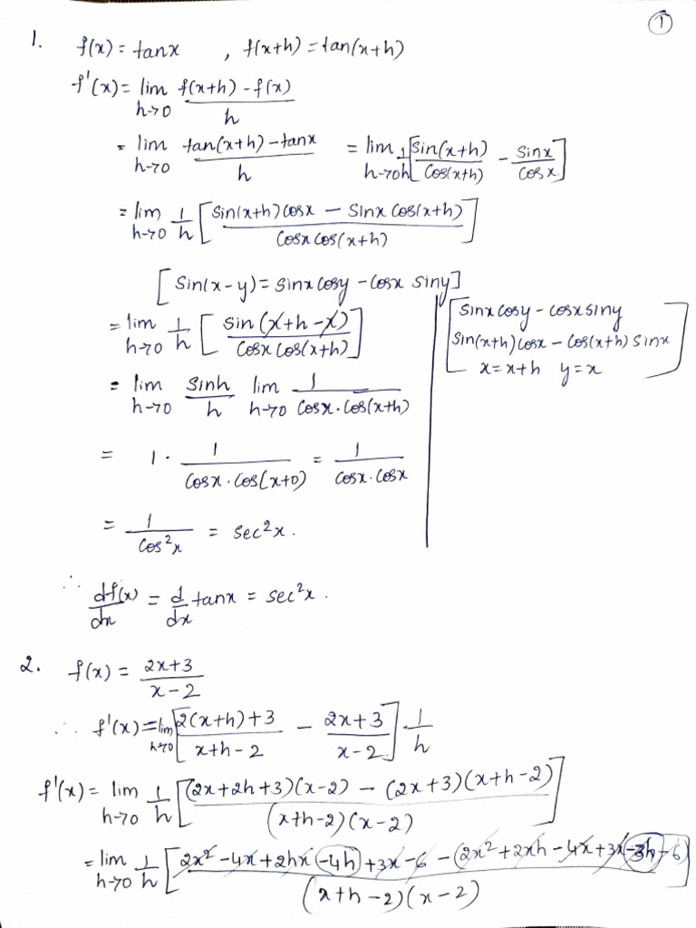
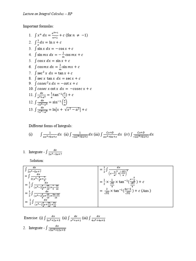
Showing 118 of 118on this page. Filters & sort apply to loaded results; URL updates for sharing.118 of 118 on this page
Differentiation Formulas Explained with Examples | Calculus Basics ...
Calculus AB Formulas and Derivatives Explained | Course Hero
Basic Calculus Formulas including the definite integral, improper ...
Calculus Formulas - Differential and Integral Calculus Formulas
IB Math AA - Calculus HL Formulas | PDF
Basic Calculus Formulas
Integral Calculus Formulas Newton Leibnitz's Formula
Calculus Explained for Beginners (with Examples) - YouTube
Calculus 3: Partial Derivatives Explained | Multivariable Calculus Made ...
Explanation of a Derivative in Calculus : Calculus Explained - YouTube
calculus 2 - theorems, formulas and defenitions Flashcards | Quizlet
Understanding Definite Integrals and Calculus Concepts Explained ...
Examples of the Limit Formula in Calculus Explained
Derivative Formulas in Calculus - GeeksforGeeks
Calculus Formulas Compiled by Srabon - Calculus Formulas Type 01: Anti ...
SOLUTION: Calculus formulas derivatives integrals arcs moments ...
Calculus Limits Explained at Margaret Cambell blog
List of Calculus Formulas-basic Properties and Formulas of Integration
SOLUTION: Calculus formulas made easy - Studypool
Calculus integrals reference sheet with formulas eeweb – Artofit
Calculus formulas | Differential and Integral Calculus formula
Integral Calculus Formulas
Calculus Formula.pdf - Calculus Formulas Differentiation Formulas ...
SOLUTION: Calculus formulas and theorems - Studypool
Calculus Formulas: Differential & Integral Formulas with Examples
Calculus Cheat Sheet: Formulas for Derivatives & Integrals - Studocu
Calculus Formulas and Concepts for Differentiation, Integration, and ...
SOLUTION: Math formulas integral calculus - Studypool
Calculus Limits and Derivatives Explained | PDF | Teaching Methods ...
What are Integrals and Derivatives? Calculus Explained
Differential & Integral Calculus Formulas | PDF | Function (Mathematics ...
Differential Calculus Concepts Explained | PDF | Function (Mathematics ...
Calculus 101: Derivative & Integral Formulas Overview - Studocu
Differential and Integral Calculus Formulas | PDF
SOLUTION: Calculus formulas - Studypool
Calculus formulas - Study online at quizlet/_4485do 0 derivative of a ...
Calculus 1 formulas (Part 1) - MATH 111 - Studocu
Integral Calculus Formulas & Solutions | PDF | Logarithm | Integral
SOLUTION: Integral calculus formulas and examples - Studypool
Calculus Formulas List
Calculus Differentiation - Mathletics Formulae and Laws Factsheet
Calculus Cheat Sheet: Derivatives, Integrals, Limits (PDF) - Etsy
Calculus Integrals Reference Sheet - Electronics Tutorials
Calculus Cheat Sheet in PDF Format - Derivatives, Limits, Integrals ...
Calculus - Derivative Rules (formulas, examples, solutions, videos)
Differential and Integral Calculus Formula | PDF
Differential Calculus (Formulas and Examples)
Calculus-Formulas - all the formulas - Source: adapted from notes by ...
Differential Calculus Formula Sheet | PDF | Curvature | Differential ...
Solve Calculus Problems Step-by-Step Online | Mathz AI Guide | Mathz AI
Derivatives And Integrals Explained at Scarlett Foy blog
Differential Calculus
Understanding The Fundamental Theorem Of Calculus Fundamental Theorem
Calculus 1 Study Guide with Formulas, Examples, Practice Problems and ...
Fundamental Theorem Of Calculus Formula
Calculus Formulas, Definition, Problems | What is Calculus Math?
Integral Calculus - Formulas, Methods, Examples | Integrals
CBSE Class 12 Maths Formulas: List of Important Formulas
Differential Calculus Formula | PDF | Mathematical Analysis | Calculus
SOLUTION: Calculus formulas(integration & differentiation) - Studypool
Math Formulas - List, Sheet & PDF Download
Integral Calculus Formula Sheet | PDF | Trigonometric Functions | Area
Differential Calculus Basics
Formula Calculus - Mathematical Science - Studocu
Differential Formulas
Learn Calculus 1 From Zero - Full Course for Beginners | Derivatives ...
derivatives and limits | Math methods, Studying math, Math formulas
Symbols used in Calculus
“Prove” 0 = 1 Using Calculus Integration By Parts – Mind Your Decisions
Multivariable Calculus Cheat Sheet
Integral Calculus: Basic Integration Rules, Problems, Formulas | @ProfD ...
Calculus Formulas: Derivatives, Integrals, Series
Calculus 2 Formula Sheet | PDF
Calculus Derivatives and Limits Reference - Electronics Tutorials
Formation in Calculus
Calculus 1: Derivatives Formula Sheet for Quick Reference - Studocu
Integral Calculus V2 Formula Sheet | PDF | Trigonometric Functions ...
Limit Laws to Evaluate Understand Limits Ap Calculus AB BC Exam ...
Algebra Math Equations Formulas Learn Algebra Formulas – Understand
Calculus Formulae (All in 1-Deriv.,Integ.,Lims.,) | PDF | Maxima And ...
Calculus: Explained (pt.6) (Integration) | by Yashrajvishwakarma | Medium
Calculus II Formula Sheet: Integrals, Trig, Series, Limits
Integral calculus formula sheet | PDF
Mathematical Formulas | PDF
Epic Calculus Formula Sheet AB Derivatives Limits Integrals ...
CALCULUS 1 | The Fundamental Theorem of Calculus (derivative of ...
Grade 12 Calculus & Vectors Formula Sheets | The Study Shop
Simple Math Formulas
Basic Formulas and Rules for Derivatives and Integrals | PDF ...
Calculus Made Understandable for All: Limits - HubPages
Master Calculus: Derivatives, Integrals, and Rules Explained | Course Hero
Basic math formulas poster – Artofit
Limits And Derivatives Explained: Key Formulas And Applications
Calculus - TheDentech.com
Calculus Formula - Differential and Integral Calculus - Studocu
Basic Math Formulas
Calculus, Better Explained: Summary – BetterExplained
Resources
Calculus: Building Intuition for the Derivative – BetterExplained
Calculus: Complete Guide to Derivatives, Integrals, and Limits
What Is Calculus? A Beginner's Guide to Limits and Differentiation ...
Math Formula Chart | Math formula chart, Math formulas, Basic math
Calculus-formulas.pdf
Complete Guide To Integral Calculus: Formulas, Techniques, And Uses
Calculus- Definition Medical Terms at Kyle Rodriguez blog
Mathematics - Calculus, Derivatives, Integrals | Britannica
SOLUTION: Calculus:- Important Formulas, Derivations and Theoram Limits ...
Definite Integral Upper And Lower Limits
Integral Calculus-Formula Chart | PDF