Showing 120 of 120on this page. Filters & sort apply to loaded results; URL updates for sharing.120 of 120 on this page
Bi308 Scenario Based Assignment | PDF | Phytoplankton | Climate Change
Bi308 Lab 1 - Measurement of Microorganisms Using Microscopy - Studocu
Online Unit 10 - 24W -Systematic Microbiology (Combined) - BI308 ...
Bi308 MICROBIOLOGY -mini essay 2 - Grade: A - Plant Biology - USP - Studocu
BI308 Practical 1: Evaluating Thiol Content in Proteins Using DTNB ...
S11192448 BI308 Practical 8: Analyzing Bacterial Sensitivity to ...
BI308 1 .pdf - UNIVERSITY OF KENT BI308/2019 FACULTY OF SCIENCES LEVEL ...
BI308 - Skills for bioscientists by Peter Klappa on Prezi
BI308 Practical 3: Isolation & Enumeration of Bacteria & Fungi - Studocu
Bi308 Lab 7 | PDF
BI 308 Lecture # 2.ppt - BI308 Systematic Microbiology Fouroozan ...
Assessed practical bi308 2016 - YouTube
Summary of the BI308 module - YouTube
BI308 synchronous session - YouTube
Q31 for BI308 exam - YouTube
Bi308 Lab 6 | PDF
BI308 skills for Bioscientists - box-and-whisker plots - YouTube
Calculations of molarities and solutions for BI308 - skills for ...
BI308 Skills for Bioscientists week 19 pdf and normal distribution ...
BI308 Virtual Lab 1: Intro to Laboratory Sciences and Practices - Studocu
BI308 -post practical pH and buffers - YouTube
BI308 week 22 2018 skills statistics revision - YouTube
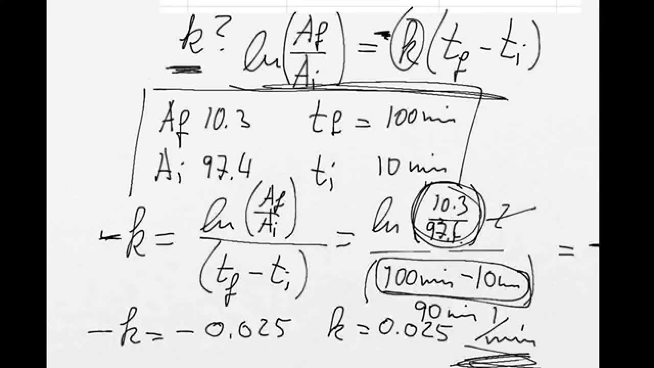
BI308 first order reaction analysis - YouTube
Feedback BI308 exam - various tests - YouTube
BI308 -skills for Bioscientists lecture: calculating concentrations ...
BI308 week 10a - t-tests - YouTube
Environmental Microbiology - BI308 - USP - Studocu
Bi308 Mice | Educreations
BI308 - skills for Bioscientists - spectrophotometry and standard ...
BI 309 Major Assignment Writing Guidelines: Comparative Animal ...
Power BI Assignment Guidelines | PDF | Business Intelligence | Data
S11192448 BI304 Practical Assignment 2 USP S2 2023 - Introduction ...
BI308 - normal distribution and z-score - YouTube
Bi308 molarity - YouTube
Bi308 - zero and first order kinetics - YouTube
BI - Assignment 3 Description | PDF | Business Intelligence | Cognition
BI308 lecture - introduction to spectrophotometry - YouTube
Bi308 week 3b spectrophotometry - YouTube
Fall 2023 CS302 Assignment 2 | PDF | Computer Programming | Algebra
CHE 308 Assignment MA | PDF | Science & Mathematics | Technology ...
BI308 skills for Bioscientists - variance & standard deviation - YouTube
BUS308 Analysis Assignment by Tessa | Download Free PDF | Information ...
BA 3010 Assignment #1During this course, you will be graded on.docx
The Panspermia Theory - BI308 | 2021 Environmental Microbiology ...
BI308 week 17 - YouTube
ITSU3008 Project 1: Assignment 2 | PDF | Behavior Modification | Computing
Assignment 2 - CE 308 | PDF
690458952-BA1530-Assignment - BA1530 Coursework Assignment 202 2 – 23 ...
BI308 Proteomics - Evaluation of the thiol content of a selection of ...
Assignment - Fall 2023 - CS302P - 2 | PDF
BUSI 3008 Assignment 5 Wineter 2022 | PDF
Week 7 BI Assignment - Course 1: BI Assignment and Discussion Week 7 ...
Power BI Certification Assignment Guide | PDF
Bio 30 Unit 3 Lesson 7 Assignment - Biology 30 Unit 3 Lesson 7 ...
MBB 308 Virtual Lab Assignment 3.pdf - MBB 308 Virtual Lab Assignment ...
BI Assignment PDF | PDF | Business Intelligence | Decision Support System
BI assignment 3 group 4.docx - Business Intelligence Spring 2018 ...
CS302 Assignment 1 - Assignment No. 01 Semester: Spring 2024 CS302 ...
BI Assignment 4 | PDF
BUS 308 3.4 Excel Assignment 2.docx - BUS 308 3.4 Excel Assignment 2 ...
BISC 306 Chemistry Assignment Flashcards | Quizlet
Bi308 -buffers - YouTube
Assign8soln - ENGR 301 - Assignment 8 - Solution Assignments must be ...
IF3058QA - Assignment Brief Autumn 2021-22 - I F3058 Q A A ss i g nmen ...
SOLUTION: Sem 1 ut 10 assignment model - Studypool
BI304 BMAN Assignment 2022.docx - School of Computing and Information ...
BI Assignment | PDF | Business Intelligence | Analytics
BI308 lecture - calculations of pH and pOH - YouTube
Practical Assignment 3 S11148719 - BI 206: Quantitative Biology ...
Bus 308 Week 4 Assignment - Bus 308 Week 4 Assignment A. H0 = 42 versus ...
BI Assignment 2 | PDF
b8s.pdf - Bonus Assignment #8 COEN241 Cloud Computing Department of ...
32558 BI Assignment 1 2 .pdf - 32558 Business Intelligence School of ...
Assignment 4 308 | PDF
Solved BIOL 300 Bi Homework Assignment 1: Chapter 1& 2 of An | Chegg.com
Bus 308 Week One Assignment | PDF | Standard Score | Standard Deviation
BB309 Assignment Instructions - METHODIST PILLEY INSTITUTE MODULE TITLE ...
BUS 308 3.4 Excel Assignment 1.docx - BUS 308 3.4 Excel Assignment 1 ...
F 308 Assignment | PDF
CSY3010 Assignment Brief (1 | PDF | Multimedia | Video
Bi Compulsory Assignment | PDF | Data | Databases
Cohort 8 - BMM 3003 - Assignment Brief - Introduction to Business ...
Business Intelligence & Data Visualization Assignment 1 (Sem1 2025 ...
BI15W0B: Business Information Systems Assignment Guidelines 2025 - Studocu
Business Plan.pdf - ACCG 308 Assignment 1 - Business Plan individual ...
bn304 Assignment 3.docx - BN304 ASSIGNMENT 3 Name: Aqib Shabbir Student ...
TAE1 BI Assignment | PDF | Business Intelligence | Data Warehouse
Cs302 assignment 1 bc210415864 - Digital Logic Design (CS302 ...
BI 308-M23 Course Calendar - Page 1 of 2 Projected BI 308 Calendar for ...
MINI ESSAY 3.docx - BI 308 ENVIRONMENTAL MICROBIOLOGY SEMESTER 2 2021 ...
final review.pdf - 11/9/21 5:52 PM Online Topic Quiz 2: Attempt review ...
First order reactions -BI308 lecture recording - YouTube
BI 308 LAB 2.docx - BI 308 PRACTICAL #2 Preparation Aseptic Techniques ...
Huni Halahingano-BI 308 Lab 6 Report.docx - BI 308 ENVIROMENTAL ...
Convert 32-Bit Binary to Decimal | PDF
一种苯并咪唑衍生物BI308及其制备方法和应用与流程_2
Lab-2 Toad dissection Nerve-Muscle Physiology - LAB: 2 Laucala students ...
Understanding IEEE 754 NaN Representation | PDF
Lab-2 nerve-muscle dissection diagrams - Environmental Microbiology ...
BI 308 Lab 6 Class Data Sec. 101 - CH-302 - Centennial College - Studocu
SOLUTION: Bus 308 week 3 assignments 2 - Studypool
Income Statements & Cost Analysis | PDF | Inventory | Business
BIOS 308 Homework_9_solutions | PDF
BIOL 308 Practice Exam.docx - BIOL308PracticeExam 1 ...
Acc 308 - Week1 - 1-3 Homework - Chapter 9 | PDF
S1115825.docx - BI 308 LAB REPORT 7 Metabolic Activities of Bacteria ...
University Cost Analysis and Break-Even Study | PDF | Taxes | Business
Groupassignmentguidelinebej 30303 - BEJ 30303: COMPUTER ARCHITECTURE ...
S11192448 CH312 Experiment 4 S2 USP 2023 - CH312 LABORATORY REPORT ...
Lab-7 Exp on kidneys- marking rubrics - BI309 Marking Rubrics Lab-7 ...
Fe speciation - non review documents - Title: Iron Speciation in Water ...
3020-As08-2022-SequenceAnalysiscompleted.docx - BIOL 3020 Name ...
S11192448 CH312 Experiment 3 S2 USP 2023 - CH312 LABORATORY REPORT ...
PPT - BUS 308 Help Education Expert/bus308helpdotcom PowerPoint ...
Practice Questions for the Final Exam - Wilfrid Laurier University ...
Quantitative Biology Test: Statistical Analysis and Sampling | Course Hero
Bi 310 assignment#1-1 - Answers for planimeter calculations - Bi 310 ...
Lab 8 - Lab - CS1026 Lab 8 LAB 8 INSTRUCTIONS Complete the tasks in ...
b30 unitB assignment.docx - Biology 30 - Unit B: Reproduction and ...
309-Assign 3 -Aug 1 .docx - Eco 309-Assignment 3 Total points 125 ...