Showing 120 of 120on this page. Filters & sort apply to loaded results; URL updates for sharing.120 of 120 on this page
: Draw the Lewis structure for a carbon monosulfide (CS) molecule ...
Draw The Lewis Structure For A Carbon Monosulfide Molecule | Drawing ...
Lewis structure of CS2 - Root Memory
CS2 Lewis structure - Learnool
How to Draw the Lewis Dot Structure for Cs: Caesium - YouTube
Caesium lewis dot structure - dinodun
CS2 Lewis Structure in 6 Steps (With Images)
CS2 Lewis Structure for Carbon Disulfide
Lewis structure of CS2 (Carbon disulfide) - YouTube
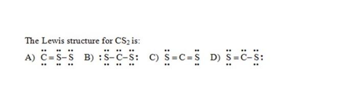
Solved The Lewis structure for CS2 is: | Chegg.com
MakeTheBrainHappy: The Lewis Dot Structure for CS2
Solved Question 11 The Lewis structure for CS2 is: O S-C-s | Chegg.com
Lewis Structure of CS2 (With 6 Simple Steps to Draw!)
Solved The Lewis structure for CS2 is CESS s- о :S-C-S: s- o | Chegg.com
Solved QUESTION 11 The Lewis structure for CS2 is .. . BO A. | Chegg.com
Solved The Lewis structure for CS, is: O =5–5 o:SES .:G: | Chegg.com
Answered: Draw the Lewis structure of CS, and… | bartleby
Draw the Lewis dot structure for CS_2. | Homework.Study.com
Carbon Disulfide Lewis Dot Structure Solved Which Of The Following
What is the Lewis Structure of Carbon Monosulfide?
SOLVED: Question 2: Which is a correct Lewis Structure for CS2? A. S=C ...
Solved Identify the correct Lewis structure for CS₂. : | Chegg.com
CSe2 Lewis Structure in 6 Steps (With Images)
The lewis structure for cszis a 5 5 b cs c s cs d 8 5 17906
Solved The Lewis structure for CS2 is: S¨=C=S¨ C¨=S¨−S¨ | Chegg.com
Carbon Disulfide Lewis Dot Structure
Solved Identify the correct Lewis structure for CS2. | Chegg.com
[Solved] Identify the correct Lewis structure for CS2. O O: S S : O :S ...
CS2 Lewis Structure: How to Draw the Lewis Structure for CS2 - YouTube
Lewis Structure For Cs2: A Complete Guide In 2023 - Qaseem
Cs2 Lewis Structure How To Draw The Lewis Structure For Cs2 Youtube
Answered: S Draw the Lewis structure of CS, and then determine the ...
Lewis Structure of Cs3P, caesium phosphide - YouTube
Cs2 Lewis Structure
Draw the Lewis structure and determine the resonance exhibit for CS_2 ...
Solved Question 15 The correct Lewis structure for CS2 is: : | Chegg.com
Solved Which of the following is the correct Lewis structure | Chegg.com
Solved The Lewis structure for CS2 is: C=5-5 B) :5-C-5: C) | Chegg.com
Lewis Structure of CsBr, caesium bromide - YouTube
Solved Saved Identify the correct Lewis structure for CS2. | Chegg.com
Cs2 Lewis Dot Structure
Draw The Lewis Structure For A Carbon Monosulfide Cs Molecule
Solved Draw the Lewis structure of CS and then determine if | Chegg.com
Solved Question 33 The Lewis structure for CS2 is: A) C = | Chegg.com
Easy Steps to Draw Lewis Structure
Draw the Lewis structure for a carbon monosulfide (CS) molecule.
Iodine Lewis Dot Structure
Solved The Lewis structure for CS2 is: Multiple Choice | Chegg.com
CS2 Lewis Structure ,Valence Electrons ,Formal Charge,Polar or Nonpolar
Solved CS Lewis Structure and Shapes-Beth Single Boods and | Chegg.com
7.109c | How to draw the Lewis structure for CS
Electron Dot Structure For Cs2 Lewis Dot Structure – Easy Hard
Solved The Lewis structure for CS, is shown. What is the | Chegg.com
CS2 Lewis Structure, Geometry, and Hybridization - Chemistry Steps
Estrutura De Pontos Lewis Para Cs2
CS2 lewis structure, molecular geometry, bond angle, hybridization
Predict the correct formula of the following compound using the Lewis ...
Add any nonzero formal charges to the atoms as applicable for the Lewis ...
Consider the substances CS, CS2, and CS32-–. Provide the Lewis st ...
Solved 1- Draw the Lewis structures of OCS and CS2. Which | Chegg.com
Solved New lab ::: Apps Question 17 of 20 Draw the Lewis | Chegg.com
What is the cesium lewis dot structure?
Electron Dot Structure For Cs2
SOLVED: Draw an electron-dot structure for carbon disulfide, CS2 ...
CS2 Lewis Structure, Hybridization, Polarity and Molecular Shape
Lewis Structures | PPT
Công thức Lewis của CS2 (Carbon disulfide Lewis Structure)
[Solved] Draw Lewis structures showing all valence electrons for these ...
Lewis Dot Structure: Definition, Examples, and Drawing
PPT - Exam #4 Review Session PowerPoint Presentation, free download ...
Cesium Dot Diagram
[FREE] What are the resonance structures for \text{CS}_2? - brainly.com
What Is The Hybridization Of Cs2 at Lachlan Ord blog
PPT - Unit 4 Chemical Bonding PowerPoint Presentation, free download ...
Is CS2 Polar or Nonpolar? - Polarity of Carbon Disulfide
Practice Problem 1