Showing 120 of 120on this page. Filters & sort apply to loaded results; URL updates for sharing.120 of 120 on this page
Boxplot for the skin permeability considering the best settings of C D ...
Boxplot for the permeability out of the skin zone considering the best ...
Boxplot for the first permeability considering the initial distribution ...
A box plot of the permeability results for each plane. The bold middle ...
( a ) Boxplots of permeability values per HTD type. ( b ) Boxplot of ...
Box-and-whisker plot of values reported for permeability and porosity ...
A box plot of permeability results for each strain level. The bold ...
Boxplots of the air permeability measurements (millidarcys) for each ...
Box plot of variations of permeability for both aggregate size ...
Boxplot of follow-up gastric permeability by response to H. pylori ...
shows a boxplot of DCE-MR imaging-derived vascular permeability ...
Box plot for all of permeability data
Box-plot for intestinal permeability test (reported as L/M ratio) (a ...
| Boxplot about water permeability test of specimens cracked at 28 days ...
A-E. Boxplot analysis of absolute values of intestinal permeability in ...
Interval plot for BA by BE outcome (A), interval plot for permeability ...
a) Crossplot between permeability and porosity and (b) boxplot of ...
| Boxplots of change in thrombus permeability for different etiological ...
Hexbin cross-plot of permeability versus porosity for each lithology in ...
Box plot of median permeability values based on the directions ...
Box plot of permeability and burial depth in Qinshui Basin. | Download ...
The boxplots of the three permeability distributions of TIHR and ...
Box-plots of the average values of permeability ( A ) and the reduction ...
Box plot of soil gas permeability of Perak state.... | Download ...
Box plot of the saturated permeability (k s ) classified following the ...
Box plot of soil gas permeability in geological units.... | Download ...
Box plots of the tissue permeability and bulk modulus. The values are ...
Boxplots of microvascular permeability parameters in primary CNS ...
Boxplot-based Classical and Modulus Estimators of Permeability ...
The line chart (a) shows value of permeability pre and post therapy of ...
Porosity-Permeability distribution box plot for cores data in a Mauddud ...
Boxplots of data mismatch and RMSE of the updated log‐permeability for ...
Boxplots for markers of gut permeability, bacterial translocation and ...
Box plot of permeability within pore-facies (left), electro-facies ...
Box-plots of the average values of permeability in each measurement ...
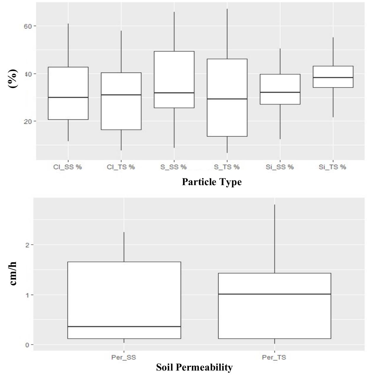
Boxplot analysis soil texture in the research location (cl:
| Boxplots comparing levels of intestinal permeability and microbial ...
| Boxplots of permeability parameters of K 2 in unidirectional ...
Boxplots of permeability values in different EOR projects | Download ...
a Boxplots of the permeability values of sub-aqueous and sub-aerial ...
Box plot of percent change of corneal epithelial permeability after ...
Box-and-Whisker plot of permeability and perfusion parameters. The ...
Box plots of permeability of different sandstone grain-size classes ...
Boxplot Matplotlib | Matplotlib Boxplot - Scaler Topics - Scaler Topics
2 Formulas used in the calculation of permeability | Download ...
The box plot of rPS of sICH. rPS: relative permeability surface, PS of ...
Comparison of the permeability of the coatings of the I-series ...
Frontiers | Estimating Watershed Subsurface Permeability From Stream ...
(Left) Box plot of horizontal permeability of BSU from 96 probe ...
Porosity, permeability and thermal conductivity box plot diagrams of ...
Box plot of the measured air permeability values in each building: the ...
Illustration of posterior logarithmic permeability fields: The ...
Box plot of the repeatability for DMS measurements with the ...
Development of a Proof-of-Concept A-DInSAR-Based Monitoring Service for ...
Neural model to estimate permeability from well logs and core data
Boxplot of mean SWC conditional on the nominal combination of season ...
Improved permeability prediction based on the feature engineering of ...
Boxplot in R (9 Examples) | Create a Box-and-Whisker Plot in RStudio
Distribution of LogP values for a test set of fluorescent probes. The ...
Box plots of matrix permeability as a function of limestone textural ...
Laboratory Assessment of Water Permeability Loss of Geotextiles Due to ...
p. boxplot — easy_mpl 0.21.5 documentation
We can quickly sort the boxplot bars.
Vector illustration of box plot or boxplot graph or chart with editable ...
Box-and-whisker plots of percentage permeability reduction. | Download ...
Illustrative sub-datasets showing the depth trend of permeability ...
Plot of permeability as a function of total macroporosity. Square ...
Plot of a permeability and b transmissivity against VES points ...
R Boxplot Interpretation at Edward Lopez blog
Histogram plot of permeability distribution before property modelling ...
13.5 Identifying outliers | Scientific Research and Methodology
The Principle and Downhole Testing of Water Injection Exploration in ...
Boxplots showing the distribution of estimated porosity and ...
Simulation of Stress Tests Using a Poroelastic Model to Estimate the ...
Box plot comparing 2-D, ''2-D in 3-D,'' and 3-D metric distributions ...
Box plots show (A) structural volume, (B) susceptibility, and (C, D ...
Box-plot of Dykstra-Parson's coefficient and permeability. | Download ...
Comparison of the measured and estimated soil gas permeability. a) Box ...
On the microstructural origin of brain white matter hydraulic ...
Outlier detection with Boxplots. In descriptive statistics, a box plot ...
Porosity, permeability, thermal conductivity and thermal diffusivity ...
Box Plot Simple Explanation at Willard Nolen blog
Box Plot Versatility [EN]
Boxplots of air permeabilities (md) measured in the MontSaint-Guibert ...
Boxplots illustrating the porosity range in the three investigated ...
Box and whisker plot of the oil RF, porosity (ft 3 /ft 3 ), and natural ...
a) Porosity-permeability crossplot grouped according to rock types, and ...
Validation of In Vivo Magnetic Resonance Imaging Blood–Brain Barrier ...
(A-C) Boxplots showing values of blood flow (A), blood volume (B), and ...
How to Create Horizontal Boxplots in Base R and ggplot2 – Steve’s Data ...
Mastering Boxplots: Meaning, Reading and Creating | FineReport
Drawing A box plot using Seaborn | Pythontic.com
Box Plot - GeeksforGeeks
Box whisker plot python
Box Plot Graph Explanation at Kelsey Sapp blog
Box plot of Kep Value in enhanced and non-enhanced lesions and their ...
Water saturation versus capillary pressure along with corresponding ...
Chapter 3 Value of Data Analytics in Field Development Project (VOI ...