Showing 119 of 119on this page. Filters & sort apply to loaded results; URL updates for sharing.119 of 119 on this page
Guidance Note 14: Branch Junctions: A Classification System for ...
A branch of the classification tree for the cases of a nonsplit ...
Illustrations of a root branch classification into orders numbered from ...
Root branch order classification (picture is root of 3-year-old Picea ...
A classification of the branch prediction schemes. The most popular ...
| (A) The left branch of the classification tree. (B) Subtrees are ...
Schematic diagram for faulty branch classification | Download ...
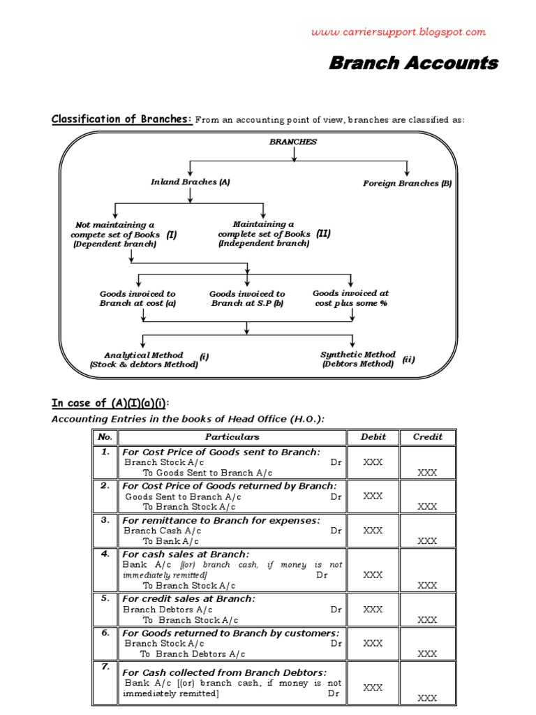
Branch Accounts: Classification of Branches | PDF | Debits And Credits ...
| (A) The right branch of the classification tree. Each split is ...
🎓Current classification of engineering Main branch and Sub-branch by ...
A condition branch and binomial classification | Download Scientific ...
Principles of information levels used for branch classification in ...
Example of tissue classification into branch territories and perfusion ...
(PDF) Branch classification to control instruction fetch in ...
Classification branch (A), Siamese (B) and Triplet (C) networks are ...
Random forest classification tree and one branch parts were magnified ...
Classification and Naming System of Organisms
Branch Classifications | Download Scientific Diagram
Tree Branch Types at Ina Lillard blog
2: Classification of possible hierarchical structure of trees. The four ...
Classification Tree : BCCVL
| (A) An example of 3 simulated branch classes, (B) impression of one ...
Advanced Branch Prediction Prof Mikko H Lipasti University
A sketch of a classification tree, wherein the leaves represent classes ...
The five branch categories, shown on a traditional multi-trunk tree ...
Pomegranate branch classification. Four types of branches including ...
Classification of Early Branches Arising From the Prebifurcation Part ...
Multi-branch classification scheme | Download Scientific Diagram
Using Sorting Branch Diagrams (full lesson) | Teaching Resources
Classification of portal vein anatomy. 5, 6 PV , portal vein; RAS ...
Language branch classification. | Download Scientific Diagram
Branch accounting | PPTX
Branch Classification: A New Mechanism for Improving Branch Predictor ...
Classification of Branches of the Right - презентация онлайн
The artistic rendering illustrates the classification of the anterior ...
PPT - Classification PowerPoint Presentation, free download - ID:4131532
Classification tree for the clinical data. For each branch, to the left ...
branch, subdivision, classification - YouTube
Classification of the branch. | Download Scientific Diagram
Classes for branch diameter | Download Table
Chapter 9: Classification - 7th Grade Science_Coja Jones
Classification of Living Things Mod B U 1
(PDF) Branch Classification: a New Mechanism for Improving Branch ...
Division and Classification of Horticultural Crops .pdf
Using Branching Databases for Classification Keys in Primary Science ...
The architecture of BRANCHCONNECT for classification of C classes. The ...
Classification of variant portal vein anatomy based on three ...
Business List Vector Hd PNG Images, Business Vector Branch ...
Branch resolution classification. PBO: predicted branch outcome, RBO ...
(PPT) Classification. TAXONOMY Branch of biology that names & groups ...
What Is A Classification System In Science at Gustavo Bishop blog
SOLUTION: Kingdom plantea types of classification branches of taxonomy ...
Classification tree. Number of branches = 3; number of terminal ...
Branch Profitability
SECTORIAL 24-BRANCHES CLASSIFICATION | Download Table
PPT - Classification of physical flows: Part II PowerPoint Presentation ...
The details of the classification branch. | Download Scientific Diagram
SOLUTION: Biology and branches of classification - Studypool
(PPT) Classification. Taxonomy Branch of biology that names and groups ...
DCCs exhibit a smoking-related mutational spectrum a, Branch ...
(PDF) Branch Transition Rate: A New Metric for Improved Branch ...
The Classification of Science: Understanding Its Branches - Chaitanya ...
Vessel branching analysis. (A) Diagram of classification for branching ...
Is Land a Current Asset? Your Essential Checklist for Classification ...
Operational Process Management In The Banking Services Classification ...
An illustration of the branch-level classifications: segment, path and ...
Example of a binary-branch taxonomy. | Download Scientific Diagram
PPT - Automation of Test Case Generation PowerPoint Presentation, free ...
PPT - Topic II a Instruction Set Architecture and MIPS PowerPoint ...
Yu JIAN | Beijing Forestry University
Branches Of Microbiology » Flair Pharma The Knowledge Kit.
What Are The Subdivision And Branches Of Science
PPT - Control Dependences PowerPoint Presentation, free download - ID ...
PPT - Advanced Computer Architecture: Insights on Instruction Set ...
PPT - COMP 206: Computer Architecture and Implementation PowerPoint ...
Branches of Mathematics - GeeksforGeeks
Katz's classification. T: Temporal branch; Z: Zygomatic branch; B ...
-Three-branch opening classification. | Download Scientific Diagram
Branching Diagram Examples at Harry Brawner blog
A Dual-Branch Model Integrating CNN and Swin Transformer for Efficient ...
Schematic diagram of the basic structure of a multi-branch ...
The concept of branching order. | Download Scientific Diagram
PPT - Constitution Book PowerPoint Presentation, free download - ID:2835110
Geography Definition And Branches at Jill Ford blog
The framework used for single-branch multi-classification models and ...
PPT - Information Technology Class Concepts PowerPoint Presentation ...
Hierarchical Classification: Advanced Insights into Supervised Learning ...
Segmentation-Guided-Dual-branch-Classification-Framework-SGDC ...
muzamil47/flan-t5-base-generic_branch-classification · Hugging Face
Branchia - anatomia comparata
PPT - Module 3 Organization Overview PowerPoint Presentation, free ...
DataSet - Urban Street
Taxonomic keys and. Their types. .pptx
Biology Examples, History, Branches, Functions, Uses, Types
Branching Structure
Branches of Science: Complete List of Major Fields
Quia - COURSE SURVEY
What Are The Different Branches Of Science The Major Major Branches Of
PPT - 8 Processing of control transfer instructions PowerPoint ...
16 branches of biology | class 9th biology - YouTube
Characteristics of branching patterns based on the topological ...