Showing 120 of 120on this page. Filters & sort apply to loaded results; URL updates for sharing.120 of 120 on this page
Gaussian BackSub Solution | PDF
2) Rewrite the backsub program to solve the | Chegg.com
BackSub Tifffile Error (in MCMICRO) - Usage & Issues - Image.sc Forum
backsub Object Detection Dataset by UPICE volleyball project
SUB Problem Solvers Community
6 Signs Of A Serious Back Problem - Dr. Todd Jackman
Break the Problem into Smaller Sub-Problems | Bell Ringer Worksheet for ...
What Is A Problem Statement With Examples at Alica Martel blog
I am subbing everyone backSub to me and I'll sub to you are rgose ...
Addition Subtraction Word Problem Fall Task Cards Printable Digital Sub ...
Subset Sum Problem Explained (Dynamic Programming)
2. lecture 2 formulation of a research problem | PPT
Problem Solution Text Structure Graphic Organizer
Premium AI Image | Back pain A common problem with many solutions ...
4th Grade Math Task - Problem Solving Lesson - Desk Arranging Task ...
Input problem on a sub | AVS Forum
HackerRank Points in a Plane Problem Solution - TheCScience
Subwoofer basstube Repair on off on off problem Fix 100% - YouTube
Grand Vitara Sunroof Problem at Beulah Insley blog
Solved Please start each sub problem in a new page. a) (5 | Chegg.com
The Three-Body Problem Ep. 27 Review: Meet Mike Evans, Evil White Guy
Problem frame of the lift problem and the sub-problem concerning Doors ...
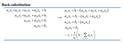
PPT - Back Substitution PowerPoint Presentation, free download - ID:982815
Solved 1. (Improved triangular substitutions; adapted from | Chegg.com
Solved Please show how to do part b in MATLAB. Here is | Chegg.com
PPT - Fine-Grain Communication PowerPoint Presentation, free download ...
Solved Function 2.3.2 (backsub) Solve an upper triangular | Chegg.com
Solved 210 X = 218 211 212 213 v def backsub(R,b): 214 n = | Chegg.com
Usage — powerxrd 3.0 documentation
GitHub - Hongsehyun/2021_1_NumericalProgramming: Updated 2022.04.29
Subproblems and Overlapping Subproblems | Skilled.dev
Solved %this part of the script tests the functions gael(), | Chegg.com
Solved Backward Substitution 0 solutions submitted (max: 3) | Chegg.com
Dynamic programming technique - Algorithms
GitHub - garrottg/Gauss-Elimination-Back-sub: Gauss Elimination with ...
1) In this problem, you will convert a function that | Chegg.com
[Solved] 1. This question is about solving a parti | SolutionInn
Solved 7. [15 points] The following M-function gives the | Chegg.com
(Solved) - Numpy and Python. a) Implement back substitution in Python ...
Solved 3 Implementing Back Substitution M 3 Implementing | Chegg.com
SOLVED: You are given the following functions, qr and backsub, to help ...
sonar_backsub_TGT Object Detection Dataset by Sonar
Opencv_backSub/demo.py at main · kylai02/Opencv_backSub · GitHub
Solved You are given an empty function file called | Chegg.com
Solved 1) Solve the upper-triangular system by hand and by | Chegg.com
modules/backsub
Beta Elimination: Definition, Mechanism, Types-E1, E2, E1cB Elimination ...
MATLAB Problems (to be completed in MATLAB Grader): | Chegg.com
In MATLAB (The subroutines from the previous | Chegg.com
Solved 11.3. Take m = 50, n = 12. Using MATLAB's linspace, | Chegg.com
The Most Common Subwoofer Problems and How to Fix Them - Car Audio ...
SOLVED:(Improved triangular substitutions: adapted from FNC 23.5) If B ...
Backward substitution - Algowiki
volleyball_backsub Object Detection Dataset by UPICE volleyball project
PPT - Engr/Math/Physics 25 PowerPoint Presentation, free download - ID ...
PPT - L10 Optimal Design L.Multipliers PowerPoint Presentation, free ...
Subscapular Fossa Subscapularis | Anatomy.app
More U-Substitution! - AP Calculus Blog 2011-2012
instructions write a function solve which solves a system of linear ...
PPT - Backtracking Algorithms for Sum of Subsets and Knapsack Problems ...
Solved Write MATLAB/Octave code for back substitution. | Chegg.com
SOLUTION: calculus2 integration by trigonometric substitution with ...
Question | Chegg.com
Elimination vs Substitution Method - Solving Systems of Equations - YouTube
Solved (a) (15 points) Preallocate a one-dimensional array | Chegg.com
Solved To do this problem, you should first go through the | Chegg.com
Solved 2. (14 points) Find all solutions of each linear | Chegg.com
Consider the system of linear equations Ax=b, where | Chegg.com
THE BEST WAY TO CRACK YOUR LOWER BACK! SUB FOR MORE TIPS! - YouTube
Subproblem là gì? Định nghĩa, ví dụ và cách sử dụng hiệu quả
SUB PROBLEM. All settings maxed and almost no sound from subs. : r/CarAV
Backstates / Backnations How to make A Backsub-division map - YouTube
Write Clear Statements for Each Sub-Problem | Bell Ringer Worksheet for ...
Computer Science - Year 1 - Half Term 5 Flashcards | Quizlet
Problem/Bug with subtitles bulking up in the beginning of YouTube ...
Subwoofer Bass Problem: Why Does Your Subwoofer Sound Weak?
2024 SUZUKI GSX-8R Oem Rear Subframe Back Sub Frame $181.88 - PicClick CA
broken basket got rear ended and looked at my sub is it done or fixable ...
Praktikum 5 Sistem Persamaan Linear Ruang lingkup bahasan
The schedule sub-problem with added time | Download Scientific Diagram
Sub-Pixel Back-Projection Block | Download Scientific Diagram
Solved Is this in REF, if not why? Is it in stair step form, | Chegg.com
12 Common Sub-Zero Refrigerator Issues and Solutions: Troubleshooting Guide
Dihybrid Cross Worksheet Dihybrid Crosses — Definition & Examples
Example of 'recurse downward'. The sub-problem is defined on a smaller ...
DP - Decode Ways
How to Troubleshoot Your Subwoofer - YouTube
edge detection - suggest appropiate background substraction method ...
Solved Write a Matlab program to solve a linear system of | Chegg.com
Quantitating cells via the plate reader - Matreyek Lab
OpenCV-Python视频分析(移动物体检测,物体追踪)_opencv移动物体识别算法-CSDN博客