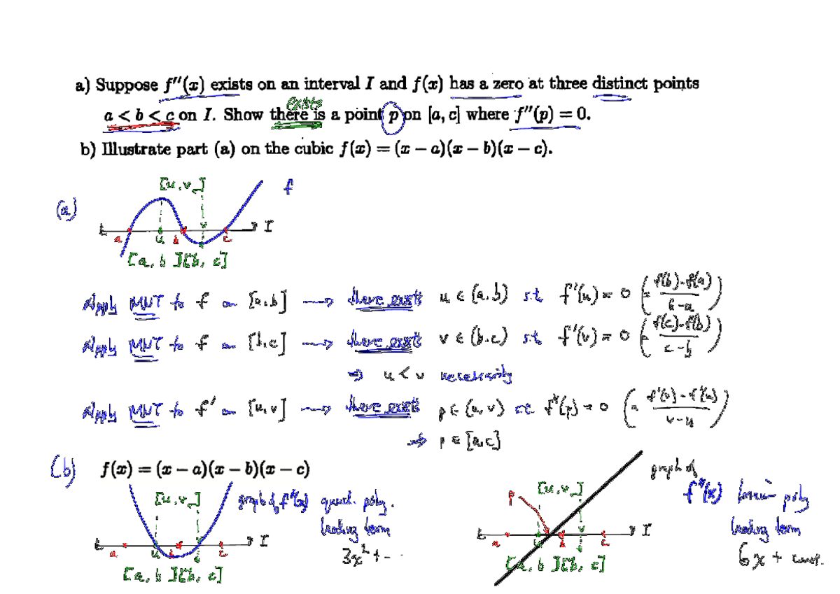
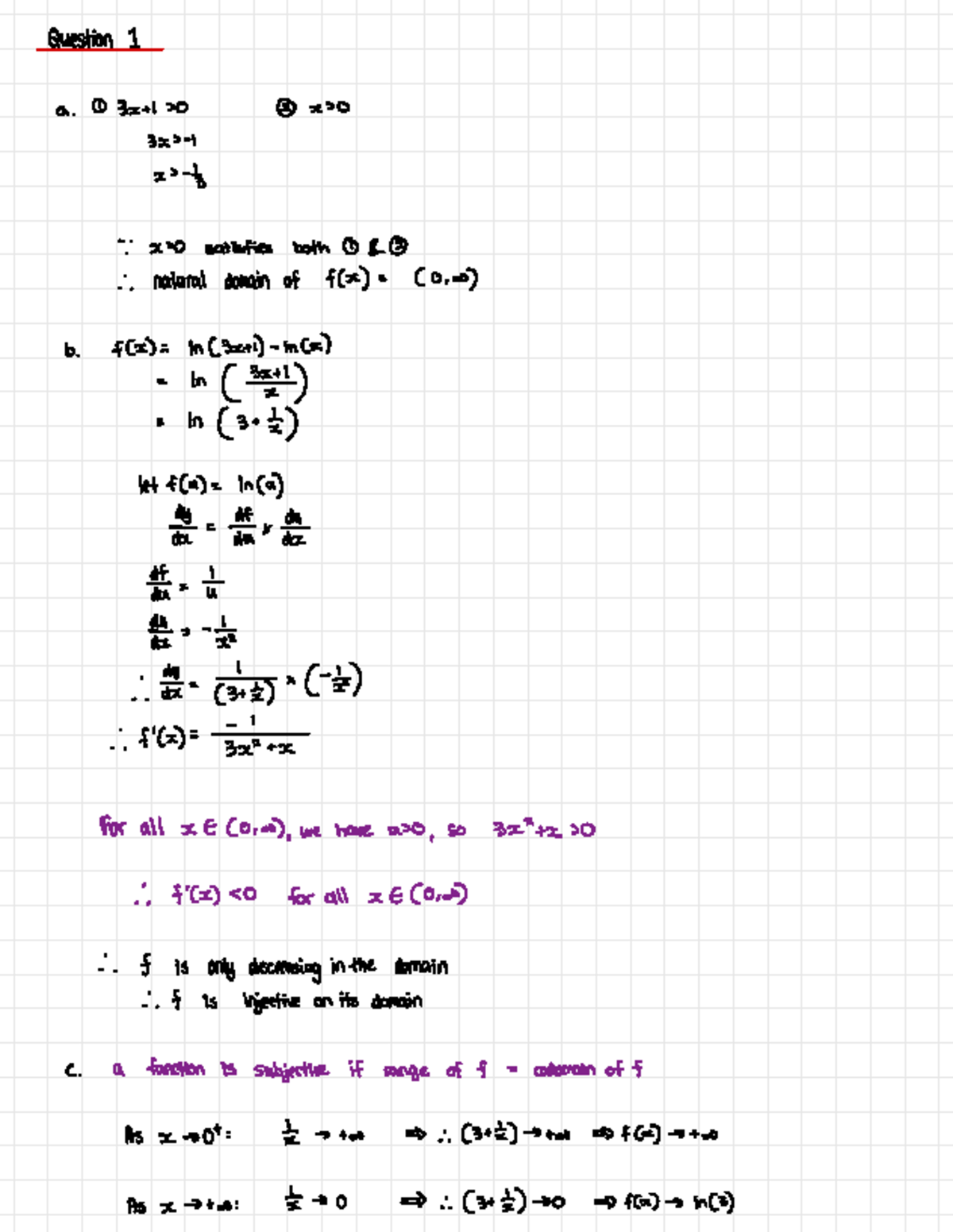
Showing 120 of 120on this page. Filters & sort apply to loaded results; URL updates for sharing.120 of 120 on this page
Complex Analysis #2 (V.Imp.) | Checking Analytic Function | Verifying ...
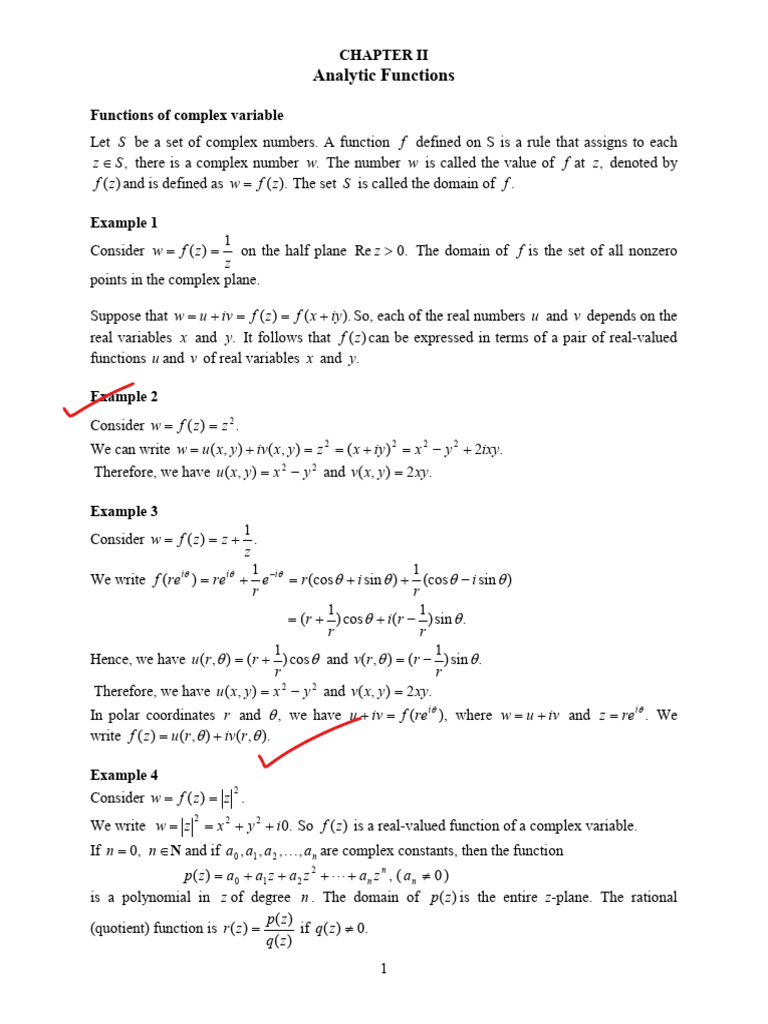
An analytic function f ( z) of complex variable z = x + i y may be ...
Examples on Analytic Function | Calculus of Complex Functions Lec-8 ...
Complex Analysis #1 (V.Imp.) | Analytic Function and its Conditions ...
Derivative Of An Analytic Function | Complex Analysis | Unit-2 ...
1. Analytic Function | Complex Variables | Complete Concept - YouTube
CSIR -NET MP COMPLEX ANALYSIS-4 ANALYTIC FUNCTION - YouTube
Analytic Functions of Complex Variables | PDF | Function (Mathematics ...
3]Complex Function & Analytic Function - Complex Analysis - Engineering ...
Complex Variables – Analytic Function – Yawin
Analytic Function in complex analysis - Mathematics Satyam
Complex Analysis | Analytic Function | Cauchy Riemann Equation| Complex ...
Examples based on Analytic Function | Complex Analysis | By Bamdeb Sir ...
Complex Analysis Introduction | Analytic Function | Differentiable ...
Analytic function Definition & examples in complex variable function ...
Analytic function examples in complex analysis | Examples of analytic ...
Lec-27 | Analytic Function | Overview of Complex Variables | Unit 4 ...
Analytic Function (Important Examples) | Lecture-3 | Complex Analysis ...
Analytic Function in Complex Analysis - YouTube
Analytic Function | Complex Analysis | part 7 | #Barunmaths - YouTube
An analytic complex function f(z)=1(x,y)+iu(x,y) has | Chegg.com
Chapter-2 - Analytic Function | PDF | Function (Mathematics) | Complex ...
examples of analytic functions || examples of analytic function complex ...
Complex Analysis - Analytic Function (Lecture2) - YouTube
Complex Analysis | PDF | Analytic Function | Derivative
Lecture 5 | PDF | Analytic Function | Complex Number
Lec 22 Complex Analysis / Test Of Analytic Function Solved Example No.4 ...
Functions of Complex Variables | PDF | Analytic Function | Complex Analysis
The imaginary part of an analytic complex function is v(x,y)= 2xy+3 ...
Unit IV Analytic Function - Advanced calculus and complex analysis ...
Solved Problem 4. Let f:C→C be a complex analytic function | Chegg.com
Unit 4 Analytic function - Advanced Calculus And Complex Analysis - Studocu
Examples of Analytic Function in Complex Analysis - YouTube
Analytic Functions | PDF | Complex Analysis | Holomorphic Function
Complex 3 - CHAPTER 27 FUNCTIONS OF COMPLEX VARIABLE, ANALYTIC FUNCTION ...
Analytic Function || Functions Of Complex Variable || Full Concept ...
COMPLEX ANALYTIC FUNCTIONS Hand Out | PDF | Complex Number ...
Complex Analysis: what is an analytic function? - YouTube
Something do not understand about Analytic function when reading ...
Complex Analysis L06: Analytic Functions and Cauchy-Riemann Conditions ...
Complex function | PDF
Analytic Functions: Complex Analysis Lecture Notes
Analytic function | PPTX
Complex Function Mapping Theory and Examples (GATE ) For the function ...
Derivative of an Analytic function| complex Analysis| L 5 - YouTube
Exercise 20.1|| Calculus of Complex Functions|| Analytic Functions|| B ...
A complex function 𝑓(𝑧) = 𝑢(𝑥, 𝑦) + 𝑖 𝑣(𝑥, 𝑦) and its complex conjugate ...
Complex Analytic Functions: Theory and Applications: Sharma, S. K ...
Understanding Analytic Functions in Complex Analysis | PDF
Solved Which of the following is an analytic function of the | Chegg.com
(PDF) On a class of certain analytic functions of complex order
Representation of real analytic functions: Illustration of the complex ...
complex analysis - $\displaystyle f: \Bbb C \to \Bbb C$ is analytic ...
Analytic Function -- from Wolfram MathWorld
Analytic Functions Complex Analysis| lec 5 | Bsc mathematics complex ...
Basic Categorization of Complex Functions (i.e. Analytic Functions ...
Introductory Complex Analysis Guide | PDF | Complex Number | Function ...
Schematic picture for analytic continuation in the complex α−plane ...
complex analysis - Characterization of analytic functions proof ...
Solved 1. Analytic Functions Suppose F(x,y) is a complex | Chegg.com
Complex Variables and Analytic Functions: An Illustrated Introduction ...
Examples on Analytic function - YouTube
Complex Analysis #3 | Analytic functions - YouTube
Complex Gamma Function (Analytic Continuation) - YouTube
Analytic Functions of Complex Numbers - Docsity
Complex Analysis: Derivatives & Functions | PDF | Function (Mathematics ...
Complex Analysis: #29 Order of Entire Function | Physics Reference
Analytic Functions in Complex Analysis | Download Free PDF | Analytic ...
SOLUTION: Complex functions examples c 3 elementary analytic functions ...
1 Complex Analysis: 1.1 Analytic Functions | PDF | Complex Analysis ...
Analytic Functions of Complex Variable | PDF | Trigonometric Functions ...
18MAB102T Advanced Calculus & Complex Analysis: Unit 4 - Analytic ...
Functions of complex variables | Analytic Functions in Complex Analysis ...
Complex Analysis: #2 Analytic Functions | Physics Reference
Show that the function 𝒇(𝒛)=𝒔𝒊𝒏𝒙 𝒄𝒐𝒔𝒉𝒚+𝒊𝒄𝒐𝒔𝒙 𝒔𝒊𝒏𝒉𝒚 is analytic ...
IIT Indore, Complex Analysis: Zeros of Analytic Functions, Md. Aquil ...
(PDF) Complex Analysis. Function Theory - DOKUMEN.TIPS
Analytic Functions of a Complex Variable 1 Definitions and ...
Analytic functions complex variable - YouTube
The Derivative of an Analytic function is analytic | Bsc mathematics ...
2 Complex Differentiability and Analytic Functions | PDF | Holomorphic ...
Analytic Functions: Real & Complex Variables
Analytic Functions of Several Complex Variables
Complex analysis - Wikipedia
PPT - Chapter 2. Analytic Functions PowerPoint Presentation, free ...
Analytic Functions - GeeksforGeeks
Introduction to Complex Analysis: Functions, Integrals, Series ...
Analytic Functions
Complex Functions | PDF | Complex Analysis | Logarithm
MA3303 PROBABILITY AND COMPLEX FUNCTIONS: Conformal Mapping Notes - Studocu
Assignment 3: Analysis of Functions and Complex Numbers - Studocu
L1 Lsn05 - Analysis of Zeros and Integrals in Complex Functions - Studocu
Complex Analysis L03: Functions of a complex variable, f(z) - YouTube
Introduction to Complex Analysis - GeeksforGeeks
PPT - Complex Analysis PowerPoint Presentation, free download - ID:9541582
Complex Analysis #2 | Functions of a complex variable - YouTube
The 5 ways to visualize complex functions | Essence of complex analysis ...
What do complex functions look like? | Essence of complex analysis #4 ...
Complex Analysis and Special Functions...
CSIR NET MATHEMATICS Dec 2019 | Complex Analysis | Continuous ...
Learn Complex Analysis Today with Wolfram Language—Wolfram Blog
Complex analysis | PPTX
Analytic Functions (Complex Analysis) | PDF
#11|| Problem#3 || Show that 𝒇(𝒛)=𝒔𝒊𝒏𝒛 is analytic || Find 𝒇^′ (𝒛 ...
Sequences of Complex Functions -- Complex Analysis 16 - YouTube
PPT - 11. Complex Variable Theory PowerPoint Presentation, free ...
PPT - Functions of A Complex Variables PowerPoint Presentation, free ...
Complex Analysis 1, Elementary Functions - Complex Analysis 1 ...
PPT - Chapter 2 Mathematical Foundation PowerPoint Presentation, free ...
The Bright Side of Mathematics