Showing 120 of 120on this page. Filters & sort apply to loaded results; URL updates for sharing.120 of 120 on this page
Table 1 from Approximate integration formulas for certain spherically ...
Integral Formulas
List of All Integral Formulas With Guide | Knowledge Glow
approximate integration - Integral Method to find upper and lower ...
Using the Midpoint Rule to Approximate an Integral - YouTube
calculus - Using Midpoint Rule to Approximate a Definite Integral ...
5.9 Example 7 Part A Using Simpson's Rule to Approximate an Integral ...
Solved Approximate the following integrals using formulas | Chegg.com
Solved 2. (a) Approximate the following integral using | Chegg.com
Solved approximate this integral using simpsons ruleshow all | Chegg.com
SOLVED: a formula to approximate the above integral using n ...
Solved Approximate Integral Using Maclaurin Series: 10. Use | Chegg.com
Objectives Approximate a definite integral using the Trapezoidal Rule ...
Midpoint rule to approximate volume of a double integral ...
SOLVED: point) (2x - 2) dx Find formula approximate the above integral ...
Solved In order to approximate the defined integral of f(x), | Chegg.com
SOLVED: Approximate the integral using (a) the midpoint approximation ...
Approximate values of the different integrals by proposed integral ...
Solved Use Simpson's Rule to approximate the given integral | Chegg.com
Using Simpson's Rule to Approximate an Integral - YouTube
Summation Formulas and Approximate Methods of Integration - Calculus
Solved 6. Approximate the following integral using the | Chegg.com
[ANSWERED] Find a formula to approximate the above integral using n ...
Solved Approximate the definite integral using the | Chegg.com
Solved (1 point) Approximate the integral using (a) The | Chegg.com
How to Approximate an Integral Using the Trapezoidal Rule in C | LabEx
Solved 3.6 calculate the approximate integral of the | Chegg.com
Solved (a) Find the approximate integral of the following | Chegg.com
(PDF) Optimal cubature formulas for approximate integrals of functions ...
Solved It is desired to approximate the following integral | Chegg.com
Solved: 7. Approximate the definite integral using the Trapezoidal Rule ...
Solved Find approximate value of the following integral | Chegg.com
(PDF) Optimal quadrature formulas for approximate calculation of ...
Solved (1 point) Approximate the following integral using | Chegg.com
Approximate the definite integral using the Trapezoidal Rule and ...
Summary of function and integral approximations. | Download Scientific ...
(PDF) First Approximation Formula for a Definite Integral
Approximate Integration: Example 3: Midpoint Rule - YouTube
Integral Formula Sheet
Approximate Integration: Example 2: Accuracy - YouTube
Approximating a Definite Integral Using Rectangles - YouTube
Approximate Integration: Example 4: Simpson's Rule - YouTube
Chapter 17 Numerical Integration Formulas Graphical Representation of
Solved 21. Approximate the following integrals using | Chegg.com
Approximate Integration | PPT
Integral Calculus - Formulas, Methods, Examples | Integrals
Approximate Integration: Left, Right, Midpoint, and Trapezoidal Rules ...
Definite Integral Formula - Learn Formula to Calculate Definite Integral
Solved Approximate the following integrals using the | Chegg.com
Estimating a definite integral using series - YouTube
Approximate Integration
Approximate Integration-Simpson's rule formula derivation-Lesson-11 ...
Approximate Integration | PDF
Remainder Estimate For The Integral Test - YouTube
Solved Use Simpson's rule to approximate the integral to | Chegg.com
PPT - 7.7 Approximate Integration PowerPoint Presentation, free ...
Ex: Double Integral Approximation Using Midpoint Rule - f(x,y)=ax+by ...
Solved Use numerical methods to approximate integrals and | Chegg.com
Integration Formulas Sheet
(PDF) Determining Formulas for the Approximation of the Complete ...
CBSE Class 12 Maths Chapter 7 Integrals Formulas List, Important ...
Approximate Integration: Simpson's Rule: Proof - YouTube
THE INTEGRAL TEST AND ESTIMATES OF SUMS - ppt download
integration - approximate definite integrals using quadrature ...
Section 7.7: Approximate Integrals: MATH152 - YouTube
SOLVED:Approximate the integral using (a) the midpoint approximation ...
Use the Trapezoidal Rule and Simpson's Rule to approximate the value of ...
SOLVED: INT4. can approximate integrals using Riemann sums Approximate ...
Solved Exercise III: Approximation of the Gaussian integral | Chegg.com
Midpoint rule to approximate double integrals — Krista King Math ...
Solved Simpson's Rule approximates the definite integral of | Chegg.com
Definite Integral
Approximate Integration: Accuracy and Error Bounds - YouTube
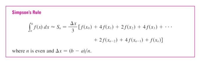
Integral Approximation - Simpson's Rule | Brilliant Math & Science Wiki
How to Calculate a Definite Integral of the Sum of Two Functions ...
Integral Calculus Meaning Differential And Integral Calculus, An
PPT - Numerical Approximations of Definite Integrals PowerPoint ...
PPT - Integration of irrational functions PowerPoint Presentation, free ...
Approximating Integrals - Midpoint, Trapezoidal, and Simpson's Rule
PPT - CHAPTER 4 SECTION 4.6 NUMERICAL INTEGRATION PowerPoint ...
Master Riemann Sum: Unlock the Power of Area Approximation | StudyPug
Approximating Definite Integrals Using Numerical Methods Without ...
Approximating Definite Integrals Using Left Riemann Sums and Non ...
Midpoint Rule Calculus Approximating Volume Of A Multivariable
Approximating Definite Integrals Using Midpoint Riemann Sums & Uniform ...
Approximating Definite Integrals Using Midpoint Riemann Sums & Non ...
The Trapezoidal Rule For Approximating Integrals Example 1 - YouTube
SOLVED:Approximate the following integrals using the midpoint formula ...
Approximating Definite Integrals Using Left Riemann Sums & Uniform ...
Ex 1: Numerical Integration - The Midpoint Rule - YouTube
Approximating Definite Integrals Using Right Riemann Sums & Uniform ...
Approximating Definite Integrals Using Numerical Methods Involving ...
PPT - Integration PowerPoint Presentation, free download - ID:6799878
Definite Integrals - CBSE Library
PPT - Integrals PowerPoint Presentation, free download - ID:2737864
Area Under a Curve
PPT - TECHNIQUES OF INTEGRATION PowerPoint Presentation, free download ...
PPT - APSC 171 – Calculus 1 PowerPoint Presentation, free download - ID ...
Simpsons Rule For Approximating Integrals Example 1 - YouTube
SOLVED: Use the Trapezoidal Rule, the Midpoint Rule, and Simpson's Rule ...
Unit 6.2 - Approximating Integrals Using Riemann Sums (Notes & Practice ...
PPT - Chapter 7 – Techniques of Integration PowerPoint Presentation ...
Integration Test Plan Template - astra.edu.pl
Solved (a) Calculate this integral. (b) Use Simpson's Rule | Chegg.com