Showing 120 of 120on this page. Filters & sort apply to loaded results; URL updates for sharing.120 of 120 on this page
Cable Classification As Per Shell DEP | PDF
Cable Tray Clearances As Per Shell DEP | PDF | Technology & Engineering
Cable Tray Clearances As Per Shell DEP | PDF
Cable Tray Segregation and Clearance Rules | PDF | Technology & Engineering
Shell Dep | PDF
Shell DEP Index | PDF | Refractory | Heat Exchanger
Shell DEP Standards Overview | PDF | Underwater Diving | Welding
SHELL DEP STANDARS FOR PROCESS DIAGRAMS - YouTube
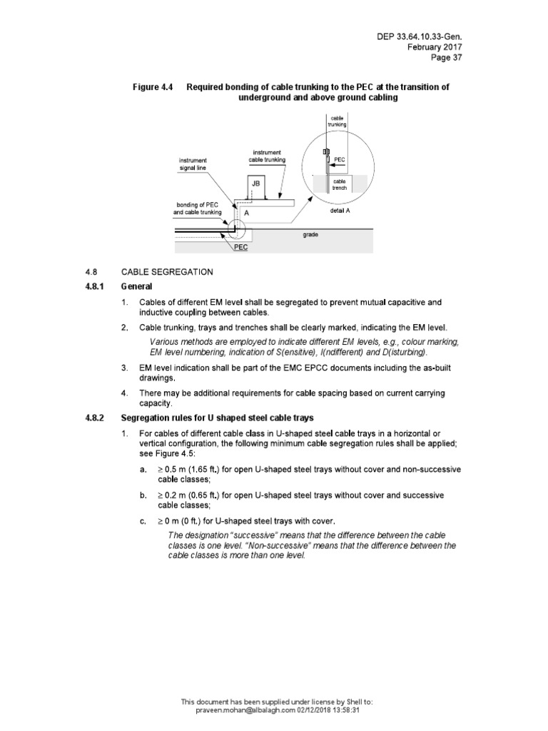
Cable routing and segregation
Why Proper Cable Segregation Inside Panels Improves Safety and Performance
AC & DC Cable segregation underground - Wiring and the Regulations BS ...
Shell DEP 31.38.01.10-Gen: Piping Classes – Basis of Design
under ground cable document | DOCX
Cable Separation Standards | Winnie Industries
Separate Electrical Cables | Safety Hooks & Cable Management
Applied Sciences | Free Full-Text | Optimisation of Segregation ...
Segregation of telecommunications and electrical cabling - Port Moresby ...
Electromagnetic Compatibility: Cable Selection & Routing
Simplified Cable Separation Formula for Data Centers - Northern Link
Power Cable And Control Cable Separation at Luca Schonell blog
Ac And Dc Cable Separation at Phyllis Lee blog
Technical Guidelines for Cable Tray Installation and Fireproofing ...
(a) Schematic representation of the main components of the DEP ...
PPT - Electrical Trunking PowerPoint Presentation, free download - ID ...
EMC for Systems and Installations: Part 2 - EMC techniques for ...
What do I need to know about installing data and telecommunication ...