Showing 117 of 117on this page. Filters & sort apply to loaded results; URL updates for sharing.117 of 117 on this page
Find Sum and Product of All the Elements in an Array Solution in C++ ...
Array Models for Multiplication | Math Guide
Product of array elements | School Practice Problem | GeeksforGeeks ...
Product of Array Except Itself - Tutorial
M_G02M10L48_WC02_Show the product in an array diagram. Interactive ...
Solved: 3 An array is shown. The product of which two numbers could be ...
Product of Array Except Self: Solution with Code (Visualization)
Elementary Math Array 3 Fun Activities For Teaching Multiplication
Math Array Example for Larger Numbers
Multiplication Array to Partial Product | Math, multiplication | ShowMe
Product of Array Except Self · Coding Gym
Beginner - Reduce but Grow | Product of array | Multiply each number of ...
Math Array Example
Array Math
Coding Interview Questions [Arrays]: Product of Array Except Self | by ...
Math Array Multiplication
Sum and product of an array - Rosetta Code
Product in Math | Definition, Examples & How to Calculate
Product Math Example
Teaching Multiplication with Arrays in Math | HMH
What’s a Multiplication Arrays Math Definition and Fun Activities to ...
Math Arrays
Valentine Multiplication Array Match Game | Arrays, Equations ...
Mastering Array Math: Unlocking the Power of Numerical Computations
Math Classics: Arrays | Made By Teachers
Power of Arrays in Elementary Math | Learn ZOE
Array Of Products | Algorithms and Technology Analysis
What Is the Multiplication Array in Math? Definition, Examples
What Are Math Arrays & How To Teach Them? | Adobe Education Exchange
Multiplication Math Arrays Solved 1. Write Two Multiplication Facts
Literacy & Math Ideas: Multiplication Arrays
Multiplication Arrays Worksheets - Math Monks
Teaching Multiplication with Arrays in Math | Houghton Mifflin ...
I’m slowly adding more classes of problem in the math domain and adding ...
STAAR review math 3rd grade math Word Problem all operations by Math ...
Solved: Prove that the product of matrices [ cos 2 θ cos θ sin θ c [Math]
Product Mock (Desktop Mobile) 1.29.25 - CRMLS Blog
2nd Grade March St. Patrick's Day Math Literacy Centers Printables
Assignment 2 - MATH 2050U Midterm Homework on Matrix Subspaces - Studocu
Solns for Test 2A MATH1025P: Cofactor Expansion & Cross Product - Studocu
Quantum field theories using relativistic continuous matrix product ...
D 72400 - B.Sc. 3rd Sem. Complementary Math Exam Nov 2014 - Studocu
Table 7.1 from Direct Eigenvalue Reordering in a Product of Matrices in ...
Inner and Outer Product in Quantum Mechanics: Kets and Bras - Studocu
Linear Algebra in NumPy: Math With Code - DEV Community
Multiplication sentences - Whistle - Free 3rd Grade Math Worksheet ...
Mrvegas Login Protocol: Step-by-Step Sign-Up, Bonus Math & Safety Guide ...
数学≠计算 | Math Online Tom Circle
What is the Product? Maths Definition and Examples - Twinkl
Multiplication arrays: Definition with Examples
Arrays & Partial Products Notes (For Students or Parents) by Katie Brewer
Arrays, Area Models and the Commutative Property of Multiplication ...
Primary Punch: Introducing Arrays!
arrays – Chris Hunter
Mathematics - Rebecca Malmberg
Multiplication Of Matrices Worksheet - Adriansonfifth
Don't even think about trying to shoot down Gemini as if you're above ...
Matrix Multiplication Calculator — Free Online with Formula & Steps ...
Without using Mathematical table show that a) \frac{\text{Log }\sqrt{27}
Multiplication Worksheets | 4th Grade | Advanced | CCSS.MATH.4.NBT.B.5
Matrices - Mathematics: Solving Matrix Equations and Determinants - Studocu
What Formula Converts a DQI Score to a Geometric Standard Deviation? → ...
Transpose -- from Wolfram MathWorld
i reverse engineered exactly how to hit $120K/year with faceless pages ...
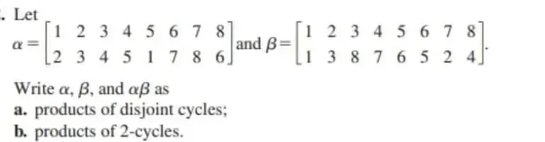
Solved: Let alpha =beginbmatrix 1&2&3&4&5&6&7&8 2&3&4&5&1&7&8 ...
How Is Qualitative Data Integrated into Quantitative MCDA? → Learn
TradeIQ AI - Cumulative Delta Matrix — Strategy by ChimiCoin — TradingView
Here are some questions from a mathematics exam: PART - II (10*3=30) De..
"asl math" - Millimeter Wave Products | Waveguide Products | MM Wave ...
Figure 2 from Hessian-vector products for tensor networks via recursive ...
Multiplication Using Arrays Worksheets - All For One
Radon Transform - compute mean pixel value along given projection angle ...
Educational Multiplication Games | Education.com
Multiplication Tables (up to 10) | CBSE Lesson Plan for Class 3 ...
My recent 6 articles on X: - KV Cache in LLMs - Paged Attention in LLMs ...
What if the smartest way to understand a transport network was to stop ...
GM34 Matrices CH 10 & CH 11 Timed TASK Final Solutions - Studocu
75 In Fraction - All For One
Physics Class 11 Formula Sheet Pdf In Hindi 12th Notes Download
Problem 1: LUP DecompositionCalculate the LUP | Chegg.com
How to Do SVD Decomposition - TechBloat
MODULE SVD_Procedures — statpack 2.4 documentation
Arqenor App - App Store
INI File Converter - Free, No Upload - b2KIT
ARV200-55 Smartboard & FD1500 — Best Digital Setup at Smart Fork Empire ...
MODULE QR_Procedures — statpack 2.4 documentation