Showing 118 of 118on this page. Filters & sort apply to loaded results; URL updates for sharing.118 of 118 on this page
Approxi : Magazine numérique | IHE Sousse
Approxi Cave: 2-Bedroom Retreat, Éxo Goniá (updated prices 2026)
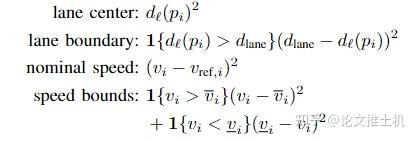
Efficient Iterative Linear-Quadratic Approxi for Nonlinear Multi-Player ...
Calaméo - Grp 15 Approxi 01
graph is approxi Because the pri | Chegg.com
Find & Bid On Lot# 237 - Vintage Indy 500 Cups Approxi - Now For Sale ...
Find & Bid On Lot# 4386 - Vintage metal glider approxi - Now For Sale ...
Find & Bid On Lot# 1504 - Die cast Oliver 0c-3 approxi - Now For Sale ...
Lower & upper approxi mations (Source: Zdzisław pawlak). | Download ...
floor approxi mix design - YouTube
Solved: What is the approxi mate distance between Point A and Point B ...
Find & Bid On Lot# 111 - Two small cookie jars approxi - Now For Sale ...
Find & Bid On Lot# 8064 - Coca-Cola metal tray approxi - Now For Sale ...
3. Use the normal approxi
Coque Approxi Esport — Fragcase | Coque de téléphone
represents an approxi
What is the approxi Probability of drawi Red Face Card from standard ...
we observe that the L 2 -projection to the existing numerical approxi ...
Figure 1.2 from ADAPTIVE APPROXI MATlON BASED CONTROL Unifying Neural ...
6" Dryer Unload Auger, 1Hp Electric Motor, Approxi - Hamilton-Maring ...
Maurice Craig architectural historian. Collection of approxi ...
Solved: Classic Probability What is the approxi Probability of drawi ...
Figure 4: Average Approxi
Chain conveyor with 1 1/2 horsepower motor approxi - Hamilton-Maring ...
Greece, Island of Santorini: archeological excavations of a Minoan city ...
Mattel Jurassic World New Ruler Super Big! Giganotosaurus [Total Length ...
Approximate | Approximate Meaning | Pronunciation of Approximate ...
vienna beef hot dogs
Joan Riera Last Places’s Instagram profile post: “The Yanomami are a ...
Probability of zero nodes infected (accurate-approxi- mated ...
Archaeology & Civilizations | Italy: Piazza dell'Anfiteatro in Lucca ...
Oxidative Stress Parameters and Morphological Changes in Japanese ...
Comparison between of x(t) exact and approxi- mated solution for ...
What are Exact and Approximate Values? - Difference (with examples)
Gorgeous Natural Labradorite Gemstone Loose Beads Smooth round 6Mm ...
I ( F 0 ) curves with three different levels of approxi- | Download ...
Leukemia in Pediatrics - Dr. Julius King Kwedhi | PPTX
Dimensionality reduction: Uniform Manifold Approximation and Projection ...
GUCCI 2019AW GG Metallic Patent Leather Low Top Sneakers 548938 Size 9 ...
Heterogeneity measurement. The arrangement approxi- mates the actual ...
'True' geodesic distances on the glacier, plotted vs. their 4 ...
The President is a giant sequoia located in the Giant Forest of Sequoia ...
What Is Uniform Manifold Approximation And Projection at Donna Willey blog
Colorful Entrance Gate Buddhist Nanchang Nanchan Temple Pagoda Night ...
The Normal Approximation of the Binomial Distribution - YouTube
The coefficient of each term in the approxi- mate formulae for the ...
Consider a mixture of benzene and methylbenzene, which form an approximat..
Efficacy Comparison for Online Approxi- mation | Download Scientific ...
Higher-order ISR corrections in the LLA approxi- | Download Scientific ...
Approximation - Definition, Examples, Quiz, FAQ, Trivia
Channels of a plate with the different parame ters and variables ...
Food & Agriculture Organization (FAO): Complete Notes
Fortress Developments Ltd | Dhaka
Typical generation times in seconds and the approxi- mate speed-up ...
A loving reunion. Alaska, USA: THESE IMAGES show two adult bears ...
Optimized sputtering deposition parameters and the approxi- mated ...
Answered: A useful approach to analyzing a… | bartleby
Face Detection and Recognition Readings: Ch 8: Sec 4.4, Ch 14: Sec ppt ...
Lakewood Local School... - Lakewood Local School District
Leslie... - Leslie Barnett - Parkland Real Estate Professional
논문 분석: Dropout as a Bayesian Approximation: Representing Model ...
Growth epidemic values are determined by each region by graphical and ...
How to Create a Precedence Network Diagram – mathsathome.com
37 newtonian aerodynamic axial and drag force coefficients
Approximating Irrational Numbers - Quiz - Level HQuestion 7Approximat..
Estimated effects and coefficients of each term for approxi- mating the ...
Limpopo Map: Explore South Africas Northern Gem
Visualization of the pyramid model. The full arrows stand for the ...
The graph of approximated solution x(t) and u(t) for Example 5.4 ...
Hanson Ross Jewellery, Watches and Silver, Fine Art
Approximately Symbol Punctuation Marks Text Typography Stock Vector ...
Vintage Pharmacy Glass Apothecary Bottles approximate… - Gem
Explain PWD method for taking out quantities of items. Prepare approximat..
Aurora Australis | Facebook
Mathematical Symbols
Approximation L’approxi
AN EMERALD AND DIAMOND RING in 18ct white gold, set with an octagonal ...
Trochlear Notch Knee
Lot Detail - Collection of 35mm Color Slides of Circuses. 1970s. Approxi...
Bid Now: Tom Dixon (b.1959), Two 'S' chair variants, circa 1990, Welded ...
approx, approximate and approximately difference and meaning in hindi ...
Approximately Approximate Math - Free vector graphic on Pixabay
Aquella - Surrounded by lush tropical landscapes and endless views of ...
Approxi.12PC Patio Cushions - Sierra Auction Management Inc
5+ Hundred Approximately Equal Icon Royalty-Free Images, Stock Photos ...
ABATE of Wisconsin Northern District 6 - formerly 6B | Facebook
Amazon.com: RIKWOG Finger Cot, Medium Finger Protectors Latex Anti ...
Butter-Soft Stretch Women's 3-Pocket Ankle Length Scrub Skirt - Size XL ...
Solved: LESSON 8 Compare Representation The graph shows a log of how ...
Solved A plastic boat with a bottom surface approximated as | Chegg.com
APPROXIMATELY -Realistic Neon Sign on Brick Wall background - 3D ...
wedding favors magnet lock Envelope Style Hand Purse, Size: Approxi. 9* ...
Multiple linear regression and correlation results between colour ...
Best Quartz Loose Gemstones: Discover Nature's Timeless Treasures ...
Amazon.com: Miupoo Sandalwood Coil Incense, Each Cloud Shaped Coil ...
Figure 1 from Chance-Constrained Iterative Linear-Quadratic Stochastic ...
Amazon.com: BRCbeads Gorgeous Natural Red Jade Gemstone Faceted Round ...
Lake Gaston... - Lake Gaston Gazette-Observer
Blake Jones -... - Blake Jones - One Percent Property Sales
Organizadores y almacenamient... - B0CD45XMBX | Encarguelo.com