Showing 119 of 119on this page. Filters & sort apply to loaded results; URL updates for sharing.119 of 119 on this page
CW Programming Concepts Sept 2010 | PDF | Trigonometric Functions ...
C Programming Note | PDF | Fahrenheit | Computing
Science Programming - CW - Class Notes To print something, type print ...
CW - Files & Stack - CW With Solution | PDF | Programming Paradigms ...
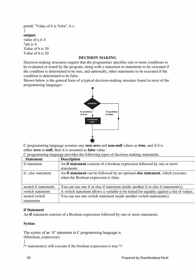
C programming complete notes - LECTURE NOTE on PROGRAMMING IN “C ...
C Programming Notes - good - C PROGRAMMING NOTE 1 Introduction Contents ...
SOLUTION: C programming note - Studypool
C programming language Reference Note
The CW Programming Directory | Channel Canada
CW Announces Spring Programming | mychiller Extra
eg cw note | PDF
C Programming Note | PDF | Integer (Computer Science) | Data Type
Unit 2 Programming Notes | PDF | Parameter (Computer Programming ...
SOLUTION: C programming language notes - Studypool
C PROGRAMMING Notes | PDF | Pointer (Computer Programming) | Parameter ...
C Programming Notes | PDF | Pointer (Computer Programming) | Control Flow
ProgPara_CW_24_25 | PDF | Computer Programming | Functional Programming
Computer Programming Notes | PDF | C (Programming Language) | Computer ...
learn basic to advance C Programming Notes | PDF
Best C Programming Notes | PDF
C++ Programming Notes - Trailhead Titans Hub
C Programming Notes_21759696 | PDF | Parameter (Computer Programming ...
Detailed C Programming Notes For BCA, MCA | PDF | C (Programming ...
C Programming Notes: Basics, Data Types & Operators Overview - Studocu
Programming Notes Unit 1 | PDF | C (Programming Language) | Programming ...
C programming notes.pdf
C PROGRAMMING Notes | PDF | Computer Programming | C (Programming Language)
Notes On C Programming - Notes - LearnPick India
C Programming Basics Notes for beginners | PDF
Dbms Lab CW Notes | PDF
SOLUTION: C programming short handwritten notes - Studypool
The Best CW Practice Programs #cw #morsecode - YouTube
CW Sham Notes_Chp3_wavemotion(CWS) | PDF
Cw Tv Logo Two Virginias' CW
Note
An illustrated example of the CW | Download Scientific Diagram
The CW launches, new combined CW app | weareiowa.com
CW Press | THE CW LAUNCHES NEW CW APP
CW Movies | The CW Network
CW Press | THE CW NETWORK SETS SPRING 2025 PREMIERE DATES FOR NEW AND ...
List of programs broadcast by The CW - Wikipedia
SOLUTION: C programming complete handwritten notes - Studypool
C Programming Notes | PDF | C (Programming Language) | Pointer ...
C Programming Notes | PDF | C (Programming Language) | Data Type
C Programming Notes - Trailhead Titans Hub
CW Guide | PDF | Pitch (Music) | Amateur Radio
CW and CCW Operation of Motor from Same Start Push button
C Programming Notes | PDF | Programming | Computer Program
Programming With c notes Final with sample programs - PROGRAMMING WITH ...
C Programming Notes PDF | Color Handwritten Notes
C Programming Handwritten Notes PDF Download
C programming notes for the students - Docsity
Gorang C - c programming notes - Practical File Of Fundamentals of C ...
The CW: New Programming Focuses on Sports and Unscripted
“C Programming Notes” - “C Programming Notes” Introduction to C ...
C Programming Notes | PDF | C (Programming Language) | Computer Programming
Guide to your first steps in CW - Operating Modes/Morse code/Learning ...
Programming Notes Unit 2 | PDF | Control Flow | Parameter (Computer ...
PPT - An Amateur Radio Operator’s Overview of Operating in CW Mode ...
Programming Notes - simple - Notes on Programming Notes on Programming ...
CS3251 Programming in C Notes | PDF | Data Type | Pointer (Computer ...
C Programming Handwritten Notes | PDF
Computer Programming Notes | PDF | Data Type | Computer Programming
C programming handwritten note: C programming handwritten notes for ...
PPT - Explore CW - A Mini Class on Morse Code Transmission PowerPoint ...
G6 - CSC Ln.6 - CW Notes | PDF
C++ Handwritten Notes (Download C++ Programming Notes PDF)
C Programming Notes. | PDF
COMP1549 2023 CW description main - COMP (2022/2023) Advanced ...
C-Programming Notes | COMP1511 - Introduction to Programming - UNSW ...
Mid Year Lessons CW Notes - 24 - 25 | PDF
Computer Programming - Notes Only - COMPUTER PROGRAMMING LECTURE NOTES ...
Grade 5 LN 2 CW Notes | PDF
CW Keyboard Program
The CW | PureHistory
KB: How to generate a CW (Continuous Wave) signal for a certification test?
CW Press | The CW
C++ Programming Handwritten Notes - 2026
CW Logo Download in SVG Vector or PNG File Format
Computer Programming Notes Part1 | PDF | Data Type | Variable (Computer ...
Cw revision | PPTX
PPT - CW Mode (A1A) PowerPoint Presentation, free download - ID:3131352
How to Adjust Your First CW Key - New CW Operators Roundtable #cw - YouTube
Programming Notes For Professionals Books
COMP1029 CW Java - School of Computer Science – Module Assessment Sheet ...
CW programming agreement expired | Page 2 | Xfinity Community Forum
Ac CW Notes | PDF
The sketch map of the CW algorithm. | Download Scientific Diagram
NET Programming Notes | PDF | C Sharp (Programming Language) | Library ...
C Programming Notes _ PROGRAMMING IN C AND DATA STRUCTURE – ADMFZ
The CW has been sold. (Nexstar owns 75%; WB and Paramount hold 12.5% ...
How to calculate the CW and CCW direction of finger touch ...
C Programming Notes ? | PDF
The CW | RK Guide
Structured Programming Notes | PDF | C (Programming Language) | Integer ...
PPT - Introducing CW Academy PowerPoint Presentation, free download ...
C Programming Notes | PDF
JAVA Programming Notes - JAVA Programming Notes Java Programming Notes ...
C-Programming-Notes-Part-4 | PDF
C Language Full PDF Notes.pdf
Computer-Programming - C - Lecture-Notes Acme PDF | PDF | Integer ...
2240 Coding Assignments Cheat Sheet: Cw1 to Cw6 Notes - Studocu
GitHub - Programming-Notes-all-languages/C-Notes: A curated collection ...
gr_6_C_Programming_notes_2019-20 (1) | PDF
CW32量产烧录工具_cw-writer-CSDN博客
CW_Operation - DX Lab Suite Wiki
CW3-Programming-/tasktwosolution.py at main · PaulWANG011/CW3 ...
C HandWritten Notes – Coding Home