Showing 120 of 120on this page. Filters & sort apply to loaded results; URL updates for sharing.120 of 120 on this page
Structure of NNO, AZADO, TEMPO and NHPI. | Download Scientific Diagram
AZADO | 57625-08-8
AZADO | 東北大学大学院薬学研究科 分子制御化学講座 合成制御化学分野HP
Figure 1 from Structures of the reaction products of the AZADO radical ...
Chemical structures of TEMPO and AZADO derivatives used in the ...
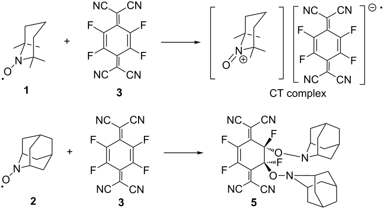
Structures of the reaction products of the AZADO radical with TCNQF4 or ...
2-Azaadamantane-N-oxyl AZADO
Top (left and right), synthesis of AZADO and AZADO BASE from PyAMP and ...
2-Azaadamantane N-Oxyl, AZADO
(PDF) Structures of the reaction products of the AZADO radical with ...
AZADO - CAS号查询
BJOC - Structures of the reaction products of the AZADO radical with ...
The structure of the azo‐compound | Download Scientific Diagram
The Molecular structure of AZO-PDI. | Download Scientific Diagram
Azado - Enea landscape architecture
Chemical structure of azo dyes used in this study a Direct blue ...
Chemical structure of the azo dye used in this study. | Download ...
Structure of the studied azo-dye. | Download Scientific Diagram
General structure of azo compounds | Download Scientific Diagram
Example of an azo dye structure Azo dyes acquired wide interest in ...
The chemical structure of PDAZO; the azobenzene groups are randomly ...
AZADO | 化学物質情報 | J-GLOBAL 科学技術総合リンクセンター
Scheme (I): Molecular Structure for studied azo dyes (10) . | Download ...
Structure of fibre and dye | PPTX
AZADO RESTAURANT, Merseburg - 2026 Reviews & Information
Structure of azo-dyes. | Download Scientific Diagram
Structure formulae of some common names of azo dyes under study [19 ...
ASADO Dual Instant BBQ Double Steel Structure with Instant Grill ...
a Chemical structure of T-Azo and F-Azo (the red part represents the ...
Scheme 2 Structure of azo dyes | Download Scientific Diagram
Structure of some azo dyes.[⁵³] Reused with permission from Elsevier ...
2-Azaadamantane-N-oxyl (AZADO) | MedChemExpress
Discovery and Exploitation of AZADO: The Highly Active Catalyst for ...
TEMPOよりも高活性なアルコール酸化触媒 | 東京化成工業株式会社
【特別講座】新規高活性アルコール酸化触媒 Nor-AZADO の有用性|siyaku blog|試薬-富士フイルム和光純薬
CuCl/TMEDA/nor-AZADO-catalyzed aerobic oxidative acylation of amides ...
Dmn-azado 1452384-09-6 wiki
Oxidation of primary and secondary hydroxy groups by AZADO/NaBr/NaClO ...
【総説】高活性第 1 級アルコール酸化触媒:DMN-AZADO|siyaku blog|試薬-富士フイルム和光純薬
4‐Chloro‐2‐azaadamantane N‐Oxyl (4‐Cl‐AZADO): A Readily Preparable ...
2-Azaadamantane N-Oxyl (AZADO) and 1-Me-AZADO: Highly Efficient ...
Cu I /AZADO aerobic oxidation of amino alcohols. | Download Scientific ...
Asado BBQ | Outdoor structures, Gazebo, Pergola
比TEMPO活性更高的醇氧化催化剂——AZADOL® - 知乎
2-Azaadamantane N-oxyl (AZADO)/Cu Catalysis Enables Chemoselective ...
What Is Asado Chicken? Your Ultimate Guide to This Smoky, Juicy Delight!
Figure. Structures of the azo compound under investigation | Download ...
Chemical structures of azo-based drugs | Download Scientific Diagram
Azidoazide azide: Chemistry in its Element podcast - YouTube
Chemical structures of azo dyes with different numbers of azo groups ...
Optimized structures of AZO 1, AZO 2 and complexation of 1 : 1 ...
Chemical structures of antioxidant active heterocycle-incorporated azo ...
Chemical structures of azo compounds. | Download Scientific Diagram
Chemical structures of the (a) azo-polymer and (b) azocompounds ...
Molecular structures of the newly synthesized liquid crystalline azo ...
trans-Azobenzene skeletal structure.Azo Compound compound schematic ...
The structures of azo dyes (1), (2) and (3). | Download Scientific Diagram
Molecular structures of the newly synthesised bent-core azo compounds ...
Azo Compounds: Preparation, Types, Properties
Chemical structures of four sudan azo dyes analyzed in this study ...
Oxidation of wood cellulose using 2-azaadamantane N -oxyl (AZADO) or 1 ...
General structures and classifications of the synthesized azo ...
| Chemical structures of synthesized azo compounds. | Download ...
Aerobic oxidation catalysis with stable radicals - Chemical ...
Illustration of the molecular structures of azido compounds. | Download ...
(a-c) Chemical structures of F-azo compounds, (b) Schematic ...